Fermented Brown Sugar Residue Prolongs the Caenorhabditis elegans Lifespan via DAF-16

Abstract

Purification of biomass ethanol from the products of brown sugar yeast-fermentation produces a large amount of residue. This fermentation residue contains abundant brown sugar-derived nutrients and is mainly used as compost or livestock feed. However, the in vivo physiological effects of oral residue ingestion are not known. The purpose of this study was to elucidate the physiological action and molecular mechanism of fermented brown sugar residue in nematode stress tolerance, aging, and lifespan using Caenorhabditis elegans. Fermented brown sugar residue was divided into two layers, supernatant and precipitate, and each was given to nematodes. Analysis of motility and survival rate under thermal stress revealed reduced mobility and increased survival rate following treatment with fermented brown sugar residue. The survival rate of nematodes under 1% H2O2 was markedly increased by the residue and mitochondrial membrane depolarization was induced and mitochondrial radical oxygen species levels increased. Furthermore, aging dependent reduction of motility was suppressed, and the average life span of nematodes was extended by treatment with fermented brown sugar residue. Moreover, the effects of fermented brown sugar residue on stress tolerance, lifespan elongation, and decreased aging dependent momentum reduction were lost in the daf-16 mutant. Taken together, our results show that the various physiological actions of fermented brown sugar residue, including stress tolerance and lifespan extension, occur via DAF-16.

Share and Cite:

Satoh, T. and Sakamoto, K. (2017) Fermented Brown Sugar Residue Prolongs the Caenorhabditis elegans Lifespan via DAF-16. Food and Nutrition Sciences, 8, 855-864. doi: 10.4236/fns.2017.89061.

1. Introduction

The aging of society is becoming a global social problem. This is true in Japan where the rate of aging is high, as is the level of people’s interest in health and life expectancy. People are turning to the functionality of foods, particularly fermented foods, as a means of achieving health and longevity. Indeed, yoghurt can enhance immunity [1] and natto, a traditional Japanese food, has higher antioxidant capacity than raw soybean [2] . To further examine the functionality of fermentation products, we focused on fermented brown sugar residue (FBSR).

FBSR is generated in the course of purifying biomass ethanol from the yeast fermentation products of brown sugar. FBSR contains abundant nutrition and is used in various industrial applications including as fertilizer and feed. Meanwhile, brown sugar has attracted attention as a health food and is thought to prevent cardiovascular diseases, hypertension, and brain stem diseases, because it can decrease serum cholesterol and neutral fat in Japanese quail [3] . Furthermore, polyphenol, contained in brown sugar, reduces oxidative stress [4] and inhibits glucose absorption [5] .

Here, we used the nematode model organism, Caenorhabditis elegans, to evaluate the physiological effects of FBSR. The average nematode lifespan is about 1 month, and it is easy to conduct genetic studies using lifespan as an index in C. elegans [6] . Furthermore, reactive oxygen species, which cause aging, are produced in the nematode [7] [8] , making C. elegans a suitable model to study the physiological effects of oxidative damage. Numerous physiological studies focusing on anti-aging and healthy lifespan have been conducted using nematodes [9] . Additionally, studies in nematodes have shown that the insulin-signaling pathway plays an important role in controlling lifespan. DAF-16 is a transcription factor regulated downstream of the insulin signaling pathway and is one of the main factors contributing to aging and lifespan in C. elegans [10] [11] [12] . Therefore, to determine the precise roles of the DAF-16 transcription factor in stress tolerance and life span, it is necessary to elucidate the signaling pathways involved in DAF-16 activation.

This study was designed to elucidate the molecular mechanisms controlling the physiological stress tolerance, motility, and lifespan responses to FBSR in nematodes. We found that FBSR increases the C. elegans lifespan, suppresses the decline in exercise caused by aging, and increases stress tolerance. Furthermore, our results show that the transcription factor DAF-16 is involved in mediating these physiological effects.

2. Materials and Methods

2.1. Nematodes and Growth

Wild-type N2 strain and daf-16 deficient mutant (mg Df50) C. elegans were obtained from the CGC (Caenorhabditis Genetics Center, MN, USA). Nematodes were raised at 20˚C on NGM (Nematode Growth Medium) plates (OP plates) coated with E. coli OP50 strain. Every 4 days, several nematodes were transferred to a new OP plate and the strain was maintained.

2.2. Fermented Brown Sugar Residue (FBSR)

FBSR (Miyakojima Bio-Industrial Innovation Agency, Miyakojima, Okinawa) is generated when ethanol is distilled from the yeast fermentation products of brown sugar. The FBSR sample was separated into supernatant (sup) and precipitate (ppt) fractions. Sup was filtered with Mini-sart (single use filter unit Non-pyrogenic. 0.45 μm) (Satorius, Tokyo, Japan) to produce a 100% stock solution. After lyophilization, the ppt was dissolved in 1 ml of 10 ml dDW to produce a 100 mg/ml stock solution. Each sample was stored at 4˚C, and the amount required for experiments was dissolved in dDW and used as appropriate.

2.3. Synchronization

Synchronization was performed to unify the C. elegans stage of growth. Adult worms fed under normal conditions were recovered with S-basal (0.1 M NaCl (Kanto Chemical Co., Tokyo, Japan), 50 mM potassium phosphate buffer). Worms were then treated with NaClO (Haiter, KAO, Tokyo, Japan) and the eggs were recovered in S-basal. The recovered eggs were incubated at 20˚C for about 18 hours and then hatched into L1 larvae.

2.4. Observation of Whole Body Movement

Synchronized L1 larvae were sowed on plates coated with FBSR sup or ppt together with OP50 and raised for 96 hours. After 96 hours, adult nematode worms were transferred to NGM plates without food and transferred to a thermostatic bath at 35˚C. After heat stress was applied for 4 hours, worms were transferred to an OP plate and incubated at 20˚C for 12 hours. Thereafter, nematodes were transferred to S-basal and momentum was measured over 15 seconds. Whole body movement recovery was calculated by dividing the momentum of the heat treatment group by that of the control group that did not undergo heat treatment.

2.5. Measurement of Survival Rate after Heat Stress

Synchronized L1 larvae were sowed onto plates coated with OP50 and FBSR and raised for 96 hours. After 96 hours, 40 adults were transferred to an OP plate and maintained in a constant temperature bath at 35˚C. Survival rate was measured 10 hours after the heat treatment was started and every 2 hours after that. To confirm survival, worms’ tails were poked with platinum wire and those without stimulus response were deemed to be dead.

2.6. Measurement of Survival Rate after Oxidative Stress

Synchronized L1 larvae were sowed onto plates coated with OP50 and FBSR and raised for 96 hours. To a 24 cell plate, 500 μl of 0.1% H2O2 (Sigma, Tokyo, Japan) was added, and one nematode was placed in each cell. Thereafter, the survival rate was measured every two hours as described above.

2.7. Mitochondrial Analysis

Synchronized L1 larvae were sowed onto plates coated with OP50 and FBSR and raised for 72 hours. After breeding, 200 μl of 500 nM Mitotracker reagent (MitoTracker® Green FM, MitoTracker® Orange CMTMRos, MitoTracker® Red CM-H2Xros) (Thermofisher, Yokohama, Japan) was added to the medium and worms were incubated at 20˚C for 24 hours. Then, the worms were washed, treated with 8% ethanol, and observed and photographed with a fluorescence microscope. The fluorescence intensity was measured using Image J software.

2.8. Momentum Change Accompanying Aging

Synchronized L1 larvae were sowed onto plates coated with OP50 and FBSR and raised for 96 hours. This time point was defined as Day 0 and momentum was measured on Days 0, 3, 6, and 9. To prevent contamination of the next generation, 500 μl of 0.5 mg/ml FUdR (Fluorodeoxyuridine) (Wako, Osaka, Japan) was added to the plate every 3 days, at each plate change.

2.9. Lifespan Analysis

Synchronized L1 larvae were sowed on OP50 plates and bred for 96 hours. Forty adults were transferred to 80 plates (20 nematodes × 4 plates) on OP50 and FBSR coated plates. Thereafter, medium exchange and measurement of survival rate were carried out every 2 days. Survival was measured as described previously. To prevent contamination of the next generation, 500 μl of 0.5 mg/ml FUdR was added to the plate every 2 days.

2.10. Statistical Analysis

The data are presented as mean ± standard error. Differences were assessed using t tests, and the significance level was set to P < 0.05.

3. Results

3.1. FBSR Enhanced Stress Tolerance of Nematodes

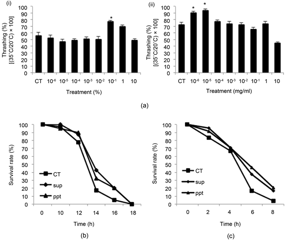
First, the physiological effects of FBSR on changes in exercise recovery under thermal stress were investigated. The ideal temperature for C. elegans growth is around 20˚C, and heat stress at 35˚C results in decreased levels of exercise or movement [13] . When C. elegans were treated with 0.1% FBSR, mobility recovered to 76% at 12 hours after heat treatment (Figure 1(a) (i)). Administration of 0.01 μg/ml FBSR ppt resulted in momentum recovery of 93% after 12 hours (Figure 1(a) (ii)). Taken together, these results show that FBSR suppresses or reverses the decrease in momentum resulting from thermal stress. Additional analyses were performed using 0.1% sup and 0.01 μg/ml ppt.

We also examined survival rate following thermal stress. The control group (CT) was not treated with FBSR. In the CT group, the survival rate was 5% after 16 hours. However, compared to the CT group, worms treated with sup and ppt

Figure 1. The effect of FBSR on the stress tolerance of nematodes. (a) Worms were heat treated at 35˚C for 4 hours. After breeding at 20˚C for 12 hours, momentum was measured. Momentum was measured as the number of whole body movements in 15 seconds in S-basal medium. (i) sup administration and (ii) ppt administration. Values on the vertical axis shows exercise recovery ((momentum at 35˚C/momentum at 20˚C) × 100), and the horizontal axis shows the concentration of FBSR used. n = 10. (b) The effect of FBSR on survival. Survival rate was measured every 2 hours beginning 10 hours after the initiation of 35˚C heat treatment. The vertical axis shows the survival rate, and the horizontal axis shows the survival time. n = 40. (c) The effect of FBSR on oxidative stress tolerance (survival rate). Synchronized nematodes were treated with sup or ppt for 96 hours and transferred to a 24-well plate for 0.1% H2O2 treatment. Survival rate was measured every 2 hours. The vertical axis shows survival rate, and the horizontal axis shows survival time. n = 24. The graph shows the mean ± standard error. *Indicates P < 0.05.

maintained relatively high survival rates, and after 16 hours, the survival rate of both treatment groups was maintained at 20% (Figure 1(b)).

Furthermore, we exposed nematodes to 0.1% H2O2 and measured their survival rate. We observed that treatment with FBSR sup and ppt increased the survival rate under oxidative stress conditions (Figure 1(c)). These results indicate that FBSR increases the oxidative stress resistance of nematodes.

3.2. FBSR Activates DAF-16

Treatment of C. elegans with FBSR resulted in improved heat stress tolerance, survival rate, and oxidation tolerance. Next, we focused on the transcription factor DAF-16, a homologue of FOXO involved in resistance to various stresses. We found that the expression levels of genes downstream of DAF-16, sod-3 and hsp-12.6, were increased in worms treated with FBSR (data not shown). Therefore, we examined the effects of FBSR treatment in daf-16 deficient mutant worms. First, the effect of FBSR on survival rate and decreased motility following thermal stress was analyzed. While momentum and survival rate increased in WT worms following FBSR treatment, they remained unchanged in FBSR treateddaf-16 deficient worms (Figure 2(a), Figure 2(b)).

3.3. FBSR Suppression of Aging-Related Decreased Motility Is Dependent on DAF-16

Activation of DAF-16 improves tolerance to several stressors and extends lifespan. FBSR related stress tolerance is DAF-16 dependent. Therefore, we examined whether FBSR influences C. elegans aging and lifespan by analyzing lifetime and aging-dependent momentum changes on days 0, 3, 6, and 9. Treatment with FBSR sup and ppt suppressed the decrease in total momentum associated with aging in WT, but not daf-16-deficient worms (Figure 3(a)). Furthermore, treatment with FBSR sup and ppt increased the average lifespan of WT C. elegans by about 10% compared to the CT group, but did not increase the lifespan of daf-16-deficient worms (Figure 3(b)).

3.4. FBSR Increased Mitochondrial Radical Oxygen Species Levels

FBSR treatment of C. elegans resulted in oxidative stress tolerance. Therefore, we investigated the effect of FBSR on the mitochondrial environment. We used MitoTracker® Green FM, MitoTracker® Orange CMTMRos, and MitoTracker®

Figure 2. The stress tolerance effect in the daf-16 mutant. (a) Effect of FBSR on momentum in daf-16 mutants. Momentum was measured for 15 seconds as thrashing in S-basal medium. The vertical axis shows the amount of exercise recovery ((momentum at 35˚C)/(momentum at 20˚C) × 100). Figures are shown as mean ± standard error. n = 10. (b) The effect of FBSR on survival rate in daf-16 mutants under thermal stress. Survival rate was measured every 2 hours from 10 hours after the start of the heat treatment. The vertical axis shows the survival rate, and the horizontal axis shows the survival time. n = 40.

Figure 3. The effect of FBSR on momentum associated with aging and lifespan. (a) Changes in momentum associated with aging assessed in daf-16 mutants. The 96-hour time point was designated Day 0, and momentum was measured on Days 0, 3, 6, and 9. Momentum was measured for 15 seconds in S-basal medium. The vertical axis shows the number of exercises, and the horizontal axis shows the measurement date. Data are presented as mean ± standard error. n = 10. (b) Lifespan analysis using daf-16 mutants. Female synchronized nematodes (adult) were given FBSR together with OP50, and the survival rate was measured every 2 days. (i) Survival curve. The vertical axis shows the survival rate, and the horizontal axis shows the survival time. (ii) Percent change in average life. The vertical axis shows the value relative to a CT measurement of 100%. Data are presented as mean ± standard error. n = 60. *Indicates P < 0.05.

Red CM-H2Xros to observe mitochondrial content, membrane potential, and reactive oxygen species (ROS), respectively. Our results showed that while the amount of mitochondria did not change after FBSR treatment (Figure 4(a)), mitochondrial depolarization was induced (Figure 4(b)) and ROS increased (Figure 4(c)).

4. Discussion

Here, we have shown that FBSR increases heat stress tolerance (Figure 1(a), Figure 1(b)), suppresses decreased motility associated with aging, and further

Figure 4. The effect of FBSR on mitochondria. Synchronized nematodes were fed with sup or ppt together with OP50 and were bred for 72 hours. Each Mitotracker reagent was added and worms were bred for 24 hours. Mitochondrial amount (n = 20, 15, and 18 for CT, sup, and ppt, respectively) (a), membrane potential level (n = 22, 18, and 17 for CT, sup, and ppt, respectively) (b), and mitochondrial ROS levels (n = 26, 30, and 35 for CT, sup, and ppt, respectively) (c) were analyzed. The vertical axis represents the relative fluorescence intensity calculated with CT as 100, and the graph shows the mean ± standard error. *Indicates P < 0.05.

extends lifespan (Figure 3(a), Figure 3(b)) in C. elegans. Furthermore, we demonstrate that these physiological effects involve DAF-16 (Figure 2 and Figure 3). We anticipated that different effects could be obtained from FBSR sup and ppt, but observed no noticeable differences between the two treatments.

Previous studies have shown that DAF-16 target genes are involved in stress tolerance and elongation of life span in nematodes [14] . In addition, we have previously shown that DAF-16 dependent recovery of motion after thermal stress is regulated via the insulin/IGF-1 signal transduction pathway [13] . Our results show that FBSR enhances stress tolerance and motility, and elongates the lifespan of C. elegans. These results suggest that FBSR activates DAF-16. However, it is unclear where in the insulin/IGF-1, signaling pathway FBSR is acting. Further studies are required to analyze the signaling pathway upstream of DAF-16, including the insulin receptor DAF-2.

Increased oxidative stress tolerance was observed in C. elegans following FBSR treatment (Figure 1(c)). Polyphenols are antioxidants present in plants and many studies of polyphenols have been reported for brown sugar products [15] . Brown sugar polyphenols have been shown to prevent lifestyle diseases including elevated blood pressure, arteriosclerosis, obesity, and diabetes. Therefore, it is conceivable that FBSR, made from brown sugar, also contains abundant polyphenol compounds. Therefore, it is necessary to identify and characterize the functional ingredients contained in FBSR.

Administration of FBSR induced mitochondrial depolarization and increased ROS levels in C. elegans (Figure 4(c)). This indicates that FBSR enhances oxidation reactions in cells. It is reported that mitochondrial ROS extends the lifespan of the nematodes, which are aerobic organisms [16] , and that production of ROS suppresses cytokinesis and promotes cellular senescence [17] . In addition, it is thought that in vivo generated ROS causes DNA damage and enzyme deactivation, which results in aging and in various diseases [18] . However, in this study, FBSR treatment of C. elegans improved oxidative stress tolerance and restored the decrease in momentum caused by aging (Figure 1(c), Figure 3(a)). These results contradict previous reports examining the correlation between general ROS production and aging. This is likely to be due to the presence of multiple active ingredients in FBSR. We predicted that FBSR contains substances conferring antioxidant effects, such as polyphenol compounds and polysaccharide components, because we observed an improvement in oxidation stress tolerance, and it is possible that these components induced the accumulation of ROS.

Acknowledgements

This work was supported in part by Grants-in-Aid for Scientific Research and Education from the University of Tsukuba, Japan. We are grateful to Miyakojima Bio-Industrial Innovation Agency (Miyakojima, Okinawa) for the great help.

Conflicts of Interest

The authors declare no conflicts of interest.

References

[1] Nagao, F., Nakayama, M., Muto, T. and Okumura, K. (2000) Effects of a Fermented Milk Drink Containing Lactobacillus Casei Strain Shirota on the Immune System in Healthy Human Subjects. Bioscience, Biotechnology, and Biochemistry, 64, 2706-2708.
https://doi.org/10.1271/bbb.64.2706
[2] Iwai, K., Nakaya, N., Kawasaki, Y. and Matsue, H. (2002) Inhibitory Effect of Natto, a Kind of Fermented Soybeans, on LDL Oxidation in Vitro. Journal of Agricultural and Food Chemistry, 50, 3592-3596.
https://doi.org/10.1021/jf011718g
[3] Inafuku, M., Toda, T., Okabe, T., Wada, K., Takara, K., Iwasaki, H. and Oku, H. (2007) Effect of Kokuto, a Non-Centrifugal Cane Sugar, on the Development of Experimental Atherosclerosis in Japanese Quail and Apolipoprotein E Deficient Mice. Food Science and Technology Research, 13, 61-66.
https://doi.org/10.3136/fstr.13.61
[4] Takara, K., Matsui, D., Wada, K., Ichiba, T. and Nakasone, Y. (2002) New Antioxidative Phenolic Glycosides Isolated from Kokuto Non-Centrifuged Cane Sugar. Bioscience, Biotechnology, and Biochemistry, 66, 29-35.
https://doi.org/10.1271/bbb.66.29
[5] Matsuura, Y., Kimura, Y. and Okuda, H. (1990) Effect of Aromatic Glucosides Isolated from Black Sugar on Intestinal Absorption of Glucose. Journal of Medical and Pharmaceutical Society for WAKAN-YAKU, 7, 168-172.
[6] Hosono, R., Nishimoto, S. and Kuno, S. (1989) Alterations of Life Span in the Nematode Caenorhabditis elegans under Monoxenic Culture Conditions. Experimental Gerontology, 24, 251-264.
https://doi.org/10.1016/0531-5565(89)90016-8
[7] Sulston, J.E. and Horvitz, H.R. (1977) Post-Embryonic Cell Lineages of the Nematode, Caenorhabditis elegans. Developmental Biology, 56, 110-156.
https://doi.org/10.1016/0012-1606(77)90158-0
[8] Kenyon, C. (1985) Cell Lineage and the Control of Caenorhabditis elegans Development. Philosophical Transactions of the Royal Society of London, Series B, Biological Sciences, 312, 21-38.
https://doi.org/10.1098/rstb.1985.0175
[9] Furuhashi, T. and Sakamoto, K. (2016) Central Nervous System Promotes Thermotolerance via Foxo/DAF-16 Activation through Octopamine and Acetylcholine Signaling in Caenorhabditis elegans. Biochemical and Biophysical Research Communications, 472, 114-117.
https://doi.org/10.1016/j.bbrc.2016.02.076
[10] Larsen, P.L., Albert, P.S. and Riddle, D.L. (1995) Genes That Regulate Both Development and Longevity in Caenorhabditis elegans. Genetics, 139, 1567-1583.
[11] Ogg, S., Paradis, S., Gottlieb, S., Patterson, G.I., Lee, L., Tissenbaum, H.A. and Ruvkun, G. (1997) The Fork Head Transcription Factor DAF-16 Transduces Insulin-Like Metabolic and Longevity Signals in C. elegans. Nature, 389, 994-999.
https://doi.org/10.1038/40194
[12] Lin, K., Dorman, J.B., Rodan, A. and Kenyon, C. (1997) Daf-16: An HNF-3/Forkhead Family Member That Can Function to Double the Life-Span of Caenorhabditiselegans. Science, 278, 1319-1322.
https://doi.org/10.1126/science.278.5341.1319
[13] Furuhashi, T. and Sakamoto, K. (2014) Foxo/Daf-16 Restored Thrashing Movement Reduced by Heat Stress in Caenorhabditiselegans. Comparative Biochemistry and Physiology—Part B: Biochemistry and Molecular Biology, 170, 26-32.
[14] Henderson, S.T. and Johnson, T.E. (2001) Daf-16 Integrates Developmental and Environmental Inputs to Mediate Aging in the Nematode Caenorhabditiselegans. Current Biology, 11, 1975-1980.
[15] Takara, K., Ushijima, K., Wada, K., Iwasaki, H. and Yamashita, M. (2007) Phenolic Compounds from Sugarcane Molasses Possessing Antibacterial Activity against Cariogenic Bacteria. Journal of Oleo Science, 56, 611-614.
https://doi.org/10.5650/jos.56.611
[16] Yang, W. and Hekimi, S. (2010) A Mitochondrial Superoxide Signal Triggers Increased Longevity in Caenorhabditiselegans. PLOS Biology, 8, e1000556.
https://doi.org/10.1371/journal.pbio.1000556
[17] Takahashi, A., Ohtani, N., Yamakoshi, K., Iida, S., Tahara, H., Nakayama, K., Nakayama, K.I., Ide, T., Saya, H. and Hara, E. (2006) Mitogenic Signalling and the P16ink4a-Rb Pathway Cooperate to Enforce Irreversible Cellular Senescence. Nature Cell Biology, 8, 1291-1297.
https://doi.org/10.1038/ncb1491
[18] Ushio-Fukai, M. and Alexander, R.W. (2004) Reactive Oxygen Species as Mediators of Angiogenesis Signaling: Role of NAD(P)H Oxidase. Molecular and Cellular Biochemistry, 264, 85-97.
https://doi.org/10.1023/B:MCBI.0000044378.09409.b5

Copyright © 2025 by authors and Scientific Research Publishing Inc.

Creative Commons License

This work and the related PDF file are licensed under a Creative Commons Attribution 4.0 International License.