In Vitro Analysis of the Antioxidant Effect of Allspice

Abstract

Antioxidants are free radical scavengers found in spices which may play a significant role in preventing cell death. Allspice is a dried unripe berry obtained from the Pimento dioica plant that may have antioxidant potential. The objective of this study was to determine the total phenolic, flavonoid content and antioxidant capacity of allspice using selected assays such as 2,2-diphenyl-1-picrylhydrazyl (DPPH), Ferric Reducing Antioxidant Potential (FRAP) and Trolox Equivalent Antioxidant Capacity (TEAC), Nitric Oxide (NO) and Oxygen Reducing Antioxidant Capacity (ORAC). Total phenolic and flavonoid contents of allspice were determined using both water and methanol extraction. A comparison of antioxidant activity of water and methanol extracts of allspice was conducted using the different assays (DPPH, TEAC, NO, ORAC and FRAP). The total phenolic content (6.9%), NO scavenging (38.8%) and ORAC (35.1%) activity were higher in methanol compared to water extracts of allspice while flavonoids (57%), FRAP (11.2%), and TEAC (1.82%) were higher in water extracts compared to methanol extracts of allspice. The total phenolic and flavonoid content were higher in methanol extracts compared to water extracts of allspice. The IC50 (DPPH), FRAP and TEAC, NO scavenging and ORAC activity were higher in methanol extracts compared to water extracts of allspice. Total flavonoid content, FRAP and TEAC, NO scavenging and ORAC were significantly higher (p ≤ 0.5) in methanol extracts compared to water extracts of allspice. This shows that allspice has antioxidant potential and that the method of extraction can play a crucial role on the number of phytochemicals extracted from the plant. Utilization of allspice in food products may provide additional functional properties.

Share and Cite:

Onwasigwe, E. , Verghese, M. , Sunkara, R. , Shackelford, L. and Walker, L. (2017) In Vitro Analysis of the Antioxidant Effect of Allspice. Food and Nutrition Sciences, 8, 778-792. doi: 10.4236/fns.2017.87055.

1. Introduction

Allspice is derived from the plant Pimento dioica, and is called allspice because of its unique flavor, which is a combination of cinnamon, cloves, ginger, and nutmeg [1] . Allspice is also obtained from another plant closely related to P. dioica called Pimenta racemose, mostly found in Central America [2] . Allspice is predominantly found in Jamaica, Mediterranean area and Asia. The allspice grown in Jamaica has the most flavor compared to those grown in other countries, due to high essential oils content. Some of the secondary metabolites include terpenoids, alkaloids, polyphenols, and glycosides [3] . Allspice blends well with ginger, lavender and other spices, making it have different aroma combinations. Allspice has been used for medicinal and non-medicinal purposes [4] . It can also be used for making liqueur, by soaking the berries in rum [5] . Some non-medicinal purposes include uses in the meat industry, as a pesticide, and bakery [6] . Allspice is used to extend the shelf-life of meat and dairy products. In the food industry, it was used synthetically as a preservative in compounds such as butylhydroxyanisole (BHA) and butylated hydroxytoluene (BHT), but these compounds have been shown to induce carcinogenesis [7] . Some medicinal purposes of the extract include analgesic, antibacterial, anesthetic, and anti-neuralgic effects [7] . Allspice can be used in tooth restoration in dentistry [8] . Previous studies have shown the inhibition of prostate and breast cancer development using allspice extracts [9] . Compounds that have been isolated from allspice include epicatechins, anthocyanidins, eugenol and gallic acid have anti-carcinogenic and anti-proliferative effects [10] . Polyphenols are water soluble, highly polar compounds that are secondary metabolites in plants. They are also inhibitors of enzymatic activities in living organisms such as inflammatory enzymes like cyclooxygenase-2 [11] . Eugenol is a phenyl propene predominantly found in clove oil, cinnamon, ginger, nutmeg and has anti-bactericidal, and ant- inflammatory effect [12] .

Oxidative stress is the production of free radicals that cannot be neutralized due to insufficient number of antioxidants [13] . Oxidative stress is controlled by a balance between pro-oxidants and antioxidants [14] . Oxidative stress can lead to the development of cardiovascular diseases, cancer and can increase the rate of aging. Free radicals are chemicals or compounds containing an unpaired number of electrons in their outermost shell [15] . Free radicals are produced during aerobic cellular respirations, during which phagocytes phagocytose microorganisms, and during intense physical exercise [16] .

Phytochemicals such as ericifolin is extracted from the aromatic berries of pimenta dioica, has been shown to prevent prostate and breast cancer [17] . In Caribbean, there is a long history of using allspice berries for folk healing. Jamaicans drink hot tea with allspice for colds, menstrual cramps and dyspepsia [18] . Costa Ricans are known to use allspice to treat dyspepsia and diabetes and Guatemalans apply crushed Allspice berries to bruises, sore joints and for muscle ache [18] . A rich assortment of secondary metabolites can be obtained from the plant, which can be used for preserving the nutrients and protecting from bacterial and fungal infestation [19] . Some of these secondary metabolites include terpenoids, alkaloids, polyphenols, and glycosides [20] . Compounds isolated from allspice like eugenol and gallic acid have selective anti-proliferative and anti-tumor properties on human cancer cells and animal models [22] [23] . Eugenol could potentially contribute to the anti-inflammatory function associated with allspice in traditional medicine [21] . It is the anti-tumor and anti-in- flammatory characteristics of allspice extract (AAE) that has led to the hypothesis of this study.

This study was conducted to determine the antioxidant potential of allspice by the total phenolic and flavonoid content, and conducting different assays such as DPPH (1,1-dipenylpicrylhydrazil, TEAC (Trolox Equivalent Antioxidant Capacity) and FRAP (Ferric Reducing Antioxidant Power), Nitric Oxide (NO) and Oxygen reducing Antioxidant Capacity (ORAC).

2. Materials and Methods

Sample: The allspice sample was obtained in powdered form (Monterey BaySpice Company). Plant extracts was prepared using a standard protocol described by Chung et al. [21] with modifications. Allspice (10 g) was added to 250 ml boiling water and allowed to boil for 2 hours, at a temperature of 100˚C and stirred at a speed of 380 rpm. The solution was cooled for 10 minutes and filtered with a whatman filter paper. The residue was used to repeat the extraction process twice. Filtered solutions were pooled and centrifuged at 4000 rpm, for 10 min at 4˚C. Supernatent was collected and evaporated to dryness in Rotavapor. The dry sample was reconstituted with water to 10 ml. Extractions were carried out in triplicates.

Methanol Extraction

Extracts were prepared using a standard method described by Przygodzkaa et al. [22] . Methanol (250 ml of 80% methanol) was added to 10 g of the allspice. The mixture was allowed to stir for 2 hours at room temperature. Filtration was carried out using a whatman filter paper and the residue was collected to repeat the extraction process. The filtered solution was then centrifuged and evaporated to dryness using a rotary evaporator, and reconstituted to the desired volume (10 ml) using methanol. Extractions were carried out in triplicates.

3. Antioxidant Assays

3.1. Total Phenolic Content (TPC)

Total phenolic content for allspice extracts was determined according to Ainsworth and Gillespie [23] with some modifications, using the gallic acid as standard. In a 96- well microplate 12.5 μL of sample (3.75 - 500 mg/mL) and standard was added to wells, after which 50 μL of double distilled (ddH2O) was added followed by 12.5 μL of Folin?Ciocalteu reagent (FC reagent). After 5 minutes, 125 μL of 7% Na2CO3 solution was added and incubated at room temperature for 90 mins. The absorbance was read at 750 nm using a microplate reader (Synergy HT Bioteck Instruments Inc, Winooski, Vermont).

3.2. Total Flavonoid Content TFC

Determination of total flavonoids content in allspice according to Quettier et al. [24] with some modifications, using an Aluminum Chloride Colorimetric Assay. In a 96 well microplate, 25 μL of sample extract (3.75 - 500 mg/mL) and standard was added, followed by 125 μL of water and 7.5 μL of 5% NaNO2 solution and, incubated for 5 min. Next, 15 μL of 10% Aluminium chloride (AlCl3) was added to the wells and incubated at room temperature for 5 mins. Then 50 μL of 1 M sodium hydroxide was added followed immediately by 27.5 μL of distilled water. The absorbance was read at 510 nm against blank prepared with 125 μL ddH2O in a microplate reader (Synergy HT Bioteck Instruments Inc, Winooski, Vermont).

3.3. DPPH (2, 2-Diphenyl-1-Picrylhydrazyl) Assay (DPPH)

DPPH, a stable radical was used to measure total antioxidant capability of the extract, using method suggested by Artega et al. [25] with some modifications. Briefly, 40 μL of selected sample was combined with 210 μL of 0.1mM DPPH solution. For control, 40 μL of 80% methanol was used instead of the sample. Samples absorbance was read at 0, 30, 60 and 90 minutes at an absorbance of 517 nm using a microplate reader (Synergy HT Bioteck Instruments Inc, Winooski, Vermont). Calculations for DPPH were carried out using the formula:

3.4. Ferric Reducing Antioxidant Potential (FRAP)

Total FRAP of extracts will be assessed according to the protocol provided by Benziea and Strain [26] . The extract (100 μL) was combined with 3 mL of freshly prepared FRAP reagent [300 mM acetate buffer (pH 3.6), 10 mM 2,4,6-tri (2- pyridyl)-s-triazine (TPTZ) in 40 mM HCL and 20 mM ferric chloride (FeCL3∙ H2O)]. The mixture was incubated for 10 minutes at a temperature of 37˚C. Following incubation, the samples were read at an absorbance of 593 nm in the three replicates. The change in absorbance was compared to the standard ferrous sulfate and expressed as μmol of Fe2+/100 grams.

3.5. Oxygen Radical Absorbance Capacity (ORAC)

The ORAC assay involves the scavenging of peroxyl radicals generated by 2,2'-azobis (2-methylpropionamidine) dihydrochloride (AAPH), which prevents the degradation of the fluorescein probe and, consequently, prevent the loss of fluorescence of the probe. ORAC of allspice extract was determined according to the protocol suggested by Huang et al. [27] . 50 µL of ORAC phosphate buffer (PB) (75 mM ORAC-PB) and samples will be added to a 96-well black plate (Fisher Scientific, Pittsburgh, PA., U.S.A.). This was followed by adding 100 µL of fluorescein (20 mM) solution to the mixture. The mixture was incubated (37˚C, 10 min) before adding 2,2’azobis (2-amidinopropane) dihydrochloride (140 mM AAPH). The rate of fluorescence decay (485 nm excitation and 530 nm emissions for 1 min intervals for 40 min) was examined by using a microplate reader (Synergy HT Bioteck Instruments Inc, Winooski, Vermont) and calculations were made using the area under the fluorescent decay curve and a Trolox standard curve. The antioxidant capacities were presented as µmol trolox equivalents (TE)/g extracted samples.

3.6. Trolox Equivalent Antioxidant Capacity Determination

This assay was carried out to determine the inhibition of the absorbance of radical cations of 2,2'-azinobis (3-ethylbenzothiazoline 6-sulfonate) (ABTS) by antioxidants in allspice (metmyoglobin) [28] . ABTS radical cation (ABTS+•) was produced when ABTS solution was added with potassium persulfate (final concentration) and the mixture was allowed to sit in a dark room at ambient temperature for 12 - 16 hours. The ABTS+• solution was diluted in deionized water or ethanol from which a blank reading was taken. After the addition of the allspice extract solutions to ABTS+• solution, the absorbance was read every minute over a 6-minute period at 734 nm using a microplate reader.

3.7. Nitric Oxide Radical Scavenging Activity

A colorimetric assay was used to measure nitric oxide which will be read at 546 nm. The results were compared to a standard of diluted ascorbic acid. Initially, 10 mM sodium nitroprusside solution was mixed with diluted samples and standards in a 96 well microplate. The plate was stored for 150 minutes at room temperature. Griess reagent, which contains 1% sulphanilamide, 2% phosphoric acid, and 0.1% napthyl ethylene diamineichloride, was incorporated into the mixture in the plates and the absorbance read [29] .

3.8. Statistical Analysis

All experiments were performed in triplicates and the data are expressed as mean ± standard deviation using SAS system version 9.1. Significance level was determined at p ≤ 0.05.

4. Results

Figure 1 shows the total phenolic and flavonoid content in methanol and water extracts of allspice and that the results were affected by different extraction methods. The results showed that the method of extraction might have played a role in the amount of phytochemical present in the extracts and their antioxidant effect. The phenolic content of methanol extract was 6.9% higher in methanol extracts compared to water extracts, while flavonoid content was 57% in methanol

(i) (ii)

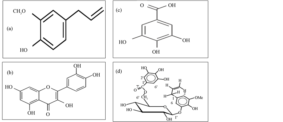
Figure 1. (i) Picture of allspice plant (ii) Different compounds present in Pimento Dioica (Allspice). (A) Eugenol: 4-Allyl-2-methoxyphenol; (B) Quercetin: 2-(3, 4-dihydroxy- phenyl)-3,5,7-trihydroxy-4H-chromen-4-one); (C) Gallic acid: 3,4,5trihydroxybenzoic acid; (D) Ericifolin: Eugenol 5-0-b-(6'-O-galloylglucopyranoside). (Zhang and Lokeshwar, 2012). Obtained from Riffle and Robert, 1998.

compared to aqueous extracts and the difference might be due to their polarity of methanol compared to water. NO activity and ORAC of allspice were 38.8% and 35.1% higher in methanol extracts compared to water extracts of allspice. TEAC, FRAP and DPPH activity was higher in methanol extracts compared to water extracts of allspice, but the difference was not significant. However, the flavonoid, FRAP, NO and ORAC of methanol extracts was significantly higher in methanol extracts compared to water extract of allspice.

Figure 2 shows the DPPH for methanol and water extracts of allspice. DPPH assay was carried out to determine the ability of the allspice to bind and stabilize the DPPH free radical. The IC50 (DPPH assay) for water (and methanol extracts was 52.5 mg/ml and 48.96 mg/ml.

The FRAP assay is based on the ability of the allspice extract to reduce colorless Fe3+ to blue colored Fe2+ (Figure 3). Methanol extract (4.5 ± 0.03 mmol Fe/g) showed similar result to water extract (5.07 ± 0.1 mmol Fe/g) of allspice.

Figure 4 shows the TEAC assay. This assay was conducted to determine the ABTS radical scavenging ability of allspice extract. The result showed that water

Figure 2. Total Phenolic and Flavonoid Content of Allspice. (GAE-Gallic Acid Equivalent, CE-Catechin Equivalent). Values are expressed as means ± SEM. abcMeans with different superscripts are significantly (p ≤ 0.05) different using Tukey’s studentized range test.

Figure 3. Ferric Reducing Antioxidant Power (FRAP) of Allspice. Values are expressed as means ± SEM. abcMeans with different superscripts are significantly (p ≤ 0.05) different using Tukey’s studentized range test.

Figure 4. Percentage DPPH Inhibition of Water and Methanol Extracts of Allspice.

extract (362.4 ± 7.2 mmolTE/g) of allspice was higher than methanol extract (355.8 ± 9. 7mmolTE/100 g), however, this difference was not significant.

Figure 5 shows the result of NO free radical scavenging ability of allspice extract. The result shows that methanol extract (326.2 ± 54.4 μg/ml) has a significantly higher activity compared to water extract (199.7 ± 50.3 μg/ml) of allspice.

Figure 6 shows the ORAC activity of allspice. In this assay the ability of allspice to inhibit the degradation of fluorescein, by inactivating peroxyl radicals generated by AAPH. Methanol extract (44.1 ± 5.8 μmolTE/100 g) of allspice showed a significantly higher ORAC activity compared to water extract (28.6 ± 7.5 μmolTE/100 g) of allspice.

Figure 5. TEAC (Trolox Equivalent Antioxidant Capacity) of Allspice. Values are expressed as means ± SEM. aMeans with different superscripts are significantly (p ≤ 0.05) different using Tukey’s studentized range test.

Figure 6. NO (Nitric Oxide) Scavenging Activity of Allspice. Values are expressed as means ± SEM. abMeans with different superscripts are significantly (p ≤ 0.05) different using Tukey’s studentized range test.

Figure 7. ORAC (Oxygen Reducing Antioxidant Capacity) of Allspice. Values are expressed as means ± SEM. abcMeans with different superscripts are significantly (p ≤ 0.05) different using Tukey’s studentized range test.

5. Discussion

Plants produce secondary metabolites which have both pharmacological and biological functions such as antioxidative, anticarcinogenic, and antimicrobial effects [30] . The 3 major chemicals extracted from plants include alkaloids, terpenoids and phenolic compounds [31] . Extensive studies have been carried out on phenolic compounds compared to alkaloids and terpenoids due to their potential benefits [32] . These phenolic compounds include polyphenols, flavonoids and phenolic acids [33] . Some of the methods utilized for extraction of these compounds include, water extraction, ultrasound based extraction and maceration [34] . Polar solvents frequently used for extracting polyphenols include ethanol, ethyl acetate, methanol and acetone [35] . Acetone is better suited for extracting flavonoids, while methanol is better suited for extracting polyphenols [36] . These solvents can also be combined to provide better extraction of phenolic compounds [37] . Example the greatest antioxidant activity was observed when using 50% acetone and 50% ethanol to extract polyphenols from black tea [38] . Phenolic compounds are composed of aromatic rings with hydroxyl groups that are able to neutralize free radicals by forming a stable phenoxyl radical and the higher the hydroxyl groups, the stronger the antioxidant effect [39] . Antioxidants derived from plants have more beneficial effects compared to the synthetic ones, because they do not produce side effects such as genotoxicity [40] . The determination of the antioxidant potential of a plant extract does not only depend on its composition, but also on the method of extraction [41] . Methanol has the ability to extract more polyphenol from the sample compared to water extraction method [41] . Methanol has a low polarity, which makes it easier to extract the most polyphenols from plants compared to other polar compounds [42] . The determination of antioxidant potential can be divided into two classes; procedures based on transfer of hydrogen atoms (HAT), and procedures based on electron transfer (ET) [42] . HAT assays include ORAC (Oxygen Reducing Antioxidant Capacity), where the sample extract and substrate compete for peroxyl radical generated thermally [43] . ET assays deal with colorimetric change due to the reducing power of the plant extract [43] . There is a positive correlation between the antioxidant power of the extract and the intensity of the color change in all assays carried out [44] . Examples of ET based assays include total phenolic content assay, DPPH, FRAP etc. [45] . There is no single assay specific enough to determine the antioxidant potential of a sample; therefore, multiple assays need to be performed [46] . This experiment focused on determining the total antioxidant potential of allspice extract using DPPH, FRAP, TEAC, NO and ORAC assay. ORAC assay is time consuming and difficult to implement correctly, however it is the only method that is able to completely inhibit all antioxidants present in a sample [47] . DPPH and FRAP assays are easy to implement and yield the fastest results that are easy to reproduce [48] . In the DPPH assay, the higher the concentration of the allspice extract, the faster the rate at which DPPH is inactivated. There was a faster rise in DPPH inhibition in water compared to methanol, however both levelled off at similar level at 91% for methanol, and 87% for aqueous extracts. A study was conducted by Nayak et al. [49] to determine the effect of leaf extracts of allspice on DPPH. Different concentrations of allspice were added to DPPH solution and the result showed there was increased scavenging of DPPH radicals with increasing concentration of allspice extracts [50] . The results show that Pimento dioica leaves contain less polyphenols compared to berries of allspice since 80 µg/ml was required to reach IC50, while in this study, only 21.5 µg/ml was required to reach IC50 [51] . The concentration required for 50% inhibition of allspice in both extraction methods was similar. FRAP and TEAC assays showed a slightly higher antioxidant activity in water extracts of allspice compared to methanol extracts [52] . Another study was conducted by Ilhami et al. [53] to investigate the reducing effect of clove oil on the ferric ion (Fe3+ to convert it to ferrous ion (Fe2+). Allspice also contains clove, and had a similar effect by reducing Fe3+ to Fe2+.

Other factors that might have also influenced the different results include sample size, storage length and presence of substances that can interfere with the degree of extraction of phytochemicals [54] . Some phenolic compounds can exist in complex forms with carbohydrates and proteins, which can make them insoluble and decrease amount that can be extracted [55] . Phenolic extracts contain a mixture of wanted and unwanted phenolic compounds and there is no method to phenolic compounds with 100% purity from plant materials [56] . Extraction time can also affect the phenolic content of a sample, because the longer the extraction time, the higher the rate of oxidation of the phenolic compounds in the sample [57] . This can be prevented by adding a reducing agent to the extraction mixture [58] . A study conducted by Naczk and Shahidi [59] showed that increasing the liquid content of methanol or water can lead to increase in total polyphenols extracted from the sample mixture.

6. Conclusion

In this study, we were able to determine the phenolic and flavonoid content of allspice using both methanol and water extraction methods. The antioxidant potential of allspice was determined using the two extraction methods. Phenolic and flavonoid content were higher in methanol extracts of allspice compared to water extracts which might be attributed to the lower polarity of methanol, sample size, amount of extraction solvent utilized and extraction time. All assays carried out were able to show reducing and free radical scavenging ability which supports the view of allspice as a good source of antioxidants. Additional assays need to be carried out to further show the specific compounds present and their activity in order to be incorporated into different foods formulations, as well as in vivo and animal studies to see if there is any anticarcinogenic effect of the extract.

Acknowledgements

This study was supported by The Agricultural Experimental Research Station, Alabama A and M University, Normal, Alabama, 35762.

Conflicts of Interest

The authors declare no conflicts of interest.

References

[1] Zhang, L. and Lokeshwar, B.L. (2012) Medicinal Properties of the Jamaican Pepper Plant Pimenta dioica and Allspice. Current Drug Targets, 13, 1900-1906.
[CrossRef] [PubMed]
[2] Haslam, E. (1996) Natural Polyphenols (Vegetable Tannins) as Drugs: Possible Modes of Action. Journal of Natural Products, 59, 205-215.
[CrossRef] [PubMed]
[3] Naczk, M. and Shahidi, F. (2004) Extraction and Analysis of Phenolics in Food. Journal of Chromatography A, 1054, 95-111.
[CrossRef
[4] Maringiu, B., Piras, A., Porcedda, S., Casu, R. and Oierucci, P. (2005) Comparative Analysis of Supercritical CO2 Extract and Oil of Pimento dioica Leaves. Journal of Essential Oil Research, 17, 530-532.
[CrossRef
[5] Brand-Williams, W., Cuvelier, M.E. and Berset, C. (1995) Use of a Free Radical Method to Evaluate Antioxidant Activity. LWT-Food Science and Technology, 28, 25-30.
[CrossRef
[6] Tomaino, A., Cimino, F., Zimbalatti, V., Venuti, V., Sulfaro, V., De Pasquale, A. and Saija, A. (2005) Influence of Heating on Antioxidant Activity and the Chemical Composition of Some Spice Essential Oils. Food Chemistry, 89, 549-554.
[7] Martinez-Velazquez, M., Castillo-Herrera, G.A., Rosario-Cruz, R., Flores-Fernandez, J.M., Lopez-Ramirez, J., Hernandez-Gutierrez, R. and Lugo-Cervantes Edel, C. (2011) Acaricidal Effect and Chemical Composition of Essential Oils Extracted from Cuminum cyminum, Pimenta dioica and Ocimum basilicum against the Cattle Tick Rhipicephalus (Boophilus) microplus (Acari: Ixodidae). Parasitology Research, 108, 481-487.
[Google Scholar] [CrossRef] [PubMed]
[8] Bachiega, T.F., de Sousa, J.P.B., Bastos, J.K. and Sforcin, J.M. (2012) Clove and Eugenol in Noncytotoxic Concentrations Exert Immunomodulatory/Anti-Inflamma-tory Action on Cytokine Production by Murine Macrophages. Journal of Pharmacy and Pharmacology, 64, 610-616.
[CrossRef] [PubMed]
[9] Bors, W. and Michel, C. (2002) Chemistry of the Antioxidant Effect of Polyphenols. Annals of the New York Academy of Sciences, 957, 57-69.
[CrossRef] [PubMed]
[10] Singleton, V.L., Orthofer, R. and Lamuela-Raventós, R.M. (1999) Analysis of Total Phenols and Other Oxidation Substrates and Antioxidants by Means of Folin-Ciocalteu Reagent. Methods in Enzymology, 299, 152-178.
[CrossRef
[11] Charles, D.J. (2013) Antioxidant Properties of Spices, Herbs and Other Sources. Springer, New York, 145-150.
[12] López-Alarcóna, C. and Denicola, A. (2013) Evaluating the Antioxidant Capacity of Natural Products: A Review on Chemical and Cellular-Based Assays. Analytica Chimica Acta, 763, 1-10.
[13] Borneo, R., Leon, A.E., Aguirre, A., Ribotta, P. and Cantero, J.J. (2008) Antioxidant Capacity of Medicinal Plants from the Province of Cordoba (Argentina) and Their in Vitro Testing in a Model Food System. Food Chemistry, 112, 664-670.
[14] Riley, P.A. (1994) Free Radicals in Biology: Oxidative Stress and the Effects of Ionizing Radiation. International Journal of Radiation Biology, 65, 27-33.
[CrossRef] [PubMed]
[15] Gutteridge, J.M.C. (1994) Biological Origin of Free Radicals, and Mechanisms of Antioxidant Protection. Chemico-Biological Interactions, 91, 133-140.
[16] Halliwell, B. and Gutteridge, J.M.C. (1992) Cross Free Radicals, Antioxidants, and Human Disease: Where Are We Now? Journal of Laboratory and Clinical Medicine, 119, 598-620.
[17] Marzouk, M.S., Moharram, F.A., Mohamed, M.A., Gamal-Eldeen, A.M. and Aboutabl, E.A. (2007) Anticancer and Antioxidant Tannins from Pimenta dioica Leaves. Zeitschrift für Naturforschung C, 62, 526-536.
[CrossRef] [PubMed]
[18] Nakatani, N. (2000) Phenolic Antioxidants from Herbs and Spices. Biofactors, 13, 141-146.
[19] Shamaladevi, N., Lyn, D.A., Shaaban, K.A., Zhang, L., Villate, S., Rohr, J. and Lokeshwar, B.L. (2013) Ericifolin: A Novel Antitumor Compound from Allspice That Silences Androgen Receptor in Prostate Cancer. Carcinogenesis, 34, 1822-1832.
[CrossRef] [PubMed]
[20] Jaganathan, S.K., Mondhe, D., Wani, Z.A. and Supriyanto, E. (2014) Evaluation of Selected Honey and One of Its Phenolic Constituent Eugenol against L1210 Lymphoid Leukemia. The Scientific World Journal, 2014, Article ID: 912051.
[CrossRef] [PubMed]
[21] Chang, S.T. and Buswell, J.A. (1996) Mushroom Nutriceuticals. World Journal of Microbiology & Biotechnology, 12, 473-476.
[CrossRef
[22] Przygodzka, M., Zieliński, H., Ciesarová, Z., Kukurová, K. and Lamparski, G. (2014) Effect of Selected Spices on Chemical and Sensory Markers in Fortified Rye-Buck-wheat Cakes. Food Science & Nutrition, 4, 651-660.
[23] Ainsworth, E.A. and Gillespie, K.M. (2007) Estimation of Total Phenolic Content and Other Oxidation Substrates in Plant Tissues Using Folin-Ciocalteu Reagent. Nature Protocols, 2, 875-877.
[24] Quettier, D.C., Gressier, B., Vasseur, J., Dine, T., Brunet, C., Luyckx, M.C., Cayin, J.C., Bailleul, F. and Trotin, F. (2000) Phenolic Compounds and Antioxidant Activities of Buckwheat (Fagopyrum esculentum Moench) Hulls and Flour. Journal of Ethnopharmacology, 72, 35-42.
[25] Artega, J.F., Ruiz-Montoya, M., Palma, A., Alonso-Garrido, G., Pintado, S. and Rodriguez-Mellado, J.M. (2012) Comparison of the Simple Cyclic Voltammetry (CV) and DPPH Assays for the Determination of Antioxidant Capacity of Active Principles. Molecules, 12, 5126-5138.
[26] Benzie, I.F. and Strain, J.J. (1996) The Ferric Reducing Ability of Plasma (FRAP) as a Measure of “Antioxidant Power”: The FRAP Assay. Analytical Biochemistry, 239, 70-76.
[27] Huang, D., Ou, B., Hampsch-Woodill, M., Flanagan, J.A. and Prior, R.L. (2002) High-Throughput Assay of Oxygen Radical Absorbance Capacity (ORAC) Using a Multichannel Liquid Handling System Coupled with a Microplate Fluorescence Reader in 96-Well Format. Journal of Agricultural and Food Chemistry, 50, 4437-4444.
[CrossRef] [PubMed]
[28] Rice-Evans, C. and Miller, N.J. (1994) Total Antioxidant Status in Plasma and Body Fluids. Methods in Enzymology, 234, 279-293.
[29] Ebrahimzadeh, M.A., Nabavi, S.M., Nabavi, S.F., Bahramian, F. and Bekhradnia, A.R. (2010) Antioxidant and Free Radical Scavenging Activity of H. officinalis L. var. angustifolius, V. odorata, B. hyrcana and C. speciosum. Pakistan Journal of Pharmaceutical Sciences, 23, 29-34.
[30] Harborne, J.B. (1999) Classes and Functions of Secondary Products from Plants. In: Walton, J.N. and Brown, D.E., Eds., Chemicals from Plants—Perspectives on Plant Secondary Products, Imperial College Press, London, UK, 1-25.
[CrossRef
[31] King, A. and Young, G. (1999) Characteristics and Occurrence of Phenolic Phytochemicals. Journal of the American Dietetic Association, 99, 213-218.
[CrossRef
[32] Turkmen, N., Sari, F. and Velioglu, Y.S. (2006) Effects of Extraction Solvents on Concentration and Antioxidant Activity of Black and Black Mate Tea Polyphenols Determined by Ferrous Tartrate and Folin-Ciocalteu Methods. Food Chemistry, 99, 835-841.
[33] Dai, J. and Mumper, R.J. (2010) Plant Phenolics: Extraction, Analysis and Their Antioxidant and Anticancer Properties. Molecules, 15, 7313-7352.
[CrossRef] [PubMed]
[34] Bonoli, M., Verardo, V., Marconi, E. and Caboni, M.F. (2004) Antioxidant Phenols in Barley (Hordeum vulgare L.) Flour: Comparative Spectrophotometric Study among Extraction Methods of Free and Bound Phenolic Compounds. Journal of Agricultural and Food Chemistry, 52, 5195-5200.
[CrossRef] [PubMed]
[35] Wang, H. and Helliwell, K. (2001) Determination of Flavonols in Green and Black Tea Leaves and Green Tea Infusions by High-Performance Liquid Chromatography. Food Research International, 34, 223-227.
[36] Lowry, O.H., Rosebrough, N.J., Farr, A.L. and Randal, R.J. (1951) Protein Measurement with the Folin Phenol Reagent. Journal of Biological Chemistry, 193, 265-275.
[37] Zabka, M., Pavela, R. and Slezakova, L. (2009) Antifungal Effect of Pimenta dioica Essential Oil against Dangerous Pathogenic and Toxinogenic Fungi. Industrial Crops and Products, 30, 250-253.
[38] Buenger, J., Ackermann, H., Jentzsch, A., Mehling, A., Pfitzner, I., Reiffen, K.A., Schroeder, K.R. and Wollenweber, U. (2006) An Interlaboratory Comparison of Methods Used to Assess Antioxidant Potentials. International Journal of Cosmetic Science, 28, 135-146.
[39] Rohman, A., Riyanto, S., Yuniarti, N., Saputra, W.R., Utami, R. and Mulatsih, W. (2010) Antioxidant Activity, Total Phenolic, and Total Flavaonoid of Extracts and Fractions of Red Fruit (Pandanus conoideus lam). International Food Research Journal, 17, 97-106.
[40] Dudonne, S., Vitrac, X., Coutiere, P., Woillez, M. and Merillon, J.M. (2009) Comparative Study of Antioxidant Properties and Total Phenolic Content of 30 Plant Extracts of Industrial Interest Using DPPH, ABTS, FRAP, SOD, and ORAC Assays. Journal of Agricultural and Food Chemistry, 57, 1768-1774.
[CrossRef] [PubMed]
[41] Schmidt, E., Jirovetz, L., Wlcek, K., Buchbauer, G., Gochev, V., Girova, T., Stoyanova, A. and Geissler, M. (2007) Antifungal Activity of Eugenol and Various Eugenol-Containing Essential Oils against 38 Clinical Isolates of Candida albicans. Journal of Essential Oil Bearing Plants, 10, 421-429.
[42] Suárez, A., Ulate, G. and Ciccio, J.F. (1997) Cardiovascular Effects of Ethanolic and Aqueous Extracts of Pimenta dioica in Sprague-Dawley Rats. Journal of Ethnopharmacology, 55, 107-111.
[43] Miliauskas, G., Venskutonis, P.R. and Van Beek, T.A. (2004) Screening of Radical Scavenging Activity of Some Medicinal and Aromatic Plant Extracts. Food Chemistry, 85, 231-237.
[44] Huang, D., Ou, B. and Prior, R.L. (2005) The Chemistry Behind Antioxidant Capacity Assays. Journal of Agricultural and Food Chemistry, 53, 1841-1856.
[CrossRef] [PubMed]
[45] Prior, R.L. and Cao, G. (1999) In Vivo Total Antioxidant Capacity: Comparison of Different Analytical Methods. Free Radical Biology and Medicine, 27, 1173-1181.
[46] Kim, E., Oh, C.S., Koh, S.H., Kim, H.S., Kang, K.S., Park, P.S., Jang, M.J., Lee, H.R. and Park, I.K. (2016) Antifungal Activities after Vaporization of Ajowan (Trachyspermum ammi) and Allspice (Pimenta dioica) Essential Oils and Blends of Their Constituents against Three Aspergillus Species. Journal of Essential Oil Research, 28, 252-259.
[47] Przygodzkaa, M., Zielińskab, D., Ciesarovác, Z., Kukurovác, K. and Zieliński, H. (2014) Comparison of Methods for Evaluation of the Antioxidant Capacity and Phenolic Compounds in Common Spices. LWT-Food Science and Technology, 58, 321-326.
[48] Son, Y.K., Song, T.H., Woo, I.A. and Ryu, H.S. (2005) Antioxidative Activity of Phenolic Compounds of Allspice (Pimenta dioica). Journal of Food Science and Nutrition, 10, 92-94.
[49] Nayak, Y., Abhilash, D., Vijaynarayana, K. and Fernandes, J. (2008) Antioxidant and Hepatoprotective Activity of Pimenta dioica Leaf Extract. Journal of Cell and issue Research, 8, 1571-1576.
[50] Mandegary, A., Sayyah, M. and Heidari, M.R. (2004) Antinociceptive and Anti-Inflammatory Activity of the Seed and Root Extracts of Ferula gummosa Boiss in Mice and Rat. DARU, 12, 58-62.
[51] Moncada, A., Palmer, R.M.J. and Higgs, E.A. (1991) Nitric Oxide: Physiology, Pathophysiology and Pharmacology. Pharmacological Reviews, 43, 109-142.
[52] Gulcin, I., Elmastas, M. and Aboul-Enein, H.Y. (2010) Antioxidant Activity of Clove Oil—A Powerful Antioxidant Source. Arabian Journal of Chemistry, 5, 489-499.
[53] Riffle, R.L. (1998) The Tropical Look: An Encyclopedia of Dramatic Landscape Plants. Timber Press.
[54] Robbins, R. (2003) Phenolic Acids in Foods: An Overview of Analytical Methodology. Journal of Agricultural and Food Chemistry, 51, 2866-2887.
[CrossRef] [PubMed]
[55] Stankovic, M.S. (2011) Total Phenolic Content, Flavanoid Concentration and Antioxidant Activity of Marrubium peregrinum L. Extracts. Kragujevac Journal of Mathematics, 33, 63-72.
[56] Antolovich, M., Prenzler, P., Robards, K. and Ryan, D. (2000) Sample Preparation in the Determination of Phenolic Compounds in Fruits. Analyst, 125, 989-1009.
[CrossRef
[57] Cork, S.J. and Krockenberger, A.K. (1991) Methods and Pitfalls of Extracting Condensed Tannins and Other Phenolics from Plants: Insights from Investigations on Eucalyptus Leaves. Journal of Chemical Ecology, 17, 123-134.
[CrossRef
[58] Khanna, S.K., Viswanatham, P.N., Krishnan, P.S. and Sanwai, G.G (1968) Extraction of Total Phenolics in the Presence of Reducing Agents. Phytochemistry, 7, 1513-1517.
[59] Naczk, M., Shahidi, F. and Sullivan, A. (1992) Recovery of Rapeseed Tannins by Various Solvent Systems. Food Chemistry, 45, 51-54.

Copyright © 2026 by authors and Scientific Research Publishing Inc.

Creative Commons License

This work and the related PDF file are licensed under a Creative Commons Attribution 4.0 International License.