Modeling of Tuna Fish Frying Using Response Surface Methodology in the Production of Attieke “Garba” Dish in Côte D’Ivoire

Abstract

With the aim of optimizing the factors which act on the frying of the fish dish “Garba”, a study using the response surface methodology was carried out. After an appropriate choice of three variables, 15 experiments led to three second-order mathematical models linking the responses (temperature, number of reuses, frying time) to the factors and allowing good control of the frying process. After carrying out the tests and analyzing the data, the study provided knowledge of the optimal conditions necessary for frying while preserving the quality of the oil. The optimal point region for maintaining this quality is obtained when the temperature is 160˚C at frying times of 7.5 minutes for only 5 reuses of the oil.

Share and Cite:

Nimaga, D. , Diabate, M. , Kouassi, N. , Kouakoua, E. , Nindjin, C. , Dossou, J. and Amani, G. (2024) Modeling of Tuna Fish Frying Using Response Surface Methodology in the Production of Attieke “Garba” Dish in Côte D’Ivoire. Food and Nutrition Sciences, 15, 959-973. doi: 10.4236/fns.2024.1510061.

1. Introduction

The demographic growth experienced by the city of Abidjan, coupled with the pace of urban life and the lack of means of transport, prevent workers, the school and student population from eating their meals at home, thus making eating outside the home a need. According to [1] and [2], more than 70% of workers in Abidjan consume at least one street food. Among these foods, the “Garba” dish which appears to be the most consumed, is a quick, inexpensive meal and very appreciated by all socio-professional categories [3]. This dish consists of “attieke”, fried tuna, fresh pepper, tomato and onion [4] [5].

In the practice of frying tuna associated with “Garba”, the sprinkling of tuna for frying, the type and origin of the oil but especially the overuse of oil during frying at uncontrolled temperatures could degrade frying oil and impact the safety of fried tuna. According to [6], intense heating and reuse of oil pose a high food risk due to the production of carcinogenic compounds in oil, such as aromatic hydrocarbons, free fatty acids, acrylamide, peroxides and toxic aldehydes. These newly formed compounds ingested at a certain dose during the consumption of fried products can prove harmful to the health of consumers because they are responsible for cardiovascular diseases, congenital malformations and male reproductive toxicity [7] [8].

The aim of this work is to study the deep-frying process of tuna fish in order to contribute to the preservation of the health of consumers. The study will assess the effects of interactions between frying parameters and oil quality during frying.

2. Material and Methods

2.1. Description of the Tuna Fish Frying Process

Before frying, the processing of the fish consisted of cleaning, trimming and cutting. The fish were cleaned with clean water to remove impurities. Trimming was then carried out and the head of each fish was cut and separated from the rest, then the viscera was removed. The fish thus treated was further cleaned and then cut. The tuna pieces were then sprinkled with cassava flour and introduced into the oil (refined palm oil from the ‘‘Dinor’’ brand) heated to the desired temperature using an electric fryer. The fryer used in this study is Moulinex brand (Serial No. AF102030, France) with fixed tank with non-stick coating, allowing adjustment and control of the frying temperature.

2.2. Physico-Chemical Analysis of Oils from Box-Behnken Plan Tests

2.2.1. Determination of the Content of Neoformed Compounds

After frying, the content of newly formed compounds in the oils (PAH, acrylamide) was determined according to the standardized method NF EN ISO 8420 [9] using Testo 270 (No. 20388792, Germany).

2.2.2. Determination of Peroxide Index

The peroxide index of the oils was determined according to the method of the International Union of Pure and Applied Chemistry 2.501 [10].

2.2.3. Determination of the Acid Index

The acid index of the oils was determined according to the method of the International Union of Pure and Applied Chemistry (IUPAC) 2.201.

2.3. Methodology of Response Surfaces by the Box Behnken Plan

In order to preserve the quality of fried tuna, modeling following the box-Behken plan was applied to obtain optimal values of the independent variables (temperature, number of reuses, frying time).

2.3.1. Choice of Factors

The choice of factors for this study is based on the results of the diagnostic study of frying practices [11] but also on the results of certain studies on frying [12]-[14]. The factors examined are:

  • temperature: a Mastrad frying thermoprobe (FT 3000, France) was used for the exact verification and control of the temperature applied for frying.

  • the number of times the oil is reused.

  • frying time.

The different factors were provided with the same number of modalities (3 levels) in the application of the Box-Behnken plan methodology. Table 1 presents the factors studied and the variation for each factor, namely the low (−1), medium (0) and high (1) value, represented respectively by their coding (x1, x2, x3).

2.3.2. Answers Studied

The answers chosen in this study are the parameters reflecting the degradation of oil during frying. These responses are the content of newly formed compounds (%), the peroxide index (meqO2/kg) and the acid index (mg of KOH/g) after the frying tests of each combination given by the plan of experience.

2.3.3. Construction of the Experimental Plan

The number of experiments (N) necessary for the development of the Box-Behnken model is defined as follows: N = 2k (k − 1) + C0, (k is the number of factors and C0 is the number of points at the center of the domain experimental) [15]. Thus, the experimentation matrix is given by Table 2 and is composed of 15 experiments.

2.3.4. Mathematical Model Postulated

A second-degree polynomial function (Equation (1)) was postulated in order to predict the optimal point for which the oil still has the quality recommended for direct consumption and to be used as an ingredient for frying a food.

y= a 0 + a 1 x 1 + a 2 x 2 + a 3 x 3 + a 11 x 1 2 + a 22 x 2 2 +  a 33 x 3 2 + a 12 x 1 x 2 + a 13 x 1 x 3 + a 23 x 2 x 3 +e (1)

with y = response or dependent variable, a0 = model constant, ai = linear coefficients, aij = interaction coefficients and aii = quadratic model coefficients.

Table 1. Levels of factors chosen for the Box-Behnken plan when frying tuna fish.

Independent variables

Levels

Low (−1)

Medium (0)

Top (+1)

Temperature (˚c)-(X1)

140

160

180

Number of reuse (X2)

1

5

9

Frying time (min)-(X3)

5

7.5

10

Table 2. 3-factor experiment matrix for the Box-Behnken plan for frying tuna fish.

No. of tests

Independent variables (coded and real)

X1

X2

X3

1

−1 (140)

−1 (1)

0 (7.5)

2

1 (180)

−1 (1)

0 (7.5)

3

−1 (140)

1 (9)

0 (7.5)

4

1 (180)

1 (9)

0 (7.5)

5

−1 (140)

0 (5)

−1 (5)

6

1 (180)

0 (5)

−1 (5)

7

−1 (140)

0 (5)

1 (10)

8

1 (180)

0 (5)

1 (10)

9

0 (160)

−1 (1)

−1 (5)

10

0 (160)

1 (9)

−1 (5)

11

0 (160)

−1 (1)

1 (10)

12

0 (160)

1 (9)

1 (10)

13 - 15 (C)

0 (160)

0 (5)

0 (7.5)

(X1), (X2) et (X3) correspond respectively to the factors frying temperature, number of oil reuse, tuna frying time, C = central points.

2.3.5. Statistical Analysis and Optimization

A second-degree polynomial function (Equation (1)) was postulated in order to predict the

1) Modeling and optimization of the frying process

The industrial statistical module & six sigma (experiment plan) of the Statistica 10 software was used to establish the Box-Behnken plan matrix and carry out the various statistical modeling and optimization treatments.

2) Analysis of variance

Assessment of the overall quality of the developed model was carried out using an ANOVA and the Fisher-Snedecor test. If the Fobs value for regression (Equation (2)) is greater than the corresponding Fcrit value (Equation (4)), and the Fobs value for lack of fit (Equation (3)) is less than the Fcrit value (Equation (4)) corresponding we conclude that the mathematical model has a quality of adjustment (Montgomery, 2013).

F obs = MC E regression MC E residual (2)

F obs = MC E lack of adjustment MC E pure error (3)

F crit =F( 0,05;dd l numerator ;dd l denominator ) (4)

With, Fobs = calculated F-ratio value and Fcrit = F-ratio value read in the Ficher table; MCEregression = mean of the squares of the differences associated with the regression; MCEResidual = average of the squares of the deviations associated with the residuals MCElack of adjustment = average of the squares of the deviations associated with the lack of adjustment; MCEpure error = average of the squares of the deviations associated with the pure error.

3) Response optimization method

Response optimization was calculated using the desirability function approach. The calculation software then gives one or more sets of optimal conditions accompanied by an indicator, called the desirability coefficient (di) for each of the observed responses (Equation (5)). We then determine, where applicable, the total desirability (D), defined as the geometric mean of the individual desirabilities (di) (Equation (6)) [16].

d i =  1 M w i ( y i T i T i L i ) 2 (5)

D= ( d 1 × d 2 × ×  d k ) 1/4 (6)

With, M = number of responses, yi = responses, Wi = weight granted to each response (we will take it equal to 1), Ti = response target value and Li = acceptable limit value; D = total desirability; et di = individual desirability ( i=1,2,,K ).

3. Results and Discussion

3.1. Results

3.1.1. Physico-Chemical Composition of the Oil Resulting from the Box-Behnken Plan Tests

During the performance of the Box-Behnken design tests for three factors, three responses (Y1: % newly formed compounds; Y2: peroxide index, Y3: acid index) were measured for this study. The values of these responses as well as the responses predicted by the plan (BB) are recorded in Table 3.

Table 3. Coded and real values of the Behnken Box design matrix with measured and predicted responses of tuna frying oil.

Trials

Coded and real values of independent variables

Responses

X1

Temperature (˚C)

X2

Number of reuses

X3

Frying time

(min)

Y1

Neoformed Compounds (%)

Y2

Peroxide index (méqO2/Kg)

Y3

Acid index

(mgKOH/Kg)

Measured

Predicted

Measured

Predicted

Measured

Predicted

1

−1 (140)

−1 (1)

0 (7.5)

8.50

5.13

1.00

1.03

0.53

0.15

2

1 (180)

−1 (1)

0 (7.5)

10.50

10.75

2.63

3.31

1.38

1.90

3

−1 (140)

1 (9)

0 (7.5)

27.00

26.75

10.50

9.81

4.36

3.83

4

1 (180)

1 (9)

0 (7.5)

40.00

43.38

16.50

16.47

8.33

8.70

5

−1 (140)

0 (5)

−1 (5)

12.50

15.69

5.13

5.33

3.36

3.84

6

1 (180)

0 (5)

−1 (5)

26.50

26.06

10.63

10.17

6.55

6.14

7

−1 (140)

0 (5)

1 (10)

20.00

20.44

6.75

7.20

3.56

3.97

8

1 (180)

0 (5)

1 (10)

35.50

32.31

11.50

11.30

8.76

8.27

9

0 (160)

−1 (1)

−1 (5)

6.50

6.69

1.38

1.14

0.60

0.49

10

0 (160)

1 (9)

−1 (5)

37.00

34.06

10.13

10.61

5.36

5.39

11

0 (160)

−1 (1)

1 (10)

9.50

12.44

1.63

1.14

1.33

1.29

12

0 (160)

1 (9)

1 (10)

39.50

39.31

13.38

13.61

6.76

6.86

13 (C)

0 (160)

0 (5)

0 (7.5)

15.50

15.17

4.88

4.54

3.76

3.43

14 (C)

0 (160)

0 (5)

0 (7.5)

16.00

15.17

4.13

4.54

3.28

3.43

15 (C)

0 (160)

0 (5)

0 (7.5)

14.00

15.17

4.63

4.54

3.26

3.43

3.1.2. Neoformed Compounds

1) Effect of independent variables on the content of neoformed compounds

The iso-response curves (Figure 1(A)) show that the content of newly formed compounds increases as the number of times the oil is reused and the frying temperature increases. The content of 25% of newly formed compounds was obtained from temperatures above 160˚C for 4 reuses of the oil (Figure 1(A)).

Analysis of the combined effect of temperature (X1) and frying time (X3) shows that contents of less than 25% of newly formed compounds are obtained for temperatures between 140˚C and 160˚C and frying times. 6 minutes and 8 minutes. Levels above 25% are achieved by applying temperatures above 160˚C and frying times above 10 minutes (Figure 1(B)).

As for the combined effect of the frying time (X3) and the number of reuse (X2) with the temperature factor (X1), the content of newly formed compounds increases with the increase in the number of reuse and the frying time.

2) Mathematical model retained for the response in neoformed compounds

All coefficients of the linear term (X1, X2, X3) are significant (p ≤ 0.05), which indicates that the three factors have a significant influence on the evolution of the neoformed compounds during frying. But the factor X2 presents the lowest P-value (p ≤ 0.001), which highlights the great impact and influence that this factor has on the production of neoformed compounds in the tuna frying process. Also, all coefficients of the quadratic term ( X 3 2 , X 1 2 , X 2 2 ) are significant (p ≤ 0.05). Only two coefficients of the interaction term (X1X3 et X2X3) are not significant (p ≥ 0.05) (Table 4).

The mathematical model retained is given by the following Equation (7):

Y 1 ( neoformed compounds,% ) =15.16+5.56250 X 1 +13.56250 X 2 +2.75000 X 3                                  +3.41667 X 1 2 +2.91667 X 2 2 +5.04167 X 3 2 +2.75000 X 1 X 2 (7)

3) Assessment of the fit quality of the postulated model

The higher Fobs value for the model compared to the Fcrit value from the Fisher table and the Fobs for poor fit compared to the Fcrit value indicates that the model has a good fit. Also, the regression line of measured responses versus predicted values shows a strong correlation between them. The figure indicates that the points are well distributed around the regression line. The model can therefore be judged to be of sufficient quality, since it explains 96.87% of the measured variations in the response in newly formed compounds with an R2 (adjusted) = 0.91259.

Figure 1. Iso-response profile on the evolution of neoformed compounds of combined effects: (A) The frying temperature and the number of times the frying oil is reused, (B) Frying temperature and frying time of tuna, (C) Number of times frying oil is reused and tuna frying time.

Table 4. Estimation of polynomial model regression coefficients.

Terms

Estimated coefficients

ES

t-exp

p-value

Constant (a0)

15.16667

0.600925

25.23886

≤0.001 (**)

Linear effect of the model

a1

5.56250

0.367990

15.11590

0.00434 (*)

a2

13.56250

0.367990

36.85562

0.00043 (**)

a3

2.75000

0.367990

7.47303

0.01743 (*)

Quadratic effect of the model

a11

3.41667

0.541667

6.30769

0.02422 (*)

a22

2.91667

0.541667

5.38462

0.03280 (*)

a33

5.04167

0.541667

9.30769

0.01134 (*)

Model interaction effect

a12

2.75000

0.520416

5.28423

0.03399 (*)

a13

0.37500

0.520416

0.72058

0.54601 (ns)

a23

−0.12500

0.520416

−0.24019

0.83255 (ns)

ES = standard error, t-exp = calculated student value, p-value = probability associated with the value of t, a0 = constant of the equation, (a1, a2, a3) = linear coefficients, (a11, a22, a33) = quadratic coefficients, (a12, a13, a23) = interaction coefficients, (ns) = not significant (p > 0.05), (**) = highly significant (p ≤ 0.001), (*) = weakly significant (0.001 < p ≤ 0.05).

3.1.3. Peroxide Index

1) Effect of independent variables on peroxide index

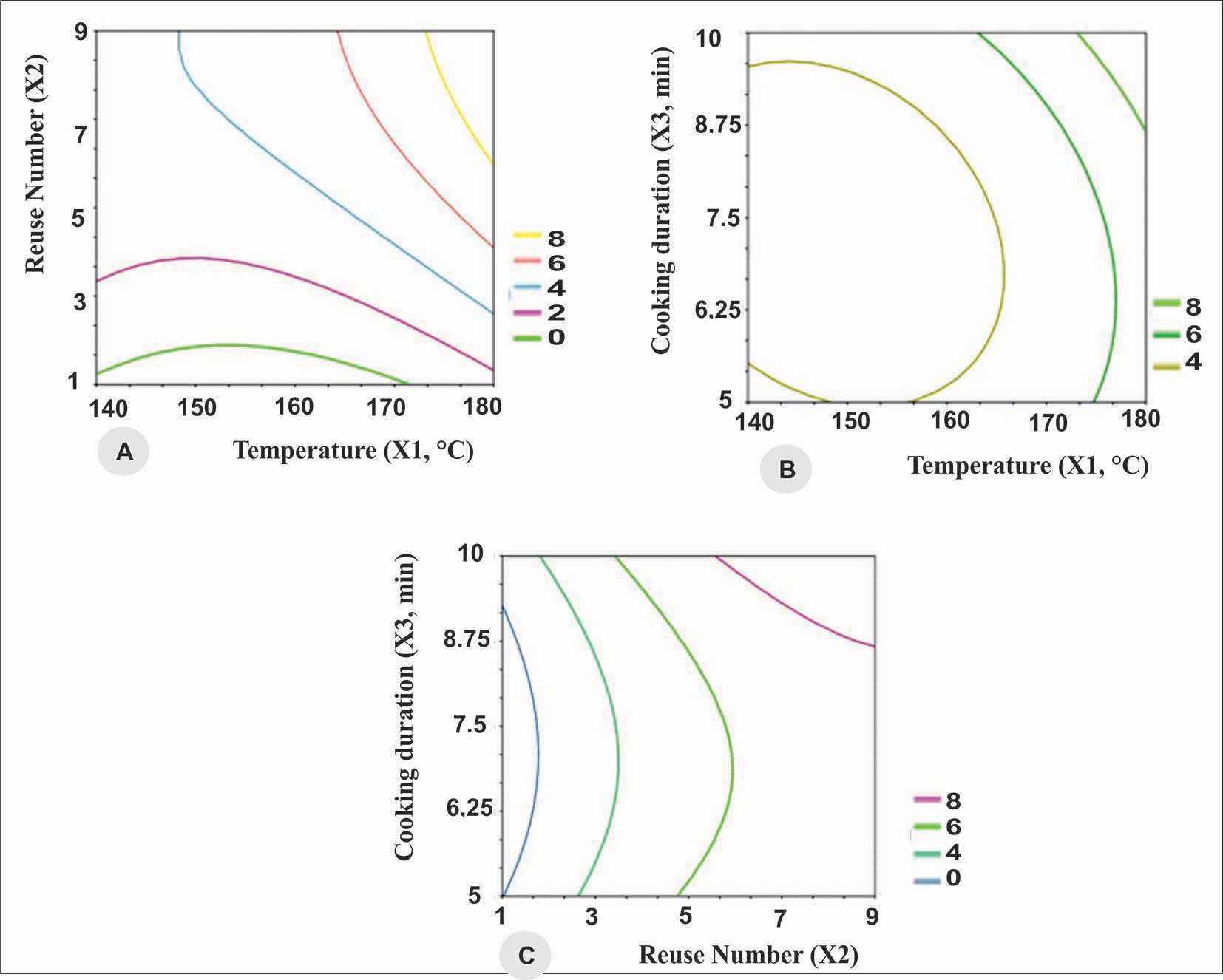
The iso-response curves (Figure 2(A)) indicate that the reuse of the oil for frying at high temperature results in an increase in the peroxide index of the oil. A peroxide index of 10 meqO2/kg was obtained beyond the 7th reuse for temperatures of 140˚C and 160˚C (Figure 2(A)).

The combined effect of temperature (X1) and frying time (X3) shows that low peroxide index values (4 and 6 meqO2/Kg) are obtained for temperatures between 140˚C and 170˚C and frying times of 5 minutes and 7.5 minutes. While values of 10 meqO2/Kg are achieved by applying temperatures above 170˚C and frying times above 8.5 minutes (Figure 2(B)).

In Figure 2(C), there is an increase in the peroxide index with oil reuse and frying time. The peroxide value of 10 meqO2/kg is reached at the 8th reuse of the oil for frying times of 10 minutes when the temperature is set at 160˚C.

2) Mathematical model for the response peroxide index

All coefficients of the linear term (X1, X2, X3) are significant (p ≤ 0.05), with a p-value ≤ 0.05 for the factor X2 (number of reuses). Thus, only two coefficients of the quadratic term ( X 1 2 , X 3 2 ) and one coefficient of the interaction term (X1X2) are significant (p ≤ 0.05) (Table 5).

The mathematical model chosen is given by the following Equation (8):

Y 2( Peroxide index in meqO 2 / kg ) =4.541667+2.234375 X 1 +5.484375 X 2 +0.750000 X 3                                       +2.494792 X 1 2 +1.463542 X 3 2 +1.093750 X 1 X 2 (8)

With Y2 being the peroxide index response and X1, X2 and X3 being the independent variables; frying temperature, number of reuses and frying time.

3) Assessment of the fit quality of the postulated model

Moreover, analysis of the graph of the curve of the peroxide index values measured as a function of the predicted values shows that the curve has the shape of a straight line, which also explains a close agreement between the experimental results and the values predicted by the polynomial model. The predicted and measured responses are therefore well correlated, with coefficients of determination (R2 = 0.99287); (R2 (adjusted) = 0.98002) greater than 0 and equal to 1.

3.1.4. Acid Value

1) Effect of independent variables on acid value

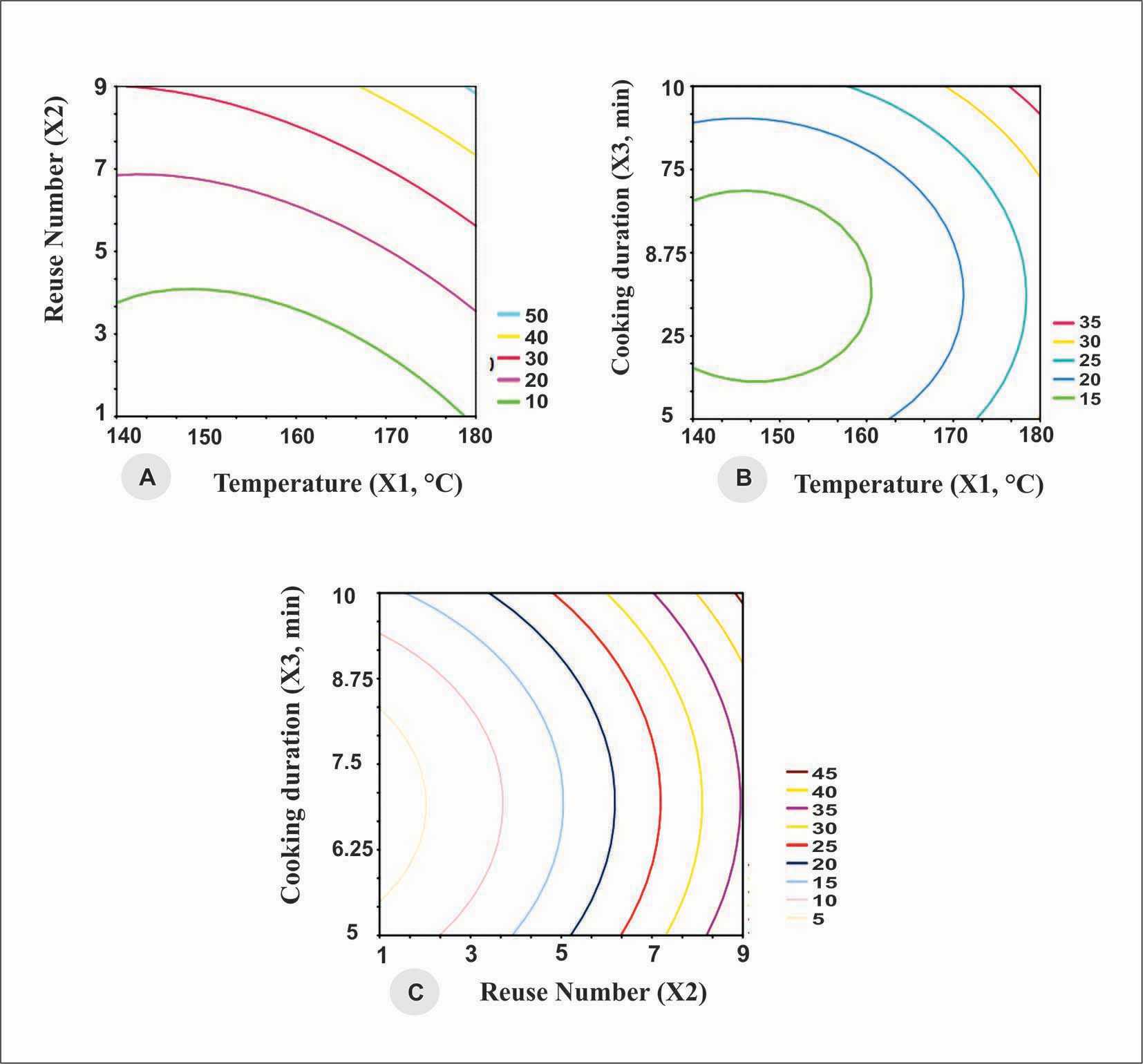
The iso-response curves show that the reuse of the oil and the temperature essentially have an action on the evolution of the acid value of the oil (Figure 3(A)). The acid value of 4 mgKOH/g was obtained for oil reuse of more than three from 150˚C (Figure 3(A)).

The effect of temperature (X1) and frying time (X3) on the acid number is also illustrated in Figure 3(B) with the number of reuses set at its zero level (5). The increase in the acid number is due to the combined effect of temperatures between 140˚C and 180˚C and frying times of 5 to 10 minutes.

Figure 3(C) gives the curves as a function of the frying time (X3) and of the number of re-uses (X2) with the temperature factor (X1) fixed at its zero level. The

Figure 2. Isoresponse profile of the change in the peroxide index of the combined effects: (A) The frying temperature and the number of times the frying oil has been re-used, (B) Frying temperature and frying time of tuna, (C) The number of frying oil re-uses and the frying time of the tuna.

Table 5. Estimation of the regression coefficients of the polynomial model.

Terms

Estimated coefficients

SE

t-exp

p-value

Constant (a0)

4.541667

0.220479

20.59906

0.00234 (*)

Linear effect of the model

a1

2.234375

0.135015

16.54903

0.00363 (*)

a2

5.484375

0.135015

40.62036

0.00060 (**)

a3

0.750000

0.135015

5.55492

0.030913 (*)

Quadratic effect of model

a11

2.494792

0.198737

12.55321

0.00628 (*)

a22

0.619792

0.198737

3.11865

0.08926 (ns)

a33

1.463542

0.198737

7.36420

0.01794 (*)

Model interaction effect

a12

1.093750

0.190941

5.72822

0.02915 (*)

a13

−0.187500

0.190941

−0.98198

0.42964 (ns)

a23

0.750000

0.190941

3.92792

0.05912 (ns)

SE = standard error, t-exp = calculated student value, p-value = probability associated with the value of t, a0 = constant of the equation, (a1, a2, a3) = linear coefficients, (a11, a22, a33) = quadratic coefficients, (a12, a13, a23) = interaction coefficients, (ns) = not significant (p > 0.05), (**) = highly significant (p ≤ 0.001), (*) = weakly significant (0.001 < p ≤ 0.05).

acid number increases with oil reuse and frying time. Its highest value is reached at the 9th reuse of the oil for frying times of 10 minutes.

2) Mathematical model for the acid index response

The results of the estimation and significance of the regression coefficients of the postulated Box-Behnken second-degree model, representing the relationship between the change in acid index and the three independent variables studied, indicate that the model is significant (p ≤ 0.05) (Table 6). Thus, all the coefficients of the linear term (X1, X2, X3) are significant (p ≤ 0.05), with a strong significance for the factor X2 (number of re-uses) which has a p-value = 0.001. Also, the terms of the coefficient of the quadratic term ( X 3 2 , X 1 2 , X 2 2 ) are significant and in the interaction term only the combined action of temperature and number of reuse (X1X2) is significant (p ≤ 0.05).

The mathematical model used is given by the following Equation (9):

Y 3 ( Acid index in mgKOH/g ) =3.428333+1.651875 X 1 +2.620625 X 2 +0.566250 X 3                                  +1.130833 X 1 2 0.914167 X 2 2 +0.994583 X 3 2 +0.780000 X 1 X 2 (9)

where Y3 is the acid index response and X1, X2 and X3 are independent variables; frying temperature, re-use number and frying time.

3) Assessment of the fit quality of the postulated model

The model is significant (p = 0.001) with a non-significant lack of adjustment (p = 0.05), according to ANOVA based on the quality of the Box-Behnken model of the relationship between the three selected independent variables and the acid index. Finally, the analysis of the curve of the acid index values measured as a function of the predicted values shows that the curve also has the shape of a straight line, which explains a close agreement between the experimental results and the values predicted by the polynomial model. The two are well correlated, with coefficients of determination (R2 = 0.98127; R2 (adjusted) = 0.94755) greater than 0 and close to 1, which confirms the quality of the response modeling.

Figure 3. Isoresponse profile of acid value change of the combined effects: (A) Temperature and number of re-uses, (B) Temperature and frying time, (C) Number of re-uses and frying time.

Table 6. Estimation of the regression coefficients of the polynomial model.

Terms

Estimated coefficients

SE

t-exp

p-value

Constante (a0)

3.428333

0.163435

20.97670

0.00226 (*)

Linear effect of the model

a1

1.651875

0.100083

16.50500

0.00365 (*)

a2

2.620625

0.100083

26.18444

0.00145 (**)

a3

0.566250

0.100083

5.65779

0.02984 (*)

Quadratic effect of model

a11

1.130833

0.147319

7.67611

0.01655 (*)

a22

−0.914167

0.147319

−6.20537

0.02500 (*)

a33

0.994583

0.147319

6.75124

0.02124 (*)

Model interaction effect

a12

0.780000

0.141539

5.51084

0.03138 (*)

a13

0.501250

0.141539

3.54142

0.07131 (ns)

a23

0.168750

0.141539

1.19225

0.35544 (ns)

SE = standard error, t-exp = calculated student value, p-value= probability associated with the value of t, a0 = constant of the equation, (a1, a2, a3) = linear coefficients, (a11, a22, a33) = quadratic coefficients, (a12, a13, a23) = interaction coefficients, (ns) = not significant (p > 0.05), (**) = highly significant (p ≤ 0.001), (*) = weakly significant (0.001 < p ≤ 0.05).

3.1.5. Model Optimization and Verification

1) Determination of optimal conditions

The values of the response optimizing factors (Y1: neo-formed compounds, Y2: peroxide number, Y3: acid number) at the limit of the recommended values required for a consumable frying oil were determined using the desirability function of the STATISTICA 10 software (Figure 4).

Examination of all the graphs allowed the selection of the coordinates of the optimal point of the three factors at their zero levels, i.e. (Temperature: 160˚C, Number of re-uses: 5 and frying time: 7.5 minutes).

2) Checking optimal conditions

Under these optimum conditions, mean values of 15.5% ± 0.33% of neoformed compounds, 4.43 ± 0.11 meqO2/Kg in peroxide index, and 3.51 ± 0.01 mgKOH/g in acid index were obtained. While the model predicted a neoformed compound content of 15.17%, a peroxide value of 4.54 Under these optimum conditions, mean values of 15.5% ± 0.33% of neoformed compounds, 4.43 ± 0.11 meqO2/Kg in peroxide index, and 3.51 ± 0.01 mgKOH/g in acid index were obtained, while the model predicted a neoformed compound content of 15.17%, a peroxide index of 4.54 meqO2/Kg and an acid index of 3.43 mgKOH/g (Table 7).

4. Discussion

The experimental results of this study, which showed a variation of 6.5 to 40% of neoformed compounds, of 1 to 16.5 meqO2/Kg of peroxide index, of 0.53 to 8.76 mgKOH/g of acid index as a function of the variation of the factors in the fifteen trials, confirm the significant effect of the factors under study, but above all, justify

Figure 4. Profiles of predicted values and desirabilities for physico-chemical parameters of tuna frying oil.

Table 7. Predicted and experimental physicochemical parameters under optimal conditions of independent variables.

Independent Variables

Optimal Levels

Experimental values

Predicted values

NC

PI

AI

NC

PI

AI

Temperature (X1, ˚C)

160

15.5 ± 0.33a

4.43 ± 0.11b

3.51 ± 0.01c

15.17a

4.54b

3.43c

Number of reuse (X2)

5

Frying time (X3, min)

7.5

NC = Neoformed compounds (%); PI = Peroxide Index (méqO2/Kg); AI = Acid index (mgKOH/g); Standard mean error (n = 3) followed by the same letter for the same physico-chemical parameter are not significantly different with p > 0.05.

this step of optimizing the method of frying tuna [12]. Indeed, the application of the Box-Behnken plan demonstrates the great impact and the influence that the number of times the oil is reused, the temperature and the frying time have on the physico-chemical evolution of the oil during frying, which is in agreement with the work carried out by [17] [18]. In addition, this change in the parameters during tuna frying is more attributable to the number of oil re-uses (X2) and to the frying temperature (X1) because the p-values of the linear effect of these two factors are very significant for all responses.

The various isoresponse curves obtained show that there is indeed a close relationship between the physicochemical parameters and the independent variables and keeping a variable at its zero level each time. Thus, the analysis of all the isoresponse curves showed a perfect interaction between the temperature X1 and the number of reuses X2, but also between the temperature X1 and the frying time X3. The effects of these different interactions were shown to be statistically significant at 5%. These results are in agreement with those reported by [13]. Indeed, these researchers obtained significant interaction effects between temperature and frying time for the yellow flesh of sweet potatoes. The study of the interaction effects between the independent parameters allowed a better interpretation between the different factors.

These experimental results also allowed the construction of a second-degree polynomial model whose suitability was evaluated using the analysis of variance (ANOVA) using the Fisher test (model and lack of fit), as well as the coefficient of determination (R2) and the R2 (adjusted) coefficient of determination. The significance of the polynomial models was confirmed by the higher Fobs value for all responses to the Fcrit value at the 95% confidence level. The non-significance of the lack of adjustment was confirmed by a Fobs value less than Fcrit at the 95% confidence level. This is because a model will be well suited to (significant) experimental data if it shows a lack of insignificant adjustment, but also a coefficient of determination (R2) and the coefficient of determination (R2) (adjusted) approaching unity. The analysis of the overall model quality yielded values for the three responses of R2 and R2 (adjusted) coefficients of 0.96; 0.99; 0.98127 and 0.91; 0.98; 0.94, respectively, which are well above 0.80 [16]. This indicates a degree of correlation between experimental and predicted physicochemical parameter values. Previous studies have reported similar values for R2 and R2 (adjusted) for the model developed for different parameters of deep-fried yam [19].

In addition, the optimization of the tuna frying process by the Box-Behnken method applying the desirability function has enabled the production and estimation of frying conditions leading to the preservation of the quality of the oil. Indeed, the values of neoformed compounds of 15.5%, of peroxide index of 4.43 meqO2/Kg and of acid index of 3.51 mgKOH/g of the oils were obtained by applying a temperature of 160˚C to the fifth reuse for frying times of 7.5 minutes. This frying condition, requiring that five times the use of 1.5 L of oil for each frying of one kilogram of fresh tuna sprinkled with flour, was validated because the results showed a significance and a correlation between the experimental measurements and the optimal predicted measurements. Thus, most of the sensory criteria with a positive connotation (taste of cooked fish, smell of fried fish, good color, crispy) and the satisfactory assessment were attributed to fried tuna under this optimum condition. This optimization result could help to ensure the physico-chemical quality of the oil reused five times and the sensory quality of the fried tuna. Restaurateurs in “Garba” should therefore avoid over-using the oil more than five times and even until it darkens at temperatures that are too high and uncontrolled for tuna frying. The initial composition of the oil and the (electric) deep fryer probably influenced the evolution of the physico-chemical parameters of the oil during the frying of tuna in this study.

5. Conclusion

This study showed that a polynomial model of order 2 seems to correctly model the evolution of the physicochemical parameters studied. The region of the optimal point for maintaining the quality of the oil and tuna is obtained at a temperature of 160˚C for a frying time of 7.5 minutes with only 5 reuses of the oil. Finally, this work confirms the possibility of a contribution to the preservation of the health quality of the reused oil in an approach whose main aim is to produce healthy foods for consumers of the dish “Garba”.

Conflicts of Interest

The authors declare no conflicts of interest regarding the publication of this paper.

References

[1] Koffi, A.L.J., Fokou, G., Yao, G.R. and Bonfoh, B. (2014) Dynamique des habitudes alimentaires et gestion des risques socio-sanitaires liés à la consommation du “garba” dans le secteur informel urbain d’Abidjan. Rapport biannual, 2015, 109 p.
[2] Soungari, Y., Maïmouna, Y. and Bébé, K. (2017) Niveau d’éducation et pratiques d’hygiène alimentaire par les vendeurs de «Garba» du District d’Abidjan. Canadian Social Science, 13, 46-54.
[3] Bonfoh, B. (2016) Crise de l’attieke/un scientifique prévient: Bientôt le “garba’’ sera un produit de luxe pour les ivoiriens.
http://news.abidjan.net/h/600672.html
[4] Tanoh, B. (2016) Garba Ivoire. Journal hebdomadaire de la presse écrite de Côte dIvoire, Edition du 22-12-2016.
https://www.abidjan.net
[5] Yobouet, A.B., Adjéhi, D., Sylvain, G.T., Koffi, M.D. and Bassirou, B. (2016) Contamination par Bacillus cereus de l’attieke produit dans le secteur informel au sud de la Côte d’Ivoire et gestion du risque par le réchauffage hydrothermique. International Journal of Innovation and Applied Studies, 15, 637-654.
[6] Guillén, M.D. and Uriarte, P.S. (2012) Aldehydes Contained in Edible Oils of a Very Different Nature after Prolonged Heating at Frying Temperature: Presence of Toxic Oxygenated α, β Unsaturated Aldehydes. Food Chemistry, 131, 915-926.[CrossRef
[7] European Food Safety Authority (2008) Polycyclic Aromatic Hydrocarbons in Food—Scientific Opinion of the Panel on Contaminants in the Food Chain. European Food Safety Authority Journal, 6, Article 724.[CrossRef
[8] Courtois, F., Mohammad Ziaiifar, A., Trezzani, I. and Trystram, G. (2012) Friture profonde: Les interactions huile-produit. Oléagineux, Corps gras, Lipides, 19, 89-95.[CrossRef
[9] Aubret, J.M. and Huard, M. (2003) Qualité des huiles et acides gras de palme et des mélanges d’huiles acides caractérisations chimique et biochimique.
[10] ISO (2003) Corps gras d’origines animale et végétale. Détermination de l’indice d’acide et de l’acidité.
[11] Diabate, M., Dossou, J., Nimaga, D., Gbogouri, A.G. and Amani, G.N. (2018) Etude diagnostique des pratiques de friture du thon du mets «Garba» consommé dans la ville d’Abidjan (Côte d’Ivoire). International Journal of Biological and Chemical Sciences, 12, 1333-1344. [Google Scholar] [CrossRef
[12] Sobukola, O.P., Awonorin, S.O., Oladimeji, S.L. and Olukayode, B.F. (2010) Optimization of Pre-Fry Drying of Yam Slices Using Response Surface Methodology. Journal of Food Process Engineering, 33, 626-648.[CrossRef
[13] Esan, T.A., Sobukola, O.P., Sanni, L.O., Bakare, H.A. and Munoz, L. (2015) Process Optimization by Response Surface Methodology and Quality Attributes of Vacuum Fried Yellow Fleshed Sweetpotato (Ipomoea batatas L.) Chips. Food and Bioproducts Processing, 95, 27-37.[CrossRef
[14] Hosseini, H., Ghorbani, M., Meshginfar, N. and Mahoonak, A.S. (2016) A Review on Frying: Procedure, Fat, Deterioration Progress and Health Hazards. Journal of the American Oil ChemistsSociety, 93, 445-466.[CrossRef
[15] Box, G.E.P. and Behnken, D.W. (1960) Some New Three Level Designs for the Study of Quantitative Variables. Technometrics, 2, 455-475.[CrossRef
[16] Bezerra, M.A., Santelli, R.E., Oliveira, E.P., Villar, L.S. and Escaleira, L.A. (2008) Response Surface Methodology (RSM) as a Tool for Optimization in Analytical Chemistry. Talanta, 76, 965-977.[CrossRef] [PubMed]
[17] Diabate, M., Nimaga, D., Nindjin, C., Ahyi, V., Dossou, J. and Amani, N.G. (2019) Peroxide Index, Trans Fatty Acids, Acrylamide and Polycyclic Aromatic Hydrocarbons (Pah) Contents in Frying Oils and Fried Tuna Fish Involved in “Garba” Production in Côte D’ivoire. Food and Nutrition Sciences, 10, 947-962.[CrossRef
[18] Cherif, I.M. (2017) Effets des différentes fritures sur les qualités physico-chimiques et nutritionnelles des huiles. Master’s Thesis, University of Mostaganem.
[19] Sobukola, O.P., Awonorin, S.O., Sanni, L.O. and Bamiro, F.O. (2008) Optimization of Blanching Conditions Prior to Deep Fat Frying of Yam Slices. International Journal of Food Properties, 11, 379-391.[CrossRef

Copyright © 2025 by authors and Scientific Research Publishing Inc.

Creative Commons License

This work and the related PDF file are licensed under a Creative Commons Attribution 4.0 International License.