Minimization of the Expected Total Net Loss in a Stationary Multistate Flow Network System ()
Received 15 March 2016; accepted 21 May 2016; published 24 May 2016

1. Introduction
A series of challenges concerning reliability engineering is presented in [1] . Some of these challenges are connected to the representation and modeling of complex systems, such as multistate systems, and their operational tasks, for instance maintenance optimization.
Over the past decades various measures of component importance have been studied. The use of such measures permits the reliability analyst to prioritize the system components in order to allocate resources efficiently. In [2] a new theory for measures of importance of system components is presented. Generalizations of the Birnbaum, Barlow-Proschan and Natvig measures (see [3] - [5] respectively) from the binary to the multistate case, both for unrepairable and repairable systems are covered. A numerical study of the above mentioned multistate measures of component importance is also covered in [2] . Loss of utility due to the system leaving the different sets of better states are introduced in that study. However, no detailed costs or incomes are specified. Recently, work has been done to also include costs in the determination of component importance for binary systems. In [6] and [7] the Birnbaum measure is extended to also include both failure induced and maintenance costs, while [8] and [9] introduce other cost-effective importance measures.
In maintenance optimization studies one is often interested in choosing a maintenance plan which minimizes life cycle costs, maximizes net present value or maximizes system reliability for a given system. See for instance [10] - [14] for some recent work on these subjects.
In this article we will look at one particular type of maintenance action, the complete repair. As the components reach the complete failure state, they are repaired to what we will denote the perfect functioning state. The aim is to include both costs and incomes in the study of a repairable multistate flow network system. To achieve this, we will define incomes and cost functions for the purpose of minimizing the expected total net loss over a time period with respect to the expected component times in the different states. This represents a novelty in that we connect the expected component times spent in each state to the minimal total net loss of the system, without first finding the component importances.
It would of course have been nice to optimize with respect to probability distributions instead of expectations, but this is not trivial even for a simple three-component system. However, the optimization problem considered in this article is particularly interesting in a design or re-design phase, where one may tune the components in such a way that the expected total net loss is minimized.
With the optimization problem considered in this article we are facing complex dependencies. We therefore study both a simplified version and a modified version of the optimization problem. In the simplified version we see that the optimal expected time spent in each state increases with increasing operational time for all three cost function types considered. However, the extent of the increase differs with the different basic cost function types. Due to basic investment costs this is not a trivial result. In the modified version of the optimization problem we only find approximate solutions. We observe that the different types of cost functions influence the end results significantly. For instance one of the functioning states is redundant for two of the three cost function types when the cost function parameter is increasing. For both problems we see that the minimum expected total net loss is increasing with increasing component cost per repair.
The rest of the article is organized as follows: Section 2 introduces the basic model, the three different types of cost functions and the three-component system of interest. The simplified version of the optimization problem with results is presented in Section 4. Section 5 presents the modified optimization problem with results, and concluding remarks are found in Section 6.
2. Basic Model
Let S be the set of possible system states, and
, the set of possible component states. Throughout this article we will assume that
. Since we are regarding the system as a flow network, the system state is the amount of flow that can be transported through the network. In the same way, the component state is the amount of flow that can be transported through each component. Let
be the vector of component states at time t. That is
if component
is in state
at time t.
A binary minimal cut set is a minimal set of components which upon failure will break the connection between the endpoints of the network. Let
,
, be the binary minimal cut sets of the network. Then, by applying the max-flow-min-cut theorem (see [15] ), we get that the system state is given by
(1)
Thus, the system state equals the smallest total flow through the minimal cut sets of the system. Assume now that no components are in series with the rest of the system. Then there must be at least two components in every minimal cut set. If all components are in the perfect functioning state, M, the system state will be at least 2M, and therefore we must have that
. Thus, the assumption of equality between the set of system states and the set of component states,
, implies that at least one component is in series with the rest of the system. For this reason, we will in Sections 4 and 5 focus on the three component system given in Figure 1.
Assume that the components deteriorate by going through all states in
, from the perfect functioning state M to the complete failure state 0, before being repaired back to M.
Let
be the expected time component
spends in state
, and let the vector of positive expected component times in each state be denoted
.
Assume for
that the basic investment costs of component i spending the expected amount of time
in state
are given by the cost functions
for
and
for
. These basic costs appear once in the time interval
for each combination of
and
.
For any given functioning state
, it seems natural that these basic expenses grow when the expected times become large. If however, no time is spent in a functioning state, there will not be any basic costs of keeping the component in this state. Similarly, the shorter the expected time spent in the complete failure state, the more expensive it should be. In other words, the faster a complete repair is executed, the more
expensive it should be. Therefore, we assume that the cost function
is increasing and the cost function
is assumed to be decreasing; moreover, both functions are assumed to be twice differentiable with
. Throughout this article we assume the cost functions,
and
, to be of one of the following types:
Type 1:
and ![]()
Type 2:
and ![]()
Type 3:
and
,
where
are constants. These cost functions are constructed by the authors according to the above mentioned criteria to represent a variation in the potential basic cost development.
In this article we only consider perfect repairs. Let
denote the cost per repair from the complete failure state to the perfect functioning state of component
. The total number of repairs of component
in the interval
is denoted
for
.
Let
be the fixed income per unit of time when the system is in state
, and assume that
![]()
This means that the income decreases, starting from the perfect functioning state, from one state to the next until the system reaches the complete failure state, where the income is non-positive. Thus, there is a loss per time unit that the system spends in the complete failure state. Such negative income might correspond to interest rate expenses connected to system building investments. The presence of such costs will increase the incentive for repairing the failed components.
![]()
Figure 1. A system with three components.
The contribution from the i-th component to the total cost connected to the operation of the system in the time interval
, is the total repair cost over the interval,
, in addition to the basic investment costs related to component i spending the expected amount of time
in state
,
. To get the total costs connected to the operation of the system we sum over all components.
Let
denote the indicator function of the event A. Then the income at time t connected to the operation of the system is given by
![]()
To find the total income we integrate the income at time t over the time period
. Hence, the total net loss connected to the operation of the system in the time interval
is
![]()
Note that a negative net loss equals a positive net gain. By taking the expectation we find that the corresponding objective function is
(2)
In the remaining parts of this article, we will focus on stationary multistate systems. Component availabilities are now given by
(3)
for
and
. The stationary system availabilities are given by
(4)
Let
denote the vector of component availabilities. When the components operate independently the stationary system availabilities,
, equals
for
.
The expected number of repairs of component i is now given by
,
. The objective function, given in (2), therefore becomes
(5)
which is determined explicitly by
,
,
.
Thus, the optimization problem that we will consider is to minimize (5) with respect to
and
with different cost functions
and
.
3. The Three-Component System
For simplicity, the system we will focus on, is the multistate flow network system consisting of three com- ponents where component 1 is in series with the parallel structure of components 2 and 3 (see Figure 1). We will assume that all components and the system are in one of three states, that is we assume
.
The structure function of the module consisting of components 2 and 3 in parallel is
, whereas the structure function of the system is
(6)
since
. For the system to be in the perfect functioning state, state 2, both modules, that is both component 1 and the parallel structure of components 2 and 3, must be in the perfect functioning state. For the system to be in state 1 both modules must be functioning, and at least one of the modules must be functioning at level
. For the system to be in the complete failure state, at least one of the modules must be in the complete failure state. The system availabilities are hence given by
(7)
4. The Simplified Problem
Because of the complex nature of the problem presented in Section 2 we first study a simplified version of the problem. Assume the expected times spent in each state to be equal for each component. That is, we assume
, for
and
. It is now natural to also assume
for
and
. As a consequence, the component availabilities are equal to
for all i and k. Thus, the system availabilities are equal to
![]()
![]()
![]()
As a consequence, the total income, given by the last term in the objective function (5), is constant. Let
be the vector of expected component times. The simplified objective function is given by
(8)
and the corresponding optimization problem is
(9)
This is a box constrained nonlinear optimization problem. Note that the sum
, in (8), is independent of
and will therefore not affect the minimum.
4.1. Analysis of Convexity
Let
denote the Hessian matrix related to the objective function (8). This is a
matrix.
![]()
where
(10)
The objective function is convex if and only if the Hessian matrix is positive semidefinite (see for instance [16] ). In our case, the Hessian matrix is a diagonal matrix with
on the diagonal. Hence, if all the diagonal elements are non-negative, i.e.
, then the objective function is convex and a local minimum will also be the global minimum.
4.2. The Objective Functions
4.2.1. Type 1 Cost Functions
Let the cost functions be given by
and
respectively. The objective function (8) is now given by
(11)
and the diagonal elements of the Hessian matrix are, for
,
![]()
Thus, in this case, the objective function is convex.
Differentiating
gives
![]()
For
the optimal
is given by
(12)
We see from (12) that the optimal
is depending on
and
. T is the operational time period,
is the cost per repair of component i and
is a constant connected to the basic investment costs of component i spending the expected amount of time,
, in state k. Furthermore, the optimal
is independent of
,
. It is increasing in T, as seen by the solid line in Figure 2, increasing in
, as seen in Table 1 for
and as the basic investment cost parameter,
, increases, the optimal
decreases. This is also seen in Table 1 for
. These latter results are reasonable.
4.2.2. Type 2 Cost Functions
Let for
the cost functions be logarithmic and given by
and
. The objective function (8) becomes
(13)
The diagonal elements, (10), in the Hessian matrix are in this case given by
![]()
for
. The numerator, A, is given by
![]()
This is a 5-th order polynomial in
. As
grows large A is dominated by the
term which has negative sign. Hence, the numerator, and
, are negative for large
. On the other hand, when
approaches 0,
is positive. The objective function (13) is thus neither convex nor concave. We see that
approaches infinity when
, approaches either 0 or
. Therefore the objective function (13) has minimum values.
Differentiating (13) with respect to
,
gives the following:
![]()
The solutions to
are the zeroes of the third degree polynomial in ![]()
(14)
which can be solved numerically. Every third degree polynomial has at least one real root, and since
is the expected time component i spends in each state, we are only interested in positive solutions of
.
4.2.3. Type 3 Cost Functions
The cost functions are in this section given by
for the two functioning states, and
for the complete failure state. The objective function (8) now becomes
(15)
The diagonal elements of the Hessian matrix are, for all
, given by
![]()
Hence, (15) is convex and therefore it has a global minimum value.
4.3. Results
In this section the incomes per time unit are chosen to be
,
and
. For
the starting values for the numerical computations are chosen to be
.
The assumption,
, implies that the total income term in the objective function, (8), is constant, as has already been stated. Thus, the optimal
's only depend on the parameter values, and not on the structural placements of the components. Therefore, only results for component 1 are given in the following.
4.3.1. Effect of T
Figure 2 shows the development of the optimal expected times spent in each state (the optimal
) as function of the operational time T. Note that in this case, because of the chosen parameter values
, from (12) valid for cost functions of type 1, the optimal
, and the optimal expected life cycle length is
for all components.
In Figure 2 we see that
, and hence the optimal life cycle length, increases when the operational time increases. Due to the basic investment costs this is not a trivial result. However, the extent of the increase differs with the different cost function types.
For cost functions of type 1 we see some increase in the optimal expected
. This is in compliance with (12). We also see that
is by far the largest for cost functions of type 2 for all T. For cost functions of type 3, on the other hand, we only observe a slight increase in the optimal
as T increases.
From Figure 3 we see that the minimum expected net loss as function of the operational time T behaves differently with different types of cost functions. For cost functions of type 1 and 2, the minimum expected net loss is decreasing with increasing operational time T. For type 3 the minimum expected net loss is increasing at first before it starts to decrease. The minimum expected net loss is positive for
when we use cost functions of type 3.
4.3.2. Effect of C1
For cost functions of type 1, we see from Table 1 that the theoretical results given by (12) are equal to the computational results. For constant
the theoretical and computational results are also constant, which is in accordance with (12). Even though
is held constant (see Table 1 for
), we see an increase
in the minimum expected net loss. The minimum expected net loss is dependent on the values of
and
respectively. We see that when these values increase, the net loss increases, as is obvious from (11).
For cost functions of type 2 we found in Section 2.2.2 that the optimal
’s are the zeroes of the cubic
![]()
Figure 3. Minimum expected net loss as function of the operational time T for cost functions of type
.
for all i.
polynomial given in (14). For the parameter values in Table 2 this polynomial has one positive root, which equals the results obtained from the optimization routine. We see an increase in the optimal
as
increases.
Figure 4 shows the development of the minimum expected net loss as the repair costs,
, of component 1 increases. We see that the minimum expected net loss is negative for cost functions of type 2. That is, we have a positive maximum expected net gain for this cost function. For the other two types of cost functions we have a positive minimum expected net loss. For all
, the loss is greater for cost functions of type 3 than it is for cost functions of type 1. The corresponding optimal
,
and
are shown in Figure 5.
From Figure 5 we see that for cost functions of type 2 it is optimal to spend longer time in each state than it is for the other two cost functions. The optimal expected time spent in each state for component 1 is increasing with increasing repair costs
. This seems natural. The results for components 2 and 3 are equal because the parameter values concerning these two components are equal. From the right plot in Figure 5 we see that the increase in the repair costs of component 1 has no influence on the optimal expected time spent in each state for components 2 and 3, thus we see that the optimal
are constant.
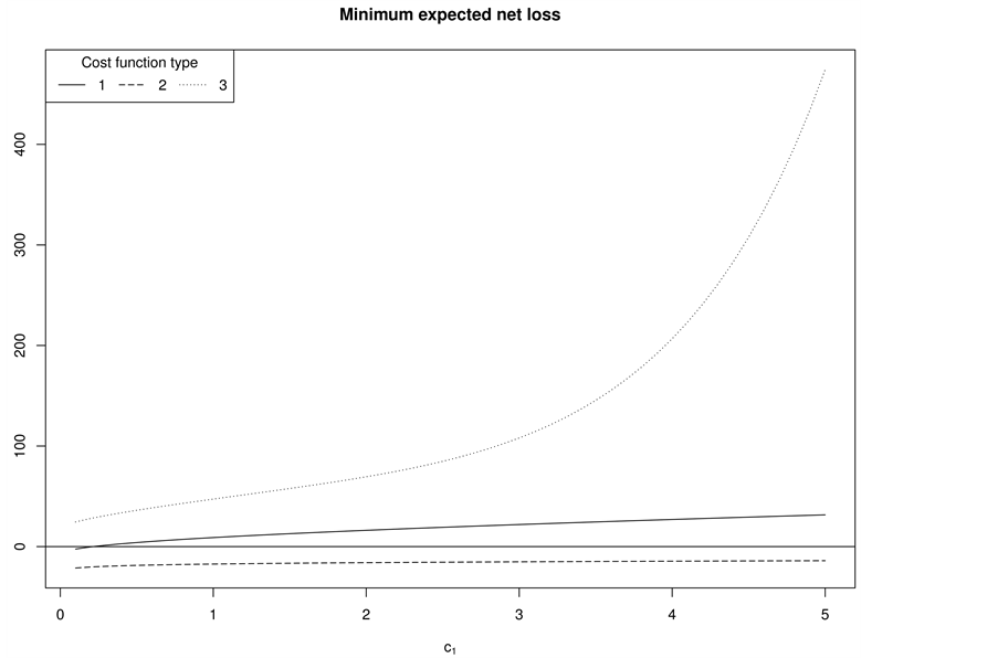
4.3.3. Effect of c1
Figure 6 shows the minimum expected net loss as a function of the cost function parameter
. The minimum expected net loss is increasing with an increasing
. We see that an increase in
has much larger effect on the minimum expected net loss when we use cost functions of type 3 than when we use the other two types of cost functions. This is natural since the type 3 cost functions are exponential.
The corresponding optimal
are shown in Figure 7. We see that
is constant.
, on the other hand, seems to be decreasing with increasing
when we have cost functions of type 1 and 3. This behavior seems reasonable. For cost functions of type 2 we see that
eventually starts to increase when
increases, which seems unnatural.
5. Modifications of the Full Model Optimization Problem
The original problem, represented by the objective function (5), turned out to be quite complex even though we only considered a simple three-component system with three possible system and component states. Thus, the optimization of this problem was not straightforward. In order to overcome difficulties with starting value sensitive optimization results, we reformulated the original optimization problem in order to find an approximate solution.
Let
,
, be the fixed expected length of the life cycle of component i. Then, the objective function is given by
(16)
where
is a vector of the expected times spent in each state for each component. We are interested in minimizing the expected total net loss (16) subject to the fixed expected length of the life cycles
,
. The optimization of the modified problem goes as follows:
Step 1: Choose values for
. For every combination of these
, the nonlinear optimization problem with both equality and inequality constraints, (17), is solved.
(17)
Step 2: Identify the overall minimum from the optimization results from step 1. The corresponding
will approximately minimize the expected total net loss over the time period
.
Optimization problems as the ones in step 1 may be solved using the augmented Lagrange multiplier method, for instance using the SOLNP algorithm as described in [17] . This algorithm is implemented in the Rsolnp package, see [18] , in R.
Note that minimizing the expected total net loss is equivalent to maximizing the expected total net gain, and that a negative expected total net loss is a positive expected net gain. Since we are using minimization algorithms instead of maximization algorithms, the focus has been on minimizing the total net loss rather than maximizing the total net gain.
5.1. Results
In this section lower bounds on
,
and
are chosen to be 10-15 for cost functions of type 1 and 2, and 0.01 for cost functions of type 3. The upper bound is chosen to be equal to the operational time T.
As in the previous section, the incomes per time unit when the system is in state
, are
,
and
respectively. The possible life cycle lengths are chosen to be
, and the starting values are
for
and
.
Component 2 and component 3 are in parallel. Their roles in the system are therefore interchangeable. Since we assume that the components’ cost functions are of the same type and that we are varying one parameter at a time, we are in the following only varying the parameters connected to component 1 and component 2. When the parameters of component 1 are varied the results for components 2 and 3 are identical. Hence, results for component 3 are then omitted.
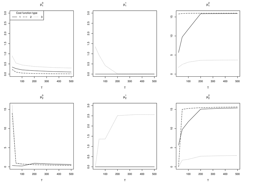
5.1.1. Effect of T
Figure 8 shows the minimum expected net loss as a function of T. We see that with cost functions of type 1 and 2, the minimum expected net loss is negative and decreasing for the chosen values of T. This means that for these cost functions we have an increasing maximum expected net gain. The loss is smaller for cost functions of type 2 than it is for the other two types of cost functions. For cost functions of type 3 the minimum expected net loss is positive for small T.
The corresponding optimal
’s,
and
, are given in Figure 9. It seems like the optimal
’s stabilizes as T becomes large.
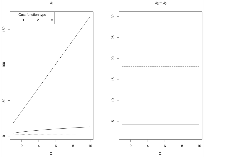
5.1.2. Effect of an Increasing Cost Per Repair Ci, i = 1, 2
For this, and the following sections, the operational time is set to
. Figure 10 and Figure 11 shows the minimum expected net loss as a function of the repair cost of component 1 and 2 respectively. We see that the minimum expected net loss is increasing with increasing repair costs
, for all three cost functions. This seems natural.
The corresponding optimal
as functions of
are shown in Figure 12 and for
in Figure 13 for
. As the repair costs of component 1,
, increases, the optimal expected life cycle length
for component 1 increases for cost function types 1 and 3. For cost functions of type 2 the optimal
are constant. For cost functions of type 1 and type 2, it is optimal to keep
component 1 in the perfect functioning state for as long as possible. Hence, we see a large
for these two cost function types. For cost functions of type 3, on the other hand, the increase in expected life cycle length is placed in state
, and we see an increase in
for this cost function. The extra costs connected to an increase in the expected times spent in either of the two functioning states are much larger for cost functions of type 3 than for the other two types of cost functions.
As the repair costs of component 2,
, increases, we see from Figure 13 that the results for component 1 are constant. Hence, for component 1 the optimal expected time spent in each state is independent of the repair cost of component 2. We also see that an increasing repair cost results in an increasing optimal expected life cycle length for component 2 for all cost functions. For cost functions of type 1 and 2 the increase is on the expected time spent in state 2,
, while the increase is on the expected repair time,
, for cost functions of type 3.
Since component 1 is critical to the functioning of the system we see from Figure 12 an increase in
for cost functions of type 3 as
increases. Component 2 is in parallel with component 3. It is therefore possible to extend the expected repair time of this component when
increases, while at the same time the expected repair times of component 3,
, are kept low. This is seen in Figure 13 for cost functions of type 3.
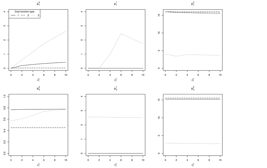
5.1.3. Effect of an Increasing ![]()
As the cost function parameter
for component 1 increases, the minimum expected net loss also increases for cost functions of type 1 and 3. The minimum expected net loss remains unchanged when cost functions of type 2 are used. See Figure 14 and Figure 15. An increase in
has largest impact on the minimum expected net loss when the cost functions are of type 3, that is when we have exponential cost
functions. In state
there was no increase in the minimum expected net loss with increasing
, as seen in Figure 16. Figures 17-19 show the development in the optimal
,
as
increases.
The effect of an increasing
is evident in the increasing optimal
for cost functions of type 3. This is seen in Figure 17, where there is also a slight increase in
for cost functions of type 1. The behaviour of
and
differs for the three cost function types as the cost function parameter
increases. In state
,
is close to 0 for both cost functions of type 1 and 2, while positive for
for cost functions of type 3. For
the optimal
is high and (close to) constant for cost functions of type (1) 2. For cost functions of type 3 the optimal
is lower.
An increasing
has no effect on the optimal
. This is seen in Figure 18.
As
increases, we see from Figure 19 that the optimal expected time spent in state 2 for component 1,
, is decreasing for both cost functions of type 1 and 3. As the costs of keeping
at a fixed level is
increasing, it becomes less desiring to maintain this level, and we see a decrease. The decrease is faster in
for cost functions of type 3. For this cost function we see an increase in
with increasing
that is in contrast to the results for cost functions of type 1 and 2 which are independent of the increase in
and equal to 0.
5.1.4. Effect of an Increasing ![]()
An increasing
has little effect on the minimal expected net loss. This is seen in Figures 20-22 where the minimal expected net loss with cost functions of type 2 seems to be constant and the result for cost functions of type 1 and 3 is increasing slightly for small
before it seems to be constant.
Figures 23-25 show the optimal expected times spent in each state for each component as the cost function parameter,
, increases. The optimal expected times spent in each state for component 1,
remain unchanged for all types of cost functions.
For every cost function type we see from Figure 23, for component 2, an increase in
and a decrease in
as
increases. For component 3 we have the opposite behaviour. As the costs of keeping the expected
repair times of component 2 low increases, it is optimal to spend more expected time repairing this component. At the same time, it will be more important to keep the expected repair times of component 3 low.
We see from Figure 24 that the optimal
is slightly decreasing with increasing
for both cost functions of type 1 and 3.
is also slightly decreasing for these two cost functions, but the optimal
is increasing for these cost functions. For cost functions of type 1 we see from Figure 24 that the optimal
is
high (approximately 15) for
, while
is below 5 for all values of
for cost functions of type 3. For component 3 we see that the results for cost functions of type 1 and 2 are lower than the corresponding results for cost functions of type 3 in state
and above in state
.
The optimal
,
and
for increasing
are shown in Figure 25. We see that the results for cost functions of type 2 are constant. Furthermore, for cost functions of type 1 and 3, component 2
has increasing
and decreasing
with increasing
, whereas, component 3 has decreasing
and increasing
. This is the same behaviour as observed for increasing
for these cost functions.
6. Concluding Remarks
In the present paper we have been minimizing the expected total net loss over a time period
as a function of the expected component times in each state for a three-component flow network system. First the basic model was presented. The assumption of equality between the set of system states and the set of component states implied that an appropriate flow network system would have at least one component in series with the rest of the system. Hence, the three-component system given in Figure 1 was chosen as a case. With three possible system and component states and three components, the original box-constrained optimization problem had 9 variables. Due to the complexity of this problem, we first studied the simplified problem, where
and
for
and
, and then a modification of the original problem where the
optimization was done in two steps (see Section 5). This method found an approximate solution. The indication of lack of constructive conclusions is mainly due to that we are facing complex dependencies.
The variables
and
for
in the simplified problem, and the variables
and
for
and
in the modified full problem, were varied one at a time with three different types of cost functions.
For the simplified problem we were able to find expressions for the optimal
for cost functions of type 1. For cost functions of type 1 and 3, the objective function, (8), turned out to be a convex function. With cost functions of type 2 the objective function is neither convex nor concave. The type 2 cost functions are logarithmic, and hence concave while the other two types are convex. For this cost function, we saw in Figure 7 that the optimal
has a minimum as
increased, which seems unnatural.
In both the simplified problem and the modified full model, the minimum expected net loss was increasing with increasing
for every cost function type (as seen in Figure 4, Figure 10 and Figure 11 respectively).
As the operational time T increased we saw a decrease in the minimum expected net loss in the modified full model for all three cost functions (as seen in Figure 8). This is in contrast to the results with the simplified model when the exponential cost functions were used. Then, the minimum expected net loss increased at first, before it started to decrease (as seen in Figure 3).
For every cost function parameter,
, we varied, we saw in Figures 17-19 that the optimal
was constant for cost functions of type 2. The same observation of constant
for cost functions of type 2 was done in Figures 23-25 where
were varied. The values were also close to
zero. Hence, it was, for cost functions of type 2, optimal to spend as little time as possible in state 1 independent
of the values of the parameters. With cost functions of type 1 we observed the same, except from when
was increasing where
decreased from around 15 to close to 0 as
increased from 0 to 2. For
![]()
stayed constant and close to 0. Thus, it seems like the functioning component state 1 is in a way redundant for cost functions of type 1 and 2. This was not the case with cost functions of type 3.
The general objective function (5) can quite easily be modified to represent the expected net loss of other network flow systems, and to include other types of cost functions. However, with larger systems, with more components and possibly more component states, the optimization problem quickly becomes large. Hence, the real challenge lies in the optimization of real life systems.
Acknowledgements
The authors thank Professor Geir Dahl for the idea on how to modify the full optimization problem and Ph.D Olav Skutlaberg for valuable feedback throughout the process.