Analytical Ultracentrifuge-Assisted Formation of Chitosan/Carboxymethylcellulose Interpolymer Membranes

Abstract

An interpolymer membrane based on Chitosan and sodium carboxymethylcellulose was formed using the synthetic boundary method in an analytical ultracentrifuge. Membrane formation was monitored by the optical system, enabling quantitative evaluation of thickness, symmetry, and homogeneity. The effects of polymer concentration, pH, and molecular weight on membrane formation kinetics were investigated.

Share and Cite:

Kodirkhonov, M. (2026) Analytical Ultracentrifuge-Assisted Formation of Chitosan/Carboxymethylcellulose Interpolymer Membranes. Advances in Biological Chemistry, 16, 1-8. doi: 10.4236/abc.2026.161001.

1. Introduction

Recent studies on polyelectrolyte interpolymer complexes demonstrate rapid progress in this field, driven by the expanding range of complex-forming components, including polysaccharides and proteins, as well as growing interest in their applications in medicine, technology, and agriculture [1]-[5]. The most common approach to polyelectrolyte complex (PEC) formation involves mixing aqueous solutions of oppositely charged polymers [6]. However, obtaining molecularly organized PECs requires advanced methods that enable control over key factors governing complete complexation.

The synthetic boundary technique, first applied by Wandray [7] using an analytical ultracentrifuge. Regarding other methods of obtaining polymer films and their analysis the synthetic boundary method allows real-time monitoring of membrane formation kinetics and quantitative characterization of membrane properties. This method has been successfully employed for several polysaccharide systems, including sodium alginate, poly (L-lysine) hydrobromide, and Chitosan. Among such systems, the Na-carboxymethylcellulose—Chitosan pair has attracted considerable attention as a biodegradable polyelectrolyte complex with promising applications in agriculture and medicine [8].

2. Materials and Methods

Chitosan samples with degrees of deacetylation (DD) of 85% (Chitosan-1, viscosity 400 mPa·s) and 82% (Chitosan-2, viscosity 200 mPa·s) were obtained and purified as described in [9]. Sodium carboxymethylcellulose (Na-CMC) was supplied by CARBONAM LTD CO (Uzbekistan). Its purification procedure, degree of substitution, and molecular weight were determined according to [10].

Chitosans were labeled with the hydrophobic chromophore 9-anthraldehyde (Aldrich, F22502-1G). Labeling efficiency was monitored by UV spectroscopy and analytical ultracentrifugation following procedures described in [11] [12]. Each Chitosan sample was labeled at two substitution degrees (0.5% and 1%), and the incorporated label was quantified using absorption maxima at 240 and 340 nm [11]. The sensitivity of the UV optical system of the analytical ultracentrifuge to solution concentration, absorption wavelength, and rotor speed was established previously.

The Na-CMC-Chitosan polyelectrolyte pair was selected due to the presence of well-dissociated anionic and cationic groups, respectively, and their significance as biodegradable biopolymers with promising applications. For the first time, Chitosan derived from Bombyx mori mulberry silk and Na-CMC obtained from cotton cellulose were used in the synthetic boundary method. Since interactions in this system are well documented and membranes have been previously obtained by conventional solution mixing [8], the synthetic boundary approach enables direct comparison and provides additional kinetic and structural information during membrane formation.

All experiments were performed using an Optima XL-A/XL-I analytical ultracentrifuge (Beckman, Palo Alto, CA, USA) equipped with UV-visible and Rayleigh interference optical systems for real-time monitoring.

The synthetic boundary method was applied using a double-sector cell. Prior to centrifugation, the higher-density Chitosan solution was placed in the lower sector, while the lower-density Na-CMC solution was placed in the upper sector. Upon rotor acceleration, layering occurred at the capillary interface, leading to membrane formation between the two solutions [13]. The process was monitored online by both optical systems.

Analysis of peak shape, area, width, and symmetry during scanning enabled quantitative determination of membrane formation kinetics and evaluation of structural parameters, including membrane thickness (MT), homogeneity (MH), and symmetry (MS).

3. Results and Discussion

Interpolymer interactions between Chitosan and Na-CMC were investigated using samples with the characteristics summarized in Table 1. Two Chitosan samples differing in molecular weight and degree of deacetylation, as well as Na-CMC, were selected to evaluate the influence of polymer properties on membrane formation.

Table 1. Some characteristics of the used samples of Chitosan and Na-CMC.

Samples

Lost mass during freeze drying, (%)

Degree of deacetylation (%)

Degree of substitution

Molecular weight (g/mol)

Chitosan-1

9.90

85

-

100,000

Chitosan-2

-

82

-

50,000

Na-CMC

7.20

-

0.68

120,000

Membrane formation was monitored using the UV optical system of the analytical ultracentrifuge. For examples, representative UV scan profiles obtained under some experimental conditions are shown in Figure 1 and Figure 2.

Figure 1. AUC absorbance scans at 240 nm for chitosan layered with Na-CMC. Experiment (b) in Table 2. 3000 rpm, 25˚C, 100 scans, scan delay 5 min for the 24 first scans.

The effects of polymer molecular weight, solution concentration, and pH on the interaction process were systematically studied by varying these parameters, as summarized in Table 2.

Figure 2. AUC absorbance scans at 240 nm for Chitosan layered with Na-CMC. Experiment (e) in Table 2. 3000 rpm, 25˚C, 100 scans, scan delay 2 min for the 25 first scans.

Table 2. Composition of the interacting polymers solutions of each experiment selected for the discussion.

Experiment

Sample, molecular weight (g/mol)

Concentration (%)

Sample, molecular weight (g/mol)

Concentration (%)

pH

a

Chitosan-1

2.0

Na-CMC

1.0

4.5

b

Chitosan-1

2.5

Na-CMC

1.0

4.5

c

Chitosan-1

3.0

Na-CMC

1.0

4.5

d

Chitosan-2

2.0

Na-CMC

1.0

4.5

e

Chitosan-2

2.5

Na-CMC

1.0

4.5

f

Chitosan-2

3.0

Na-CMC

1.0

4.5

g

Chitosan-1

2.5

Na-CMC

1.0

3.6

h

Chitosan-1

2.5

Na-CMC

1.0

5.5

Analysis of scan width evolution over time allowed assessment of membrane formation kinetics, while scan shape analysis provided quantitative evaluation of membrane thickness, homogeneity and symmetry following the approach described in [13]. The appearance of a distinct peak under all investigated conditions confirms the formation of an interpolymer membrane due to electrostatic interactions between Сhitosan and Na-CMC.

However, variations in peak geometry indicate that membrane structure strongly depends on experimental parameters. Differences in symmetry, compactness, and peak intensity reflect changes in polymer diffusion behavior and complexation efficiency. Under conditions of pH 4.5, chitosan concentration 2.0% (M = 100,000 g/mol), and Na-CMC concentration 1.0% (M = 120,000 g/mol), Na-CMC diffuses more rapidly and forms a more compact structure, while Chitosan exhibits slower mobility.

The presence of asymmetric Chitosan signals suggests incomplete incorporation of Chitosan into the membrane, leading to structural asymmetry and reduced membrane compactness. This conclusion is supported by the lower absorption intensity of the corresponding peaks. Overall, the results demonstrate that molecular weight, concentration ratio, and pH play a decisive role in determining the kinetics and structural characteristics of Chitosan-Na-CMC interpolymer membranes.

When the pH was adjusted to 3.6 and 5.5, interaction between the polymer components was detected; however, no well-defined membrane was formed. This behavior can be attributed to increased solubility of the components under these conditions, leading to unfavorable macromolecular conformations that hinder effective complexation.

Quantitative analysis of the UV scan images was performed to evaluate membrane formation kinetics and structural characteristics of the resulting membranes. The corresponding kinetic parameters and structural metrics are summarized in Table 3.

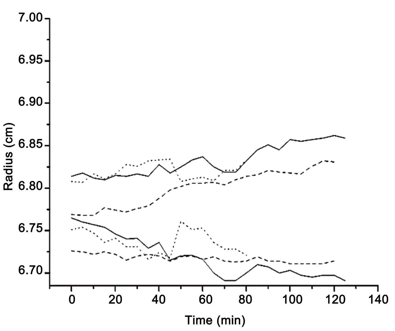
Figure 3 illustrates the kinetics of membrane growth as a function of the concentration of the interacting components and reflects the rate of membrane formation. An increase in Chitosan concentration leads to a corresponding increase in membrane growth rate and final thickness. The most pronounced acceleration of membrane formation is observed at a Na-CMC/Chitosan concentration ratio of 1%/2.5%, compared with other compositions. At lower Chitosan concentrations, less dense initial networks are likely formed, facilitating diffusion and subsequent incorporation of additional Chitosan macromolecules into the growing membrane. Membrane thickness increases continuously, reaching an apparent plateau after approximately 60 minutes at a Chitosan concentration of 2.0%.

The steep initial slope of the growth curves at Chitosan concentrations of 2.0 and 2.5% within the first 20 - 30 minutes indicates spontaneous membrane formation, which can be attributed to rapid chain contact and diffusion of both Chitosan and Na-CMC at the early stage of the process.

To evaluate the efficiency of the synthetic boundary method, membranes obtained by this approach were compared with those formed by conventional solution layering using optical microscopy. Membranes produced by the synthetic boundary method exhibited noticeably higher surface homogeneity than those obtained by the conventional method.

Figure 3. Membrane growth as a function of time at various concentration of Chitosan: 2.0% (solid line), 2.5% (dashed line), 3.0% (dotted line).

Table 3. Parameters of the formed membrane between Chitosan and Na-CMC in AUC: membrane thickness (MT), membrane homogeneity (MH), membrane symmetry (MS).

Concentration of

Chitosan, %

pH

MT, μm

MH

MS

Chitosan-1/Na-CMC

2.0

4.5

470

0.66

0.64

2.5

4.5

565

0.87

0.80

3.0

4.5

655

0.73

0.60

Chitosan-2/Na-CMC

2.0

4.5

525

0.67

0.55

2.5

4.5

630

0.70

0.35

3.0

4.5

650

0.76

0.74

Quantitative analysis shows (Table 3) that the highest membrane homogeneity, symmetry, and thickness were achieved using Chitosan with a molecular weight of 100,000 g/mol at a concentration of 2.5%, combined with 1.0% Na-CMC at pH 4.5.

4. Conclusion

The results clearly demonstrate that polymer concentration, pH, and molecular weight critically influence the formation of Chitosan-Na-CMC polyelectrolyte complex membranes at a well-defined planar interface generated in an analytical ultracentrifuge. The synthetic boundary method provides valuable kinetic and structural information on membrane formation, including thickness, homogeneity, and symmetry. This approach represents an effective tool for comparative analysis of membrane formation in different polyelectrolyte systems and enables the establishment of quantitative relationships between polymer properties, experimental conditions, and membrane characteristics, supporting the rational design of membranes for specific applications.

Conflicts of Interest

The author declares no conflicts of interest regarding the publication of this paper.

References

[1] Alvarado, N., Abarca, R.L. and Linares-Flores, C. (2023) Use of Chitosan-Based Polyelectrolyte Complexes for Its Potential Application in Active Food Packaging: A Review of Recent Literature. International Journal of Molecular Sciences, 24, Article No. 11535.[CrossRef] [PubMed]
[2] Vilsinski, B.H., de Oliveira, A.C., Souza, P.R. and Martins, A.F. (2024) Polysaccharide-Based Polyelectrolyte Multilayers Fabricated via Layer-by-Layer Approach: From Preparation to Applications. Progress in Organic Coatings, 196, Article ID: 108720.[CrossRef
[3] Dragan, E.S., Dinu, M.V. and Ghiorghita, C.A. (2022) Chitosan-Based Polyelectrolyte Complex Cryogels with Elasticity, Toughness and Delivery of Curcumin Engineered by Polyions Pair and Cryostructuration Steps. Gels, 8, Article No. 240.[CrossRef] [PubMed]
[4] Lee, P., Lin, X., Khan, F., Bennett, A.E. and Winter, J.O. (2022) Translating Controlled Release Systems from Biomedicine to Agriculture. Frontiers in Biomaterials Science, 1, Article ID: 1011877.[CrossRef
[5] Li, J., Li, L., Brink, H.A., Allegri, G. and Lindhoud, S. (2025) Polyelectrolyte Complex-Based Materials for Separations: Progress, Challenges and Opportunities. Materials Horizons, 12, 4998-5030.[CrossRef] [PubMed]
[6] Zintchenko, A., Rother, G. and Dautzenberg, H. (2003) Transition Highly Aggregated Complexessoluble Complexes via Polyelectrolyte Exchange Reactions: Kinetics, Structural Changes, and Mechanism. Langmuir, 19, 2507-2513.[CrossRef
[7] Wandrey, C. and Bartkowiak, A. (2001) Membrane Formation at Interfaces Examined by Analytical Ultracentrifugation Techniques. Colloids and Surfaces A: Physicochemical and Engineering Aspects, 180, 141-153.[CrossRef
[8] Rashidova, S.S. and Milusheva, R.Y. (2009) Chitin and Chitosan of Bombyx mori. Synthesis, Properties and Application. Izd-vo “Fan”.
[9] (2011) Specifications for Chitosan Bombyx mori. Uzbekistan ТU 88.2-13:2011.
[10] (2011) Specifications for Na-Carboxymethylcellulose. Uzbekistan TU No.39.3-275:2011.
[11] Kodirkhonov, M.R. (2019) Obtaining the Fluorescent Chitosan for Investigations in the Analytical Ultracentrifuge. Advances in Biological Chemistry, 9, 23-30.[CrossRef
[12] Cölfen, H., Harding, S.E. and Vårum, K. (1996) Investigation, Using Analytical Ultracentrifugation, of the Effect of the Incorporation of the Fluorophore 9-Anthraldehyde on Two Chitosans of Differing Degrees of Acetylation. Carbohydrate Polymers, 30, 55-60.[CrossRef
[13] Bourdillon, L. and Wandrey, C. (2004) Online Study of Polyelectrolyte Network Formation by Interfacial Reaction. Colloid and Polymer Science, 282, 1247-1257.[CrossRef

Copyright © 2026 by authors and Scientific Research Publishing Inc.

Creative Commons License

This work and the related PDF file are licensed under a Creative Commons Attribution 4.0 International License.