Spectral Analysis of the Derivation of Green’s Function of Helmholtz Integral Equation via Dirac-Delta Function and Cauchy Residual Approach ()

1. Introduction
In the present world, an integral equation is observed to be a well-built branch of science and technology providing outcomes which advantageously employed by experts working in various fields such as wave acoustics, electromagnetics, plasma physics, and fluid dynamics and so on. One of the most important integral equations of special status is Helmholtz integral equation which displays such kind of wave phenomena of the fundamental particle with Somerfield radiation condition. Besides, scattering of buildings always governs contrary intention in the domain of noise fences.
The Green’s function solution is one of the most significant analytical tools for solving partial differential equations in the field of electromagnetism, wave mechanics, optics, quantum mechanics, fluid dynamics, relativistic particle dynamics, general relativity and so on [1] [2] . In order to exclude the integration over an infinite plane, one can use the formulations [3] [4] [5] utilizing the half-space Green’s function. In physical or mathematical, acoustics can be utilized for the study of solutions of the wave equation [6] . The wave phenomenon has been protracted to include even more particles and quasi-particles such as photons denoted by optical waves [7] [8] . On the other hand, phonons have represented by acoustic or elastic waves [9] . The acoustic or elastic wave phenomena of wave equation are the science of sound that deals with the generation of sound, propagation, and collaboration with the matter. Sources of quantum particles are known to be an indispensable element in all scattering experiments.
In previous, researchers have utilized different schemes to clarify the wave propagation of an acoustic wave. A phase-shift method is an accurate scheme for laterally invariant velocity structure but breaks down for arbitrary velocity variation, due to approximations made to the solutions of the wave equation [10] . In underwater acoustics, propagation, radiation, and scattering of sound are usually modeled by obtaining analytical and/or numerical solutions of a wave equation for the acoustic pressure, complemented by appropriate initial and boundary conditions [11] .
When the source moves even closer to the observer, then analysis of a wave field produce a non-asymptotic form of Green’s function that help us to elucidate near field analysis. It is vital to attain a correct causal form for the 3D transform, as otherwise the outline of forward and backward propagating waves does not follow logically [12] [13] [14] . This ability to treat modeling of Green’s function solution is achieved by making use of some early ideas on the non-iterative solution of the Lippmann-Schrödinger equation in quantum scattering [15] [16] as well as some very simple standard ideas from differential equations [17] . However, many studies have been already carried out on wave propagation throughout the world. In this work, we have considered the classical time-independent Schrödinger equation of finding the Green’s function solution for Helmholtz integral equation subject to Sommerfeld radiation conditions.
2. Green’s Function for Helmholtz Integral Wave Equation
Helmholtz boundary value problems can be put into one of three types: direct, eigenvalue or inverse. Among these methods, inverse is appropriate for analytical series methods that are established for a direct problem, with Dirichlet boundary conditions [18] . Helmholtz equation can be explained in many methods, but in our study, we introduce complex valued Green’s Function to solve non-homogeneous acoustic Helmholtz integral equation. Moreover, the general way to solve non-homogeneous acoustic Helmholtz integral equation for wave propagation is to form a Green’s function [19] . We used the one-dimensional (1D) Schrödinger classical wave equation as the following form
(1)
Using separation of variables
(where
is the Schrödinger wave function), the suitable wave equation solutions for
such as
, take the following form
(2)
The above equation signifies an ordinary differential equation describing the spatial amplitude of the matter wave as a function of position. The entire energy of a particle is the sum of kinetic and potential energy and mathematically
(3)
But we know that
and
. Using these values in Equation (2), we get
or,
(4)
where,
With Green’s function
, we can write
or,
(5)
This is Helmholtz integral equation. Where,
means Dirac delta function and
.
The Fourier integral transform is defined as
(6)
By utilizing Fourier integral formula (6), the solution of the above Equation (5) is
(7)
Assume that
Sommerfeld radiation condition (8)
The Fourier Transform of
is defined by
(Integral by Parts)
Now the Fourier Transform of
is
(9a)
In this similar way we can write
(9b)
(9c)
Plugging Fourier transform on both sides of equation (5), we can write
Therefore,
(10)
The above equation satisfies the spherical symmetric potential and even function criteria respectively (Details in appendix A and B).
Now, the Equation (7) can be written as
;
where,
Therefore
(11)
(Details in appendix C) Equation (11) is the desired Green’s function solution for Helmholtz integral equation.
3. Results & Discussion
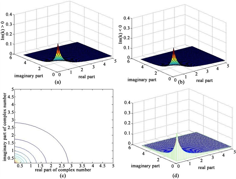
Our derived Green’s function solution for acoustic Helmholtz integral wave equation that yield good outcomes at adequately high wave numbers. This wave number k is often taking some real or complex constant, and Green’s function gets more accuracy for increasing the wave number, as depicted in Figures 1(a)-(d). The wave number can be measured complex if the medium of propagation is energy absorbing or a function of space. We have seen that, at very low wave numbers, it behaves very much like the Laplace equation and solutions at large wave number are highly oscillatory. This causes a great increase in complexity of analytical and numerical method. We also imposed Sommerfeld radiation condition or scattered condition for the solution of Helmholtz equation where confirms that the scattered wave is outgoing i.e. propagates away from the obstacle, as shown in the Figure 2(a) & Figure 2(b). Figure 3(a) & Figure 3(b)
![]()
Figure 1. Graphical Green’s function (a) 3D Plot of Green’s function for
,
; (b) 3D Plot of Green’s function for
,
; (c) Contour two dimensional; (d) curtain mesh plot of Green’s function when wave number
.
![]()
Figure 2. Scattering region of Helmholtz integral wave equation for wave number k = 50 and k = 500 respectively.
shows, the Helmholtz integral wave equation is an equation of the elliptic type, for which it is usual to consider boundary value problems. The wave front emitted from the source can no longer be regarded as a sphere. If the light emitted from a source exhibits sharp directivity then the wave front near the source point will act like a superimposed form of a plane wave and a spherical wave, but, it is clear that we need more and more time period at very high wave number to get accurate result for the solution of Helmholtz equation, as shown in Figure 4. Overall, Green’s function of Helmholtz integral equation for wave propagation are the solution of monochromatic mechanical and longitudinal plane waves (sink) when combined with
and diverging wave (source) when combined with
respectively.
![]()
Figure 3. (a) Green’s function solution for Helmholtz integral equation when k = 10 and number of iteration n = 1000 and (b) when k = 25 and number of iteration n = 1000.
![]()
Figure 4. Green’s function solution for Helmholtz integral equation when k =200 and number of iteration n = 1000.
4. Conclusion
We have applied here an arguably more direct and general scheme to determine the generalized form of Green’s functions. A potential advantage of this approach is the fact that it may allow one to find a general form for Green’s functions of a given partial differential equation with a high quantum wave number k. The imposition of suitable Sommerfeld radiation condition allows us to find Green’s function solution that helps to represent wave propagation of Helmholtz integral equation. Our observation of this study allows us that monochromatic longitudinal plane wave is an idealization and represents a complex valued physical situation. The skills for proving the required facts about the involved generalized functions are likely to be beneficial or solution of many similar problems of acoustic, electrodynamics and mathematical physics.
Acknowledgements
This work is partially funded by Research and Development R & D Project with Grand No. 39.00.0000.012.20.011.22.56 (GO’s serial No. 15, Registration No. 23).
Appendix
A. Spherically Symmetric Potential Test
The Fourier transform of a function is spherically symmetric if and only if the function is spherically symmetric itself. This is one of the notorious properties of the Fourier transform.
Let k be defined as
. Also, let us consider
(1)
In order to attain a solution of acoustic Helmholtz integral equation subject to the Sommerfeld radiation condition, we need a spherically symmetric ansatz.
In spherical coordinate system, we have
(2)
Squaring and adding each of expressions in Equation (2), we get
Because of
and
,
and
.
Now, the determinant of the Jacobian matrix of
with respect to
is defined as
(3)
Now, from Equation (21) we can write
(4)
Using Equations (3) in (4) and the range of spherical coordinates
are as follows
,
,
. We get
Therefore,
Since V does not depends on
and
but it is a function of R only. Hence, we can summarize that V is spherically symmetric. We can write
(5)
[since
]
To solve
let us consider
, then
and the limit of z takes the following form.
When,
then
and
when,
then
Therefore,
(6)
Using this in Equation (25), we can write
(7)
or,
(7a)
where,
.
B. Even Function Test
The function
of the above can be considered as a correct form if
satisfy even function property. i.e.
.
Now, let us consider,
(8)
If we replace
by
, then we can write
Since
. So, we can say that
is an even function.
C. Contour Integration (Jordan Lemma)
We have,
Therefore,
(9)
From the above equation,
. Therefore,
. So, here we observe two pole points for which
are not analytic. To remove this, we need contour integration.
According to Cauchy’s residue theorem, we know
(10)
In equation (29), there has two parts. One is
and another part of the form
.
Case I: First, Consider
Now,
(11)
In the above,
is the semi-circular arc of radius R. The poles have obtained by using the equation. The integrand has simple poles
. If
, then we can only see the location of the pole
. Because
only lies inside the contour C. On the other hand,
lies outside the contour C. As a result, we cannot see the location of the pole
.
Now, according to Cauchy residue theorem, we have
Taking
and using the property of contour integral
.
i.e.
Therefore,
(12)
Second, Consider
(13)
In the above integral, a negative sign can be measured because with a positive parameter
, then Jordan’s lemma states the following upper bound for the contour integral: where equal sign is when
vanishes everywhere. An analogous proclamation for a semicircular contour in the lower half-plane holds when
.
Now,
(14)
where
is the semi-circular arc of radius R. In the similar process of the above, the integrand has simple poles at
. Here,
only lies inside the contour C. On the other hand,
lies outside the contour C. As a result, we cannot see the location of the pole
.
According to Cauchy residue theorem, we know
In the similar process of the above, we can write
(15)
We have
Using this value in Equation (9), we get
Therefore,
(16)
Case II:
First, Consider
If
, then we get only the location of the pole
. In case of upper half-plane,
only lies inside the contour C. On the other hand,
lies outside the contour C. As a result, we cannot see the location of the pole
.
Now, according to Cauchy residue theorem, we have
Therefore, we get
(17)
In this alike process, according to Cauchy residue theorem, we know
Therefore, we have
(18)
Now
Using this value, we have
Therefore,
(19)
So, we can write from Equations (36) and (39)
(20)