Evaluation of the TbgI2 and TbgI17 Tandem Repeat Antigens as Potential Antigens for the Diagnosis of Trypanosoma brucei rhodesiense
Vanessa Irumva1, Rebecca Waihenya2, Anne Wanjiru Mwangi3,4*, Peter Kipkemboi3, Satoshi Kaneko3,5, Tonny Teya3, Joanne Jepkemei3, Caroline Njoroge3, Joseph Wambugu Gitari3, Matthew Mutinda Munyao3, Robinson M. Irekwa3, Mûrîma Ng’ang’a6, Samson Muuo Nzou3,7
1Department of Molecular Biology and Biotechnology, Pan-African University Institute of Basic Sciences, Technology and Innovation, Nairobi, Kenya.
2Zoology Department, Jomo Kenyatta University for Agriculture and Technology, Nairobi, Kenya.
3Nagasaki University Institute of Tropical Medicine-Kenya Medical Research Institute Project, Nairobi, Kenya.
4Production Department-Kenya Medical Research Institute, Nairobi, Kenya.
5Institute of Tropical Medicine, Eco-Epidemiology Department, Nagasaki University, Nagasaki, Japan.
6Division of Vector Borne and Neglected Tropical Diseases. Ministry of Health, Nairobi, Kenya.
7Centre for Microbiology Research, Kenya Medical Research Institute, Busia, Kenya.
DOI: 10.4236/ojcd.2019.94011   PDF    HTML   XML   732 Downloads   1,708 Views   Citations

Abstract

Human African trypanosomiasis (HAT) affects up to half a million people every year in sub-Saharan Africa. Interruption of transmission of the disease by early diagnosis and treatment is core to the control and eventual elimination of HAT. The routine diagnostic method for HAT is light microscopy of blood samples. The present study sought to evaluate the potential of TbgI2 and TbgI17 tandem repeat antigens as candidates for the diagnosis of Trypanosoma brucei rhodesiense. The expressed proteins were purified and the antigenic reactivity evaluation was done using multiplex assay using sera obtained from HAT patients. Receiver operating characteristic analysis showed that recombinant antigen, TbgI2 had high sensitivity for sera from patients infected with T. b. rhodesiense with the area under the curve being 0.577 and a sensitivity of 0.641 and specificity 0.650. The results suggest that TbgI2 is a potential biomarker for T. b. rhodesiense HAT serodiagnostic tests.

Share and Cite:

Irumva, V. , Waihenya, R. , Mwangi, A. , Kipkemboi, P. , Kaneko, S. , Teya, T. , Jepkemei, J. , Njoroge, C. , Gitari, J. , Munyao, M. , Irekwa, R. , Ng’ang’a, M. and Nzou, S. (2019) Evaluation of the TbgI2 and TbgI17 Tandem Repeat Antigens as Potential Antigens for the Diagnosis of Trypanosoma brucei rhodesiense. Open Journal of Clinical Diagnostics, 9, 152-163. doi: 10.4236/ojcd.2019.94011.

1. Introduction

Human African trypanosomiasis (HAT) is a vector born disease caused by flagellated protozoa of the genus Trypanosoma which is transmitted to humans through the bite of a tsetse fly [1] [2]. The disease exists in two forms: a chronic form of HAT caused by Trypanosoma brucei gambiense (Tbg), predominantly found in the Central and West Africa and the acute form of HAT caused by Trypanosoma brucei rhodesiense (Tbr) which is present in East and Southern Africa. The reservoir host for Tbg is the human while Tbr is a zoonosis [3]. The symptoms are exhibited in two stages: the early haemolymphatic stage where the trypanosomes are in blood, lymph and other tissues which is characterized by non-specific features such as chancre, fever, headache, lymphadenopathy and the late encephalitic stage where the trypanosomes cross the blood brain barrier and invade the central nervous system (CNS) causing neuropsychiatric disorders and sleep disorders which leads ultimately to death if untreated [4] [5] [6] [7].

Sustained prevention and control efforts for HAT lead to a significant decrease in the population affected in sub-Saharan Africa (SSA) from 70 million in 1995 to 3000 cases by 2015. Nevertheless, the disease remains a health burden in SSA, especially in central Africa. The World Health Organization (WHO) has targeted the elimination of sleeping sickness as a public health problem by the year 2020 and the interruption of transmission to humans by the year 2030. For this to be achieved, there is a need for robust diagnostic tools for both Tbg and Tbr [3] [6] [8].

Diagnosis of HAT is not done routinely even in known endemic areas. Parasite detection by microscopy is the first line of diagnosis. Other methods also used include lymph node examination, mini anion exchange centrifugation technique (mAECT), capillary tube centrifugation (CTC), molecular methods such as polymerase chain reaction (PCR), and nucleic acid sequence-based amplification (NASBA). Serological methods such as card agglutination trypanosomiasis test (CATT), rapid diagnostic tests (RDTs), enzyme-linked immunosorbent assay (ELISA) is also used. CATT is widely used for active serological screening of Tbg. The reported sensitivity of the CATT on filter paper ranges from 91% to 92.7% while specificity varies from 93.7% to 100% [9] [10] [11] [12]. Nonetheless, CATT has challenges of under diagnosis since it relies on the variable surface glycoproteins (VSG) LiTat 1.3 which are often switched off by the parasite to evade the host immune system by the antigenic variation process [2] [13] [14]. Furthermore, it presents a high incidence of false positives, which makes it particularly problematic in regions where the prevalence is low. There is still no equivalent test to the CATT widely available for the screening of Tbr HAT; hence, the screening for Tbr infection relies on clinical features due to a lack of serological tests. This can lead to the underestimation of its burden due to similarity of symptoms with other infections [8] [15]. Thus, there is a need for robust diagnostic markers, which can capture low transmission accurately and effectively. It is known that Trypanosoma brucei subspecies possess genes encoding proteins with large tandem repeat (TR) domains as do other trypanosomatid and that they are potent B cell antigens. Two of these antigens I2 and I17 have been characterized at the molecular level and have been shown to allow a sensitive and specific detection of infections with different species of trypanosomatids, and then could be diagnostically useful [16] [17]. Therefore, in this study, we evaluated the specificity and sensitivity of two invariable TR intracellular antigens, which were recombinantly produced, namely TbgI2 and TbgI17 against Rhodesiense, and Gambiense HAT sera with a focus on Tbr infections on a bead-based platform.

2. Materials and Methods

2.1. Antigens Expression and Purification

The antigens in pET52b expression vector were transformed in ECOS-BL21 (DE3) (Code#312-06534, Invitrogen, Carlsbad, USA) competent cells and grown in 10 ml LB-carbenicillin overnight at 37˚C shaking at 230 rpm. After overnight growth, they were transferred in 500 ml of LB containing 100 ug/mL and left for shaking at 37˚C at 230 rpm in the incubator shaker (INNOVA 42) for two hours. Expression was induced by 100 mM (Isopropyl β-D-1-thiogalactopyranoside) (Lot#CTJ1296, Thermoscientific, Inc.) for one hour. The culture was then centrifuged at 3000 × g for 20 min at 20˚C.

After centrifugation, the pellet was suspended in 10 mL Bugbuster (Cat #70921-50ML, Novagen, USA) containing 1 ul Benzonase and 1 uL rlysozyme (catalog number#7110-1200KU, Novagen, USA). TbgI2 and TbgI17 expressed proteins were purified by Immobilized Metal Affinity Chromatography (IMAC) which was performed by TALON-Accept resin (Code#635503, Takara Bio, Inc, Japan). The expressed and purified proteins were separated on a 10% gel in one-dimensional sodium dodecyl sulfate polyacrylamide gel electrophoresis (SDS-PAGE) followed by Western blotting and Coomassie Brilliant Blue (CBB) staining. For Western blotting, the proteins were trans-blotted onto a polyvinylidene difluoride (PVDF) membrane in a Bio-Rad Trans Blot system. For detection, the antigens were incubated with anti-His Tag HRP-Direct (MBL, D291-7) diluted 1:10,000 for 30 min at room temperature.

The PVDF membrane was washed five times, 10 min each in 100 ml at room temperature. The blot was then incubated in chemiluminescence (ECL) (Lot#9659209, GE Healthcare UK Limited) for five minutes at room temperature. For CBB, the gel was stained in Coommassie Brilliant Blue (40% Methanol, 10% Acetic Acid, 0.25% (w/v) CBB-R250) for protein purity visualization and gently shaken for two hours, prior to the gel destaining overnight in destaining solution containing 10% Methanol, 7.5% Acetic Acid in water.

The image was captured in LAS500 while the protein concentrations of the purified antigens were determined using the Pierce BCA protein assay kit (Thermo Scientific, USA).

2.2. Proteins Coupling

Prior to antigen coupling, dialysis of each antigen was performed in Phosphate Buffered Saline PBS (−). Coupling was done using Magplex microspheres (Luminex Corporation, Austin, TX, USA). The beads were processed in activation buffer (0.1 M NaH2PO4, pH 6.2) then in EDC (1-ethyl-3-[3-dimethylaminopropyl] carbodiimide hydrochloride and in Sulfo-NHS ((N-hydroxysulfosuccinimide) (Lot #OI190847, Thermoscientific, Rockford, USA) in order to activate the carboxyl -modified microspheres.

Protein coupling was performed as follows: 50 mM MES 2-(N-morpholino) ethanesulfonic acid, pH 5.0), was used as the coupling buffer. The beads were washed two times using PBS-TBN (0.1% bovine serum albumin, 0.05% Tween 20, 0.05% sodium azide in PBS (−), pH 7.5) while bringing the beads concentration at 1000 beads/uL. To count the beads, a light microscope (Olympus) was used at ×10 objective lens.

2.3. Coupling Confirmation

To determine the coupling effectiveness, a coupling efficiency assay was performed. Briefly, 100 µL of beads were dispensed in each well followed by 100 µL of the first antibody [anti-His-tag mouse monoclonal antibody (Code#D291-7, MBL International Corporation)] diluted 1:1000 in staining buffer was added. The plate was sealed and covered by aluminium foil to prevent direct sunlight and shook on a Heidolph Titrama ×100 shaker at 750 rpm for 30 min for binding and washed by program BIOPLEX-MAG1. Subsequently, 100 uL of the second antibody [phycoerythrin-conjugated anti-mouse IgG (Code#710-1822, Rockland Inc)] diluted × 250 was added and the second binding reaction performed at 750 rpm for 30 min at room temperature. After washing, the beads were suspended in 125 µL of wash buffer and shook at 750 rpm for 5 min on the shaker. Finally, the assay was carried out with “normal sensitivity mode” on the Bio-Plex 200 system (Bio-Rad).

2.4. Antigens Reactivity Assessment Using Multiplex Assay

For simultaneous detection, two microliters (µL) of HAT sera diluted 1:50 in staining buffer (PBS-TBN: [0.1% Bovine Serum albumin (BSA), 0.05% Tween 20, 0.05% sodium azide in PBS (−)] was added in each well and then the coupled antigens added at 100 µL/well into the 96 well plate; the plate was covered with aluminium foil to prevent direct light and shook at 750 rpm for 30 min at room temperature. The plate was washed 3 times using the BioTek EL × 405 microplate washer. A total of 100 ul of detection antibody [Bethyl Human IgG-Fc Fragment (Goat), Code #A80-248PE, Bethyl Laboratories, Inc., Montgomery, TX, USA] diluted 1:250 in staining buffer was added in each well and the plate shaken at 750 rpm for 30 min in a Heidolph Titrama × 100 shaker. The Bio-Plex 200 system (Luminex Corporation, Austin, TX, USA) was used to measure the beads fluorescence.

2.5. Statistical Analysis

Box Plots were generated to describe samples’ variability in antigens reactivity. To assess the antigens reactivity, sensitivity and specificity, the area under the curve (AUC) was generated using the Receiver Operating Characteristics (ROC) to illustrate the diagnostic ability and the accuracy of the TbgI2 and TbgI17 recombinant antigens. Box plots and ROC were obtained using XLSTAT 2019 (Addinsoft).

2.6. Human Samples

Antigen reactivity was evaluated using 119 human sera provided by the WHO Specimen Biobank. The samples consisted of 20 negative sera and 40 positive sera for Tbg; 20 negative sera and 39 positive sera for Tbr.

2.7. Ethics

Ethical approval was obtained from the Jomo Kenyatta University of Agriculture and Technology, Institutional Ethics Review Committee under REF: JKU/2/4/896B.

3. Results

3.1. Recombinant Antigen Expression and Purification

TbgI2 and TbgI17 antigens were cloned in pET52 vector and expressed in ECOS-BL21 (DE3) (Code#312-06534, Invitrogen, Carlsbad, USA).

The density was measured for TbgI2 and TbgI17 as shown in Table 1.

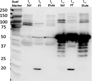
Western Blot was performed and its analysis confirmed that the TbgI2 and TbgI17 recombinant antigens were effectively produced while the Coomassie Brilliant Blue analysis showed that all the two recombinant antigens were of good purity (Figure 1 & Figure 2).

Following protein expression and purification confirmation, protein quantification was performed by Pierce BCA (Bincinchoninic Acid) Protein Assay kit (Thermo scientific) as shown in Table 2.

Table 1. Antigens density measured before and after Isopropyl β-D-1-thiogalactopyranoside (IPTG) induction.

Table 2. Concentration of the TbgI2 and TbgI17 recombinant antigens obtained by Pierce bicinchoninic acid (BCA) Protein Assay kit based on BCA for the colorimetric detection.

Figure 1. Western Blot Analysis in 10% SDS-PAGE of the TbgI2 and TbgI17 recombinant antigens; M: Precision Marker (KDa); 1: TbgI2 before IPTG; 2: TbgI2 after IPTG; 3: TbgI2 soluble; 4: TbgI2 His FT (His Flow Through); 5: TbgI2 His-Elute; 6: TbgI17 before IPTG; 7: TbgI17 after IPTG; 8: TbgI17 soluble; 9: TbgI17 FT, 10: TbgI17 His-Elute.

Figure 2. Gel stained in CBB; M: Precision Marker (KDa); 1: TbgI2 before IPTG; 2: TbgI2 after IPTG; 3: TbgI2 soluble; 4: TbgI2 His FT (His Flow Through); 5: TbgI2 His-Elute; 6: TbgI17 before IPTG; 7: TbgI17 after IPTG; 8: TbgI17 soluble; 9: TbgI17FT, 10: TbgI17 His-Elute.

3.2. Coupling Efficiency

Subsequently, the recombinant proteins were coupled to Magplex magnetic beads. Figure 3 illustrates the average of the different median fluorescence intensity (MFI) values generated during coupling confirmation.

3.3. Antigen Reactivity

For Tbg, the data generated (Figure 4) demonstrated a high MFI in both the negative and the positive sera of the TbgI2 and TbgI17 antigens. For Tbr, TbgI2 exhibited a high reactivity of the antigen with Rhodesiense HAT positive sera and low reactivity with negative while TbgI17 highly reacted with all the sera.

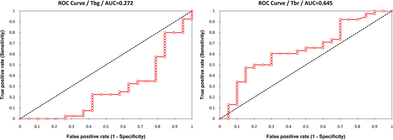
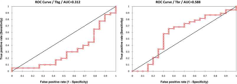
For Tbg, TbgI2 exhibited an AUC of 0.312 while TbgI17 an AUC of 0.272. For Tbr, TbgI2 and TbgI17 exhibited AUCs of 0.588 and 0.645 respectively (Figure 5 and Table 3).

Figure 3. Coupling confirmation of the TbgI2 and TbgI17 recombinant antigens coupled to Magplex beads by anti poly-histidine tag antibody in a multiplex format. The median fluorescence intensity (MFI) values are described on the Y axis while the types of antigens are indicated on the X axis.

Figure 4. Boxplots showing the level of the fluorescence of the coupled TbgI2 and TbgI17 recombinant antigens tested with negative control Gambiense HAT sera (Cg); Positive Gambiense HAT sera (Pg); Negative control Rhodesiense HAT sera (Cr) and positive Rhodesiense HAT sera (Pr). The red crosses represent the means while the central horizontal bars correspond to the medians. The lower and upper limits of the box represent the 1st and 3rd quartiles while the whiskers are the values between the 1st and 3rd quartiles and the minimum and maximum values respectively. The points above or below the whiskers’ upper and lower bounds indicate outliers.

Figure 5. Receiver operating Curves (ROC) graphs obtained with the recombinantly produced TbgI2 and TbgI17 antigens. Data are plotted as cumulative sensitivity (true positive rate) versus specificity (false positive rate). The greater the area under the ROC curve, the greater the accuracy of the test.

Table 3. Sensitivity and specificity of the TbgI2 and TbgI17 recombinant antigens against 20 negative and 40 positive gambiense HAT sera, 20 negative and 39 positive Rhodesiense HAT sera at 95% confidence intervals.

4. Discussion

In this study, we report the evaluation of the potential of invariable cytoskeleton flagellar antigens, TbgI2 and TbgI17, in the diagnosis of Tbr.

Following antigens coupling, the diagnosis capacity of the TbgI2 and TbgI17 antigens was evaluated in a multiplex platform. In this study, the multiplex platform allowed to evaluate the TbgI2 and TbgI17 antigens simultaneously using a small amount of HAT sera (two microlitres) within a short time. These observations are in agreement with previous studies, where several antigens were evaluated against several infectious diseases using the simultaneous bead-based technology and highlighted several advantages of this technology in antigen evaluation such as rapidity, reproducibility, simultaneous detection and less amount of samples aligned with cost-effectiveness [18] [19] [20].

The data generated suggested that Gambiense HAT negative control sera highly reacted with the TbgI2 and TbgI17 TR recombinant antigens, which demonstrate a low specificity of the two antigens against Tbg infections.

For Tbr, some control sera also reacted. This non-specific reaction to Tbr could be explained by several other reasons: 1) a non-specific activation of B lymphocytes leading to nonspecific binding, which has been already reported to occur during trypanosomal infections [21]; 2) cross reactivity or 3) might indicate anterior exposure to non-infective trypanosomes [15] or 4) previous infection with Tbr.

Furthermore, the two antigens showed a low capacity to detect Tbg infections, both of them exhibited a poor-AUC with poor sensitivity and specificity. This finding is in agreement with another study where TbgI2 and TbgI17 recombinant proteins were used to detect antibodies in sera from mice infected with Gambiense HAT but did not highly detect the antibodies [22].

Our results showed that TbgI2 exhibited a better sensitivity and a considerable specificity while TbgI17 despite a good specificity, exhibited a low sensitivity for sera from Tbr patients. Therefore, TbgI2 could be more diagnostically useful in Tbr infections than TbgI17. This is in contrast with what was previously described by another study where TbgI2 and TbgI17 were both considered to allow early sensitive and specific detection with various Trypanosomatids species [16]. Finding biomarkers for Rhodesiense HAT has been challenging. Our data gives light for further research on TbgI2 invariable tandem repeat intracellular antigen and its potential application in Rhodesiense HAT diagnosis. These findings are in agreement with previous studies where the results indicated that the African trypanosomes present certain invariant molecules which could be immunogenic [23].

Evaluating the 2 antigens in another assay should be considered for comparison purposes. Also, the evaluation of these antigens with a larger number of samples, with the different stages of the disease represented, should be considered in order to evaluate whether the antigens can be used to diagnose HAT staging. Finally, cross reactivity of these antigens with other parasitic diseases such as malaria and filariasis which has been already reported to occur in the CATT screening test should be further investigated [24].

5. Conclusions

Using a multiplex format, we were able to assess the potential immunoreactivity of two repetitive proteins from the flagellar cytoskeleton of African Trypanosomes, recombinantly produced, namely TbgI2 and TbgI17 against Tbr infections. The data showed that TbgI2 was better than TbgI17 and could be considered as the first attempt to develop a reasonable diagnostic tool for East African Trypanosomiasis, which lacks a serological test.

Improvement of this study should be done since it was limited by the number of stage 1 Rhodesiense HAT sera and the low reactivity of the antigens to human sera.

Acknowledgements

The authors appreciate the infrastructural support provided by the Nagasaki University Institute of Tropical Medicine, Kenya Medical Research Institute project (NUITM-KEMRI project). We also appreciate the efforts of staff members at Multiplex laboratory for their invaluable input in this study.

Funding

This study was supported by the Pan African University Institute for basic Sciences Technology and Innovation (PAUSTI) and International Collaborative Research Program for Tackling the Neglected Tropical Diseases (NTDs) Challenges in African countries (ICREPS-NTDs) by Japan Agency for Medical Research and Development (AMED).

Conflicts of Interest

The authors declare no conflicts of interest regarding the publication of this paper.

References

[1] Sutherland, C.S., Yukich, J., Goeree, R. and Tediosi, F. (2015) A Literature Review of Economic Evaluations for a Neglected Tropical Disease: Human African Trypanosomiasis (“Sleeping Sickness”). PLoS Neglected Tropical Diseases, 9, e0003397.
[Google Scholar] [CrossRef] [PubMed]
[2] Migchelsen, S.J., Büscher, P., Hoepelman, A.I., Schallig, H.D. and Adams, E.R. (2011) Human African Trypanosomiasis: A Review of Non-Endemic Cases in the Past 20 Years. International Journal of Infectious Diseases, 15, e517-e524.
[CrossRef] [PubMed]
[3] Franco, J.R., Simarro, P.P., Diarra, A. and Jannin, J.G. (2014) Epidemiology of Human African Trypanosomiasis. Clinical epidemiology, 6, 257-275.
[CrossRef
[4] Amin, D.N., Ngoyi, D.M., Nhkwachi, G.M., Palomba, M., Rottenberg, M., Büscher, P. and Masocha, W. (2010) Identification of Stage Biomarkers for Human African Trypanosomiasis. The American Journal of Tropical Medicine and Hygiene, 82, 983-990.
[CrossRef] [PubMed]
[5] MacLean, L.M., Odiit, M., Chisi, J.E., Kennedy, P.G. and Sternberg, J.M. (2010) Focus-Specific Clinical Profiles in Human African Trypanosomiasis Caused by Trypanosoma brucei rhodesiense. PLoS Neglected Tropical Diseases, 4, e906.
[CrossRef] [PubMed]
[6] Kennedy, P.G.E. and Rodgers, J. (2019) Clinical and Neuropathogenetic Aspects of Human African Trypanosomiasis. Frontiers in Immunology, 10, 39.
[CrossRef] [PubMed]
[7] Kennedy, P.G. (2004) Human African Trypanosomiasis of the CNS: Current Issues and Challenges. The Journal of Clinical Investigation, 113, 496-504.
[CrossRef
[8] Aksoy, S., Buscher, P., Lehane, M., Solano, P. and Van Den Abbeele, J. (2017) Human African Trypanosomiasis Control: Achievements and Challenges. PLoS Neglected Tropical Diseases, 11, e0005454.
[CrossRef] [PubMed]
[9] Bonnet, J., Boudot, C. and Courtioux, B. (2015) Overview of the Diagnostic Methods Used in the Field for Human African Trypanosomiasis: What Could Change in the Next Years? BioMed Research International, 2015, Article ID: 583262.
[CrossRef] [PubMed]
[10] Sternberg, J.M., Gierliński, M., Biéler, S., Ferguson, M.A. and Ndung’u, J.M. (2014) Evaluation of the Diagnostic Accuracy of Prototype Rapid Tests for Human African Trypanosomiasis. PLoS Neglected Tropical Diseases, 8, e3373.
[CrossRef] [PubMed]
[11] Lumbala, C., Biéler, S., Kayembe, S., Makabuza, J., Ongarello, S. and Ndung’u, J.M. (2018) Prospective Evaluation of a Rapid Diagnostic Test for Trypanosoma brucei gambiense Infection Developed Using Recombinant Antigens. PLoS Neglected Tropical Diseases, 12, e0006386.
[CrossRef] [PubMed]
[12] Truc, P., Lejon, V., Magnus, E., Jamonneau, V., Nangouma, A., Verloo, D. and Büscher, P. (2002) Evaluation of the Micro-CATT, CATT/Trypanosoma brucei gambiense, and LATEX/T. b. Gambiense Methods for Serodiagnosis and Surveillance of Human African Trypanosomiasis in West and Central Africa. Bulletin of the World Health Organization, 80, 882-886.
[13] Horn, D. (2014) Antigenic Variation in African Trypanosomes. Molecular and Biochemical Parasitology, 195, 123-129.
[CrossRef] [PubMed]
[14] Tiberti, N., Hainard, A. and Sanchez, J.C. (2013) Translation of Human African Trypanosomiasis Biomarkers towards Field Application. Translational Proteomics, 1, 12-24.
[CrossRef
[15] Manful, T., Mulindwa, J., Frank, F.M., Clayton, C.E. and Matovu, E. (2010) A Search for Trypanosoma brucei rhodesiense Diagnostic Antigens by Proteomic Screening and Targeted Cloning. PLoS ONE, 5, e9630.
[CrossRef] [PubMed]
[16] Imboden, M., Müller, N., Hemphill, A., Mattioli, R. and Seebeck, T. (1995) Repetitive Proteins from the Flagellar Cytoskeleton of African Trypanosomes Are Diagnostically Useful Antigens. Parasitology, 110, 249-258.
[CrossRef
[17] Sullivan, L., Wall, S.J., Carrington, M. and Ferguson, M.A. (2013) Proteomic Selection of Immunodiagnostic Antigens for Human African Trypanosomiasis and Generation of a Prototype Lateral Flow Immunodiagnostic Device. PLoS Neglected Tropical Diseases, 7, e2087.
[CrossRef] [PubMed]
[18] Nzou, S.M., Fujii, Y., Miura, M., Mwau, M., Mwangi, A.W., Itoh, M. and Kaneko, S. (2016) Development of Multiplex Serological Assay for the Detection of Human African Trypanosomiasis. Parasitology International, 65, 121-127.
[CrossRef] [PubMed]
[19] Sarr, J.B., Orlandi-Pradines, E., Fortin, S., Sow, C., Cornelie, S., Rogerie, F. and Rogier, C. (2011) Assessment of Exposure to Plasmodium Falciparum Transmission in a Low Endemicity Area by Using Multiplex Fluorescent Microsphere-Based Serological Assays. Parasites & Vectors, 4, Article No. 212.
[CrossRef] [PubMed]
[20] Fonseca, B.P., Marques, C.F., Nascimento, L.D., Mello, M.B., Silva, L.B., Rubim, N.M., Krieger, M.A., et al. (2011) Development of a Multiplex Bead-Based Assay for Detection of Hepatitis C Virus. Clinical and Vaccine Immunology, 18, 802-806.
[CrossRef
[21] Radwanska, M., Magez, S., Michel, A., Stijlemans, B., Geuskens, M. and Pays, E. (2000) Comparative Analysis of Antibody Responses against HSP60, Invariant Surface Glycoprotein 70, and Variant Surface Glycoprotein Reveals a Complex Antigen-Specific Pattern of Immunoglobulin Isotype Switching during Infection by Trypanosoma brucei. Infection and Immunity, 68, 848-860.
[CrossRef
[22] Goto, Y., Duthie, M.S., Kawazu, S.I., Inoue, N. and Carter, D. (2011) Biased Cellular Locations of Tandem Repeat Antigens in African Trypanosomes. Biochemical and Biophysical Research Communications, 405, 434-438.
[CrossRef] [PubMed]
[23] Burgess, D.E. and Jerrells, T.H.O.M.A.S. (1985) Molecular Identity and Location of Invariant Antigens on Trypanosoma Brucei Rhodesiense Defined with Monoclonal Antibodies Reactive with Sera from Trypanosomiasis Patients. Infection and Immunity, 50, 893-899.
[24] World Health Organization (2013) Control and Surveillance of African Trypanosomiasis. WHO Technical Report Series No. 984. World Health Organization, Geneva, Switzerland.

Copyright © 2025 by authors and Scientific Research Publishing Inc.

Creative Commons License

This work and the related PDF file are licensed under a Creative Commons Attribution 4.0 International License.