The Influence of the Manager’s Relational Network on Access to Information: The Moderating Role of Ethnicity

Abstract

The Small and Medium-sized Enterprise (SME) is an organization weakly endowed with intangible resources, however essential for its functioning. To optimize its performance, it must acquire information, which is a strategic intangible resource. This one is available through the manager’s relational network, which includes a variety of social ties, including ethnic ties. The objective of this work is to allow the manager to understand the moderating influence of the ethnic group on the relationship between his relational network and access to information. The multigroup analysis carried out using Structural Equations (EQS) on a sample of 243 SME managers reveals that the nature of social ties, unlike the proximity of actors, positively determines access to information. In addition, ethnicity moderates the relationship between the relational network and access to information.

Share and Cite:

Omam, F. (2025) The Influence of the Manager’s Relational Network on Access to Information: The Moderating Role of Ethnicity. iBusiness, 17, 97-110. doi: 10.4236/ib.2025.172005.

1. Introduction

African SMEs face difficult access to resources on a daily basis (Ngo Omam, 2018); however, in a context of fierce international competition, they must remain competitive by innovating and taking a managerial lead over their competitors. One of the ways to exceed this limit lies, according to Géraudel (2011), Kyrgidou and Spyropoulou (2013) in the ability of the manager to mobilize relationships, to obtain the resources necessary for the performance of his business. Today, the relational network is essential as an important development lever for SME managers. There are several ways in which the leader can enter the network. First, he can engage his company in cooperation with other companies or join an organization. This type of network is more professional. The manager can also personally mobilize a network of informal relationships. We are interested in this second type of network. At a time when everyone can be connected with the rest of the planet, it is necessary to keep in touch with people and nothing can replace traditional networks (Tognini & Feniou, 2017). For this author, developing and frequenting a relational network means breaking the manager’s loneliness, benchmarking and monitoring, and generating activity. It also means capturing a potential market, not being alone and confronting your projects with the intelligence of others. According to the theory of social capital, relational networks constitute a precious resource for conducting business because they facilitate economic action through access to numerous resources (Burt, 1992). In general, resources such as information are widely attached to the relational network, and one of its objectives is to effectively allow access to them (Aydi, 2003). The resource theory, developed by Barney (1991) notes, moreover, that the transfer of resources is difficult in the absence of social relations.

The relational network has been the subject of numerous researches in Management Sciences; unfortunately almost all are based on access to resources (Senayah & Akakpo-Numado, 2017; Tognini & Feniou, 2017; Aalbers et al., 2014; Barlatier et al., 2013), company performance (Mayegle & Ngo Omam, 2015; Aydi, 2003) or on innovation (Ngo Omam, 2018; Wang et al., 2015). Similarly, ethnicity has been addressed in many researches (Darley et al., 2013; Boukar & Tsapi, 2011; Sogbossi Bocco, 2009; Kamdem & Ongodo, 2007). Links have been established between the latter and the commercial behavior of companies, company growth, use of ICT, entrepreneurship, decision-making, managerial practices, etc. In reality, Cameroon abounds with two hundred and fifty ethnic groups divided into five major cultural regions. The prevalence of the social or relational approach according to which social relationships constrain the acquisition of information leaves little room for contextualization of socio-cultural factors such as ethnicity. When the interest of research is focused on SMEs, in view of the specificities of the African context, it seems that it is necessary to take into consideration the influence of these factors in the functioning of the company in general and in the access to information in particular. Taking an interest in ethnicity as a specificity of the Cameroonian context can lead to different results. In addition, no study to our knowledge has focused on the role of ethnicity in the relationship between the relational network and access to information. This is what leads us in this work to analyze the moderating role of the ethnic group in the relationship between the social network of the leader and access to information.

2. The Concept of Relational Network

We define the relational network and present its configurations.

2.1. The Definition

A relational network also known by the term social network is an immaterial reality which, according to Granovetter (1973), refers to a network that enables the individual to create and mobilize relationships within and outside the company in order to gain access to the resources of other social actors. According to Hirsch et al. (2008), it is a set of relationships that links people who share a strong common objective and denominator: a system of values, interests, tastes, a past, qualities or a common project. In the same vein, Barabel et al. (2010) consider it as a community of individuals linked to each other by their origins, their centers of interest, their needs, and their close or similar points of view within the framework of interactions which can give rise to exchanges of information, logics of mutual aid and experience sharing, a source of learning. Senayah and Akakpo-Numado (2017) and Soulez (2002) simply consider it as the set of relationships that an individual maintains. We understand the relational network as all the people in relation to the ego and whose business he regularly discusses. Social capital, developed by Bourdieu (1980) and Coleman (1988), refers to the social resources that individuals can mobilize through their relationships and social networks. In this research, social ties, defined as the set of relationships that the manager maintains with people in his or her social network, can be considered a form of social capital. In reality, these ties can provide the manager with resources such as access to information. As for ethnicity, it is often associated with the notion of ethnic diversity, which refers to the presence of different ethnic groups within a society or organization, such as the manager’s social network.

2.2. The Configurations of the Relational Network

According to Géraudel (2011), not all relationship portfolios are created equal. There are as many forms of relational networks as there are leaders, and not all of them lead to the same returns in terms of resources. The authors have developed a fairly rich literature on the properties required for a relational network to provide as many resources as possible. We limit ourselves within the framework of this work, to two dimensions relating to the content of interindividual links (Granovetter, 1973) and to the characteristics of the actors present in the relational portfolio (Lin, 1999).

2.2.1. The Nature of Social Ties

Granovetter (1973) distinguishes between strong and weak ties. Weak ties are characterized by a small amount of interaction over time, low emotional intensity, little trust and mutual services, but they do allow them to get in touch with a larger number of individuals. On the other hand, strong ties, which come from embedding family or ethnicity, are compartmentalized within the same clique. According to Géraudel (2011), ties are described as strong when the individual is close to his alter, spends time with them and sees them frequently, while ties are weak when the individual has no privileged relationships with the alter and does not invest time to maintain the relationship.

2.2.2. The Characteristics of Social Ties

It is the characteristics or attributes of the alter that are important in the search for relational resources relevant to the individual (Chollet, 2006; Lin, 1999; Géraudel & Gundolf, 2016). When we talk about the proximity of the players in the relational network, we are referring to the fact that the alter or not have characteristics identical to the ego (Géraudel, 2011). These characteristics are assessed on a functional, sectoral, geographic, hierarchical, cognitive and organizational level, etc.

3. Information: The Relational Resource at the Heart of the Company

Information is a meaning transmitted to a conscious being by means of a message written on a medium (Géraudel, 2008). Considered strategic, it refers to any element whose awareness enables the leader of an organization to optimize decision-making in relation to the opportunities and threats of the environment (Ozgen & Baron, 2007). Information can be formal and potentially available to all individuals. In this case, it is similar to a public good. It can also be informal: individuals can then obtain it through relationships. In our work, it is private or informal information that interests us.

3.1. The Relational Network and Access to Information

According to the theory of social capital developed by Lin (1995), individuals through the relational structures in which they are embedded manage to access several types of resources. Many authors maintain in this respect that the manager’s relational network facilitates access to information (Barlatier et al., 2013; Mayegle & Ngo Omam, 2015). We believe that it makes sense, given all of this, to make the following assumption:

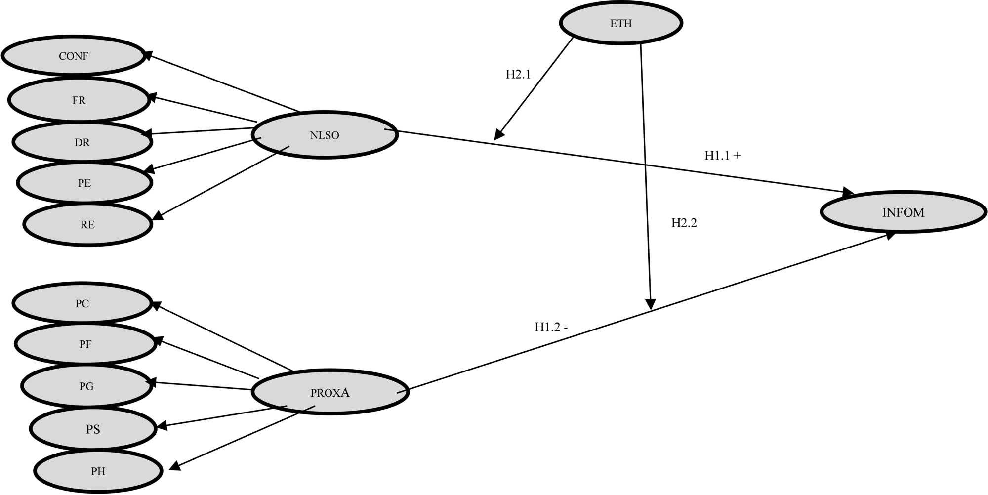
H1: The manager’s relational network determines access to information.

3.1.1. The Nature of Social Ties and Access to Information

Granovetter (1973) through the theory of the strength of links establishes the influence of the nature of social links on information. He argues that the stronger the relationship between two individuals, the greater the possibility that they know the same people and, obviously, access the same information. On the other hand, weak links increase the chances of the ego accessing people with interests, multiple and rich information. According to Géraudel et al. (2006), the nature of the links determines access to information, and strong links have a positive influence in exploitation contexts while weak links seem beneficial in exploration contexts. Brüderl and Preisendörfer (1998) and Adler and Kwon (2002) along the same lines add that social relations and social contacts are important channels for accessing information. We find the justification to put forward the following hypothesis:

H1.1: The nature of the manager’s social ties positively determines access to information.

3.1.2. Proximity of Actors and Access to Information

According to Burt (1992), having links with very different people guarantees the manager access to information that does not overlap with that which he already has. For Chollet and Geraudel (2010), a good way for managers to have a variety of information is to have links in different areas. They show that the more people a manager has in their network whose fields are very different, the more they access information. Lin (1999) explains that it is more the fact of having heterogeneous alter that is interesting in terms of access to social resources. Working with geographically, functionally, hierarchically or cognitively close individuals constrains the flow of information. All this leads us to formulate the following hypothesis:

H1.2: Proximity of actors negatively determines access to information.

3.2. The Moderating Influence of Ethnicity

The ethnicity represents a human population that is considered to have in common an ancestry, a history, a culture, a language or a dialect, a way of life; quite often several of these elements at the same time. Akono Evang (2014) describes it as a more or less homogeneous group whose members have a community of ways of being, thinking, feeling, and doing related to language, culture and other elements that present some stability, as opposed to other groups of the same nature. Many studies have been conducted on the influence of socio-cultural factors, including ethnicity in the conduct of business. They relate inter alia to commercial behavior (Sogbossi Bocco, 2009; Darley et al., 2013), growth (Boukar & Julien, 2009), decision-making and managerial practices (Kamdem & Ongodo, 2007). According to Sogbossi Bocco (2009), the dynamism and success of SMEs depends on their ability to reconcile the social and cultural values of Africa with the necessary economic efficiency. Ethnicity, as a determining factor in socialization, constitutes an essential element that could be at the origin of specific managerial behaviors. Hernandez (1997) concludes that the survival of SMEs is linked to their ease in adapting economic logic to socio-cultural logic. We believe that the relationship between the leader’s social network and information can be moderated by ethnicity since it represents a reservoir of customs, lifestyles and shared values between the alter. All this brings us to the following hypothesis:

H2: Ethnicity moderates the relationship between the manager’s relational network and access to information.

In the absence of a real basis, since it is a strand not yet explored, we have, from the main hypothesis, formulated two sub-hypotheses according to the characteristics of the network.

H2.1: Ethnicity moderates the relationship between the nature of social ties and access to information.

H2.2: Ethnicity moderates the relationship between the proximity of actors and access to information.

Our research model is presented in Figure 1.

Figure 1. Research model. (Source: the authors)

4. Methodology

We focus on the different methodological aspects which led to this work.

4.1. The Scope of the Research and the Sampling Unit

Cameroon constitutes our field of research. Our choice relates to SMEs in the agrifood sector. The choice of the agri-food sector is essentially linked to its importance in African economies in general and Cameroon in particular. The agri-food sector is one of the main economic sectors in Cameroon, contributing to GDP and employment. This sector is crucial for economic and social development in Cameroon, particularly with regard to food security, poverty reduction and employment promotion. Based on the classification of Broutin and François (2003), we selected four branches of activity in order to respect the diversity of this sector: Bakeries-Pastry shops, Restaurants, Agricultural product processing companies and fishery products. These SMEs are continually in a process of value creation, which requires renewal and strengthening of existing information.

Unlike other sectors of activity, agri-food businesses in Cameroon are characterized by strong social networks, particularly in rural areas where communities are closely connected. These social networks play an important role in access to information and knowledge. The influence of social networks on access to information may differ in other sectors of activity in Cameroon, depending on the size, structure and culture of businesses, sectoral issues and the regulatory context that may influence the importance of social networks in accessing information. The leaders of the cities of Douala, Yaoundé and Ngaoundéré represent the discussion unit.

4.2. Research Stages

This research has two main phases. The first is carried out using an interview guide through semi-structured interviews lasting approximately one hour, with 27 managers of agrifood SMEs chosen appropriately. The quantitative phase representing the second phase is carried out using a questionnaire administered to 273 managers of agrifood SMEs obtained using the convenience method. This final administration is preceded by two pre-tests with 10 and 105 individuals. The first pre-test responding to the debriefing method led to eliminating misunderstood and reformulation of certain questions. The second made it possible to ensure the internal consistency of the constructions.

4.3. Measuring Variables

A five-point Likert scale ranging from “Strongly disagree” to “Strongly agree” was used to assess the measurement items of the constructs.

The scale for measuring the nature of social ties is adapted from the work of Marsden and Campbell (1984) and relates to emotional proximity, the length of the relationship and the frequency of contact. To this scale, we add two dimensions from our qualitative study (trust and reciprocity of exchanges). The items used to measure the reciprocity of exchanges are generated from the exploration, while confidence is measured by the scale of Gurviez and Korchia (2002).

The scale for measuring the proximity of actors: Adapted from Géraudel (2008), it includes four dimensions relating to geographic, sectoral, functional and hierarchical proximity. We have integrated the cognitive proximity that emanates from semi-structured interviews. To measure it, we used Bergadaà and Del Bucchia (2009).

The information measurement scale: the Géraudel (2008) measurement scale is suitable because it highlights the different elements of the Cameroonian context. The ethnic measurement scale: the measurement scale used in this research is adapted from the exploratory study and includes three items.

4.4. Data Analysis

We performed a content analysis to process the data from the interviews. To this end, we cut the speeches of the interviewees by theme and frequency of appearance. The analysis of the significant elements of these discourses allowed us to form groups of sentences and responses according to the themes. Sphinx IQ software is used.

To test the structure model, we have examined, with regard to direct links, the adjustment indices and have resorted to standardized coefficients of determination to student t, which indicates their significance and the percentage of variance of the endogenous variable. Multigroup analysis is used to validate moderating assumptions. For this, we used the Chi-square difference test using the structural equation method (EQS). The CMIN, CMIN/DF, RMSEA, GFI, TLI, CFI and NFI indices were used to assess the quality of the fit of the model. EQS modeling was chosen in this research for several reasons. The relationships between variables are complex and involve interactions between several factors. EQS allows these relationships to be modeled in detail and specific hypotheses to be tested. This method allows for testing causal relationships between variables, which is crucial for understanding how the manager’s social network and access to information influence results. EQS offers great flexibility in specifying relationships between variables, which allows for testing complex hypotheses, such as moderating hypotheses. We could have used other statistical methods, such as multiple regressions and analyses of variance, but these do not allow for modeling complex relationships and testing causal relationships in the same way as EQS. SPSS and Amos software are used to process quantitative data.

5. Research Results

The results relate to exploratory and confirmatory factor analyses.

5.1. Validation of Measuring Instruments

Table A1 summarizes the results of the exploratory and confirmatory factor analyses. This table shows that all the data can be factorized. All KMO indices are above the theoretical threshold (0.5). Barlett’s test tests indicate broadly acceptable significance. Relative to reliability and convergent validity, all the indicators respect the standards commonly accepted in the literature because all the values of Cronbach’s Alpha and Jöreskog Rhô are > 0.7. Similarly, the Rhô values of convergent validity (Fornell and Larker’s PVC) are all largely above the recommended threshold (0.5). All constructs have excellent internal consistency and good convergent validity.

5.2. Structural Model Test

The results relate to direct links and moderating relationships.

5.2.1. Validating Direct Links

Table 1 summarizes the results relating to the links between the social network and information.

Table 1. Test of the structure model relating to direct links.

Hypo

Relation

Estimate

SE

CR

P

CMIN

CMIN/DF

P

RMSEA

GFI

TLI

CFI

NFI

Decision

H1.1

NLSO-INFO

0.347

0.246

3.142

0.008

489.031

2.183

0.000

0.070

0.855

0.957

0.982

0.932

V

H1.2

PA-INFO

−0.014

0.96

4.143

0.002

398.328

2.429

0.000

0.077

0.865

0.957

0.963

0.938

V

Source: study results, 2015.

The values of the regression coefficients, the probabilities, as well as the student t’s are all significant; similarly, all Fit indices are well adjusted. We can therefore conclude with the validation of hypotheses H1.1 and H1.2.

5.2.2. Validation of Moderating Hypotheses

We divided the sample into two groups, namely, the absence and presence of ethnicity, and carried out a multigroup analysis. Only individuals with an average of 2.5 on this scale have ethnic relationships. Table 2 summarizes the results.

Table 2. Moderating role of ethnicity on the relational network relationship—access to resources.

HYPO

Lien

Ethnic Presence Sample

Ethnic Absence Sample

Estimate

S.E.

C.R.

P

Estimate

S.E.

C.R.

P

Difference of β

Sign

H2.1

INFO

<---

NLSO

0.096

0.145

2.663

***

0.345

0.176

2.962

0.050

−0.249

S

H2.2

INFO

<---

PROXA

0.032

0.140

0.231

0.818

−0.013

0.130

3.486

0.001

0.045

NS

Source: study results, 2015.

We note an increase or a decrease in the intensity of the two relations. The value of the difference test in the nature of social ties -information relationship (0.249) is greater than the standard (0.05) and is less than the threshold recommended in the proximity of actors—information relationship (0.045). As a result, ethnicity has a significant and positive moderating effect on the nature of social ties—information relationship. We conclude with the validation of hypothesis H2.1. On the other hand, there is, a priori, no effect moderator of the ethnicity on the explanatory relation of the access to information by the proximity of the actors. Hypothesis H2.2 is rejected. The ethnic group is the subject of consideration and interpretation by the alter, members of the network. The alter may be more or less inclined to transfer to the leader the information he holds according to ethnic ties. In this hypothesis, two leaders with identical social networks cannot benefit from the same benefits if their ethnic relations are different. Research has not studied the moderating role of ethnicity on the relationship between social networks and information; however, work establishing the influence of socio-cultural factors on business management abounds (Sogbossi Bocco, 2009; Darley et al., 2013). The results of this work are consistent with this work and help to further strengthen the contingency theory, which establishes the influence of the environment on the conduct of the company. In Cameroon, ethnicity is one of the variables that intensifies or diminishes the relationship between the social network and information.

6. Conclusion

The interest of research in management sciences for the concept of social networks was manifested by a flowering of scientific work. This concept, still topical, occupies a central place in the management of the company. The objective of this article was to examine the moderating influence of ethnicity on the relationship between the leader’s social network and information. The results from the qualitative analysis highlight two dimensions of the social network on which we have focused: the nature of the social ties and the proximity of the actors. The results highlight a positive and significant effect of the nature of social ties on information. As for the proximity of actors, its influence on these resources is negative and significant.

In Cameroon, the proximity of stakeholders has a negative and significant influence on information. The closer a leader is to the members of their social network, the more access to information decreases. There are several reasons for this in Cameroon. Some professional social networks based on family and personal relationships are very closed. This can make it difficult for people outside these networks to access information. In some cultures, in Cameroon, confidentiality and secrecy are very important, particularly in business and professional relationships. This can mean that information is only shared between trusted people, thus limiting access to information for others. Hierarchical structures and power dynamics in Cameroon can also limit access to information. People in positions of authority or power can control access to information and share it only with those they deem trustworthy. The lack of transparency in some institutions and organizations in Cameroon can also hinder access to information. Despite the proximity of actors, information can be kept secret or shared selectively. Finally, in Cameroon, corruption and nepotism, despite the proximity of actors, can also play a role in limiting access to information. In reality, people who have relationships with people in positions of authority or power may have privileged access to information, while others are excluded.

Although the study showed that the proximity of social network actors does not play a significant role in access to information, it may play a role in certain contexts and for certain specific types of information. This is the case for sensitive or confidential information and for tacit information. Local networks can promote access to information through the proximity of actors because local actors have close relationships and share common interests. Similarly, in crisis or emergency situations, the proximity of actors can be crucial for access to information because nearby actors can react more quickly and in a coordinated manner.

Quantitative analyses show that ethnicity has a moderating influence on the relationship between the nature of social ties and information. On the other hand, its moderating effect on the link between the social network and the proximity of the actors is zero.

At the theoretical level, it is based on the connection of three concepts hitherto, not studied together. This work shows that a network configuration does not always correspond to a type of resource because it also depends on socio-cultural factors such as ethnicity. In addition, the replication of the study of the relationship between social network and access to resources in the Cameroonian context represents an element of external validation of the measurement instruments of the concepts used. At the managerial level, we recommend that leaders further promote strong and weak ties and avoid excessive and detrimental proximity focused on geographic, functional, sectoral, cognitive and hierarchical levels. The highlighting of ethnicity as a moderating variable constitutes an element of refinement of the relational strategy which can allow them to amplify or attenuate the effects of their social network on access to information.

Based on these findings, and more specifically, business leaders should develop strategies to manage their social network and thus strengthen their various social ties, specifically weak and strong ties. This may include the creation of mentoring programs, networking events and online communication platforms, team-building activities, etc. SMEs should promote diversity and inclusion to encourage the formation of weak and strong ties between employees and stakeholders from different backgrounds. This could also reduce barriers related to ethnicity and proximity of stakeholders. It may also require implementing training programs to raise employee awareness of biases and stereotypes, as well as the creation of diversity and inclusion committees. Internally, companies should create opportunities for collaboration between employees to strengthen strong ties and promote the exchange of information. Companies should establish information-sharing mechanisms to facilitate access to information and encourage collaboration. This would involve creating information-sharing platforms, regular information sessions, and feedback channels for employees. Finally, companies should evaluate and adjust their managerial and relational practices to ensure they foster the formation of strong and weak ties and the exchange of information.

To improve their social network and optimize access to information, SME managers should first define clear objectives for their social network, particularly access to information, which is a source of new opportunities. They should conduct a social network audit to identify gaps and areas where they need to strengthen their connections. They should attend events, conferences, seminars, and meetings to meet new people and strengthen their existing connections. They should also use professional digital social networks to expand their social network and stay in touch with their connections. Leaders should encourage reciprocity in their exchanges, offering help, advice, or information to members of their social network, which can strengthen their connections and encourage others to do the same. Finally, they should regularly evaluate their social network and adjust their strategy accordingly to ensure they achieve their objectives.

Unfortunately, we did not compare the effects of different types of social media on access to information. This is a limitation of this research that could lead to future research.

Appendix

Table A1. Validation of measuring instruments.

Varia

Bles

Dimensions

Number of items

KMO

X2

ddl

P

Cronbach’s Alpha

Joreskog Rhô

Formell and Larker’s PVC

AETH

Unidimensional

3

0.903

0.92

0.805

INFO

Unidimensional

5

0.906

802.191

36

0.000

0.931

0.94

0.751

NLSO

FR

5

0.761

2734.804

153

0.000

0.919

0.96

0.814

CONF

4

0.931

0.97

0.889

PE

4

0.929

0.93

0.708

DR

3

0.887

0.98

0.948

RE

2

0.857

0.98

0.948

PA

PS

3

0.755

2629.260

105

0.000

0.926

0.98

0.936

PF

3

0.896

0.99

0.957

PG

3

0.925

0.97

0.926

PH

3

0.924

0.97

0.916

PC

3

0.889

0.94

0.814

Table A2. Chi-2 difference test on moderating variables.

Moderating variables

Degree of liberty

Chi-2

P

Religion

6

1340.681

0.000

Linguistic affiliation

3

716.307

0.000

Ethnicity

3

648.2

0.000

Conflicts of Interest

The author declares no conflicts of interest regarding the publication of this paper.

References

[1] Aalbers, R., Dolfsma, W., & Koppius, O. (2014). Rich Ties and Innovative Knowledge Transfer within a Firm. British Journal of Management, 25, 833-848. [Google Scholar] [CrossRef
[2] Adler, P. S., & Kwon, S. (2002). Social Capital: Prospects for a New Concept. The Academy of Management Review, 27, 17-40. [Google Scholar] [CrossRef
[3] Akono Evang, S. P. (2014). Contribution à une science africaine de l’ethnie à partir de l’expérience camerounaise. Droit et société, 86, 157-174. [Google Scholar] [CrossRef
[4] Aydi, G. (2003). Capital social entrepreneurial, performance de l’entreprise et accès aux ressources externes. In XIIème conférence de lAssociation internationale de Management Stratégique (pp. 1-22). AIMS.
[5] Barabel, M., Mayol, S., & Meier, O. (2010). Les médias sociaux au service du marketing territorial: Une approche exploratoire. Management & Avenir, 32, 233-253. [Google Scholar] [CrossRef
[6] Barlatier, P., Bénédic, M., Josserand, E., & Villesèche, F. (2013). Le potentiel stratégique des réseaux d’anciens. Une étude exploratoire. Revue française de gestion, 39, 163-182. [Google Scholar] [CrossRef
[7] Barney, J. (1991). Firm Resources and Sustained Competitive Advantage. Journal of Management, 17, 99-120. [Google Scholar] [CrossRef
[8] Bergadaà, M., & Del Bucchia, C. (2009). La recherche de proximité par le client dans le secteur de la grande consommation alimentaire. Management & Avenir, 21, 121-135. [Google Scholar] [CrossRef
[9] Boukar, H., & Julien, P.-A. (2009). Impact des facteurs socioculturels sur la croissance des petites entreprises: Une recension de la littérature. La vulnérabilité des TPE et des PME dans un environnement mondialisé. In 11es Journées scientifiques du Réseau Entrepreneuriat (p. 28). AUF.
[10] Boukar, H., & Tsapit, V. (2011). Impact du profil socioculturel du dirigeant sur la croissance des micro et des petites entreprises camerounaises. Revue des Sciences de Gestion, 77, 19-33.
[11] Bourdieu, P. (1980). Le capital social. Notes provisoires. Actes de la Recherche en Sciences Sociales, 31, 2-3.
[12] Broutin, C., & François, M. (2003). Micro et petites entreprises agroalimentaires: Innovation pour lapprovisionnement alimentaires des villes africaines. Groupe de recherche et d’échanges technologiques (GRET), 12.
[13] Brüderl, J., & Preisendörfer, P. (1998). Network Support and the Success of Newly Founded Business. Small Business Economics, 10, 213-225. [Google Scholar] [CrossRef
[14] Burt, R. S. (1992). Structural Holes: The Structure of Social Capital Competition (p. 50). Harvard University Press.
[15] Chollet, B. (2006). Qu’est-ce qu’un bon réseau personnel? le cas de l’ingénieur R & D. Revue française de gestion, 32, 107-126. [Google Scholar] [CrossRef
[16] Chollet, B., & Geraudel, M. (2010). Réseau personnel, personnalité du dirigeant et accès aux informations sur le marché. Finance Contrôle Stratégie, 13, 5-32.
[17] Coleman, J. S. (1988). Social Capital in the Creation of Human Capital. American Journal of Sociology, 94, S95-S120. [Google Scholar] [CrossRef
[18] Darley, W. K., Luethge, D. J., & Blankson, C. (2013). Culture and International Marketing: A Sub-Saharan African Context. Journal of Global Marketing, 26, 188-202. [Google Scholar] [CrossRef
[19] Géraudel, M. (2008). Réseau personnel du dirigeant de pme et accès aux ressources: Le rôle modérateur de la personnalité. Thèse de doctorat en sciences de gestion, Institut de Recherche en Gestion et en Economie, Université de Savoie.
[20] Géraudel, M. (2011). Comprendre et developper son reseau relationnel: Le cas des dirigeants de PME. Vie & sciences de lentreprise, 188, 10-21. [Google Scholar] [CrossRef
[21] Géraudel, M., & Gundolf, K. (2016). Les effets de la centralité sur la restructuration: Le cas du passage de la TPE à la PE. Revue de l’Entrepreneuriat, 15, 15-33. [Google Scholar] [CrossRef
[22] Géraudel, M., Baret, C., & Mothe, C. (2006). Réseaux sociaux et ressources de l’innovation: Proposition d’un modèle contingent. In XVème Conférence Internationale de Management Stratégique.
[23] Granovetter, M. S. (1973). The Strength of Weak Ties. American Journal of Sociology, 78, 1360-1380. [Google Scholar] [CrossRef
[24] Gurviez, P., & Korchia, M. (2002). Proposition d’une échelle de mesure multidimensionnelle de la confiance dans la marque. Recherche et Applications en Marketing (French Edition), 17, 41-61. [Google Scholar] [CrossRef
[25] Hernandez, E.-M. (1997). La gestion des ressources humaines dans l’entreprise informelle africaine. Revue Gestion, 22, 52-59.
[26] Hirsch, A., Armould, A., & Jadot, M. (2008). Réseaux relationnels (pp. 4-5). Horizons.
[27] Kamdem, E., & Ongodo, M. F. (2007). Faits et méfaits de l’ethnicité dans les pratiques managériales en Afrique. Revue gestion 2000: Actualités perfectionnements, 24, 33-60.
[28] Kyrgidou, L. P., & Spyropoulou, S. (2013). Drivers and Performance Outcomes of Innovativeness: An Empirical Study. British Journal of Management, 24, 281-298. [Google Scholar] [CrossRef
[29] Lin, N. (1995). Les ressources sociales: Une théorie du capital social. Revue française de sociologie, Analyses de réseaux et structures relationnelles, 3, 685-704. [Google Scholar] [CrossRef
[30] Lin, N. (1999). Social Networks and Status Attainment. Annual Review of Sociology, 25, 467-487. [Google Scholar] [CrossRef
[31] Marsden, P. V., & Campbell, K. E. (1984). Measuring Tie Strength. Social Forces, 63, 482-501. [Google Scholar] [CrossRef
[32] Mayegle, F., & Ngo Omam, F. D. (2015). Capital social du dirigeant et performance des entreprises: Une étude quantitative auprès des PME du Cameroun. Management & Avenir, 75, 35-54. [Google Scholar] [CrossRef
[33] Ngo Omam, F. D. (2018). Le réseau social du dirigeant et l’innovation dans les Petites et Moyennes Entreprises. In J. Biwolé-Fouda, G. Causse, & A. Ngantchou (Eds.), Théories des organisations africaines (pp. 195-214). l’Harmattan.
[34] Ozgen, E., & Baron, R. A. (2007). Social Sources of Information in Opportunity Recognition: Effects of Mentors, Industry Networks, and Professional Forums. Journal of Business Venturing, 22, 174-192. [Google Scholar] [CrossRef
[35] Senayah, K. E., & Akakpo-Numado, S. Y. (2017). Le réseau relationnel et l’insertion professionnelle des diplômés togolais. Revue Togolaise des Sciences, 11, 1-19.
[36] Sogbossi Bocco, B. (2009). Les dimensions socioculturelles du comportement commercial des Petites Entreprises en Afrique. Market Management, 9, 93-114. [Google Scholar] [CrossRef
[37] Soulez, B. (2002). Cultivez votre réseau relationnel (p. 193). Editions d’Organisation.
[38] Tognini, F., & Feniou, F. (2017). Celui qui fréquente les réseaux professionnels détient l’information avant qu’elle ne soit diffusée sur les réseaux sociaux. I2D-Information, données & documents, 54, 67-67. [Google Scholar] [CrossRef
[39] Wang, H., Zhao, J., Li, Y., & Li, C. (2015). Network Centrality, Organizational Innovation, and Performance: A Meta‐Analysis. Canadian Journal of Administrative Sciences / Revue Canadienne des Sciences de lAdministration, 32, 146-159. [Google Scholar] [CrossRef

Copyright © 2026 by authors and Scientific Research Publishing Inc.

Creative Commons License

This work and the related PDF file are licensed under a Creative Commons Attribution 4.0 International License.