Tracking the Culprits: Microbial Source Tracking Uncovers Elevated Fecal Indicators along the Texas Coast

Abstract

Aims: To utilize microbial source tracking to detect and differentiate sources of fecal bacteria in Texas, addressing the limitations of dated culture-based Enterolert tests, which quantify fecal indicator bacteria (FIB) but fail to indicate the source of the pollution. Study Design: This study involved quantification of FIB using some DNA-based tests validated by the United States Environmental Protection Agency (EPA). Place and Duration of Study: Water samples were collected from two counties along the Texas coast from February 2022 through June 2023. Methodology: EPA Method 1696 was conducted on 198 water samples collected for the detection of human-associated Bacteroidales by HF183/BacR287 quantitative polymerase chain reaction (qPCR) assay. A human-associated Enterococcus qPCR assay was also performed on a subset of Enterococcus isolates subcultured from Enterolert IDEXX trays to further test for the presence of human fecal contamination. A general Bacteroidales qPCR assay was also conducted to detect fecal contamination from various endothermic animals. These additional qPCR assays were used to detect FIB from avian, equine, ruminant, bovine, swine, and canine sources. Results: Although no samples tested positive for human-associated Bacteroidales, 7.6% of the subcultured samples tested positive for human-associated Enterococcus. All samples were positive for general Bacteroidales markers, and most samples were positive for avian FIB, while FIB from other animal sources were absent or detected in less than 5% of samples. Conclusion: This study provides insight into human and non-human contributions to high FIB counts in recreational waters along the Texas coast. Understanding these sources may improve water quality management and public health efforts.

Share and Cite:

Sefcik, K., Speshock, J., Brady, S., Meik, J.M. and Brady, J.A. (2025) Tracking the Culprits: Microbial Source Tracking Uncovers Elevated Fecal Indicators along the Texas Coast. Advances in Microbiology, 15, 217-231. doi: 10.4236/aim.2025.154016.

1. Introduction

Water quality testing provides insight into human health risks from contact with recreational waters [1]. Fecal waste is a major source of health risk and can be introduced to waterways by many sources including leakage in sewer lines, faulty septic systems, run-off after significant rain events, and poor agricultural waste management practices [2]. Regular monitoring of fecal indicator bacteria (FIB) using the United States Environmental Protection Agency (EPA) approved culture-based tests is performed to protect the well-being of the public [3], and in Texas, the beaches are monitored by the Texas General Land Office (GLO) Texas Beach Watch Program.

Typically, high FIB counts follow heavy precipitation [4]. However, in the summer of 2019, Texas beaches sustained high Enterococcus counts [5] during a prolonged period without heavy rainfall. This is part of a trend of Enterococcus concentrations increasing over time [5]. The anomaly of high FIB counts during a drier period led the GLO to fund several studies, including this one, to identify the sources of FIB along the Texas coast, particularly during non-wet periods. During the two years of this study, anomalous high Enterococcus counts during dry periods did not occur, and counts were generally lower than a 20-year average.

The EPA-approved culture-based test used in this study is IDEXX Enterolert. This culture-based test provides the most probable number (MPN) of FIB within the genus Enterococcus following a 24 - 48 hour incubation, but does not provide insight into the host sources of the fecal contamination, thus human health risk is determined indirectly. To generate same-day results, EPA has validated Method 1609.1, a quantitative polymerase chain reaction (qPCR) assay to identify FIB Enterococcus spp. by their DNA within 3 - 4 hours, but that method does not provide source identification either [6]. For remediation efforts and to better assess human health risks in recreational waters, knowledge of the sources of fecal pollution is beneficial.

Microbial source tracking (MST) allows for quantifying and detecting host-specific genetic markers associated with microorganisms located in fecal matter using qPCR assays [7]. MST typically relies on host-associated microorganisms from the order Bacteroidales that are ubiquitous in the gut microbiome of endothermic animals and are host-specific [8]. Because high human Bacteroidales numbers are associated with higher concentrations of human fecal waste, the EPA validated an MST method that detects and quantifies human sources of Bacteroidales in recreational waters. This method detects human-specific strains of Bacteroidales from the 16S rRNA gene of Bacteroides dorei by qPCR using EPA Method 1696 [9]. As fecal pollution can come from a variety of non-human sources, host-associated Bacteroidales markers were used to differentiate human fecal contamination from other various animal sources [10] [11]. Avian fecal pollution was quantified by detecting bacteria from the genus Helicobacter [12], since a general avian Bacteroidales qPCR detection reaction is not available. Multiple qPCR assays with host-associated Bacteroidales markers for bovine, canine, equine, ruminant, and swine sources (Table 1) were used in this study to better characterize nonpoint sources. Therefore, the objectives of this study were to 1) identify and quantify recent human fecal contamination in samples that have also been tested by Enterolert assays; 2) identify and quantify non-human sources of fecal contamination; and 3) assess the number of IDEXX Enterolert wells containing human-associated Enterococcus in trays with broad-ranging most probable number of colony forming units/100 mL of water tested (CFUs/100 mL).

2. Materials and Methods

2.1. Study Sites

Samples were collected by the GLO Texas Beach Watch program at 25 sites along the Texas coast. These 25 sites were split between Brazoria and Matagorda counties. Brazoria County had a total of 16 sampling sites while Matagorda County had a total of 9 (Figure 1).

Figure 1. Study sites.

2.2. Sample Collection

Water samples were collected by GLO contractors weekly during the peak-season when recreational use is high (May-September) and biweekly during the off-season (October-April). The samples were collected in sterile 120 mL polypropylene bottles. The depth of each sample was taken following EPA’s recommendation of 0.15 m depth below the surface from a total water depth of 0.5 m. For sampling sites that had fine sediment, a sampling pole was used to ensure no sediment was collected from wading to the sample location. After collection, the collection bottles were stored in an insulated cooler filled with ice to maintain a temperature below 10˚C while being transported to the laboratory where samples were tested for Enterococcus spp. using the IDEXX Enterolert system [13]. Water samples were frozen at −20˚C prior to filtration and DNA extraction. For the time between February 2022 through June 2023 a total of 198 water samples had greater than or equal to 30 CFU/100 mL that were delivered to Texas A&M AgriLife in Stephenville, TX, often along with the associated IDEXX trays so that positive wells could be cultured and screened for human Enterococcus by qPCR. Of these samples, 126 were collected during the off-season (October - April), and the remaining 63 were peak season samples (May - September).

2.3. Sample Filtration and DNA Extraction

Upon delivery to Texas A&M AgriLife, 100 mL of each water sample was filtered through a 0.4 µM polycarbonate membrane filter (EMD Millipore, Billerica, MA). After filtration, each filter was folded and placed into sterile DNA extraction tubes containing 300 mg of glass beads. Method blanks consisting of 100 mL 1× phosphate-buffered saline (PBS) were also filtered between every five water samples to confirm the absence of contamination between filtrations. DNA extractions were performed on the filtered samples following EPA Method 1696 using a GeneRite DNA extraction kit (GeneRite, Monmouth Junction, NJ). Following the EPA method 1696 protocol, salmon DNA extraction buffer containing salmon sperm DNA was added to each of the filtered samples during extraction to work as a sample processing control. Fecal samples from each of the sources being tracked in this study were collected and DNA was extracted to be used as positive controls for each of the qPCR assays using QIAamp DNA stool mini kit. As a positive control for the esp marker for the Enterococcus assay, DNA was extracted from Enterococcus faecalis strain ATCC 29212 [6]. This was done by first streaking the E. faecalis stock culture on brain heart infusion agar (BHIA) plates for isolation and incubating at 37˚C for 24 hours. An isolated colony was picked from the BHIA plate and inoculated in 1.5 mL of brain heart infusion broth (BHIB) at 37˚C for 24 hours. From the BHIB, E. faecalis DNA was extracted as previously described [14]. To isolate Enterococcus from the IDEXX trays, each tray was viewed under UV light and three wells were randomly selected for each sample for culture and DNA isolation. Each selected IDEXX well was punctured with a sterile pipette tip and 200 µL of the culture was added to a bile esculin agar plate (BEA) to be streaked. After streaking, the plates were incubated at 37˚C for 24 hours. After the plates were incubated, a colony was selected and inoculated in 1.5 mL of BHIB in an incubator at 37˚C for 24 hours and DNA was extracted as previously described [14].

2.4. PCR

qPCR assays were conducted on 198 samples to track and quantify FIB from specific host sources using a BioRad CFX384 touch thermal cycler. The DNA markers for Bacteroidales included human, ruminant, bovine, equine, canine, and swine with primers/probes purchased from Eurofins Genomics, Louisville, KY, and qPCR conditions were set up according to previous studies (Table 1). We also conducted a conventional PCR assay to detect avian Helicobacter using the primers listed in Table 1. In each of the assays, DNA extracted from both human and the animal host feces being tested was used as a positive control to ensure the primers and probes designed for each assay were efficiently detecting the host-specific bacterial DNA.

Table 1. PCR primers and probes used in this study.

Marker and target

Primer/probe name and sequence (5’-3’)

References

HF183/BacR287

Human

Bacteroidales

HF183: 5’-ATCATGAGTTCACATGTCCG-3’

BacR287: 5’-CTTCCTCTCAGAACCCCTATCC-3’

BacP234MGB: 5’-[FAM1]CTAATGGAACGCATCCC[MGBEQ2]-3’

Bac234IAC: 5’-[VIC3]AACACGCCGTTGCTACA-[MGBEQ2]-3’

[9]

Sketa22

Sample processing control

SketaF2: 5’-GGTTTCCGCAGCTGGG-3’

SketaR2: 5’-CCGAGCCGTCCTGGTC-3’

SketaP2: 5’-[FAM1]AGTCGCAGGCGGCCACCGT[TAMRA4]-3’

[9]

General

Enterococcus spp.

ECST748F: 5’-GAGAAATTCCAAACGAACTTG-3’

ENC854R: 5’-CAGTGCTCTACCTCCATCATT-3’

GPL813TQ: 5’-[FAM1]-TGGTTCTCTCCGAAATAGCTTTAGGGCTA[BHQ15]-3’

[6]

Esp Human

Enterococcus

EfespF: 5’-TATGAAAGCAACAGCACAAGTT-3’

EfespR: 5’-ACGTCGAAAGTTCGATTTCC-3’

[15]

AllBac

General

Bacteroidales

AllBacF: 5’-GAGAGGAAGGTCCCCCAC-3’

AllBacR: 5’-CGCTACTTGGCTGGTTCAG-3’

AllBacP: 5’-[FAM1]CCATTGACCAATATTCCTCACTGCTGCCT[BHQ15]-3’

[16]

GFD General

Avian Helicobacter

GFDF: 5’-TCGGCTGAGCACTCTAGGG-3’

GFDR: 5’-GCGTCTCTTTGTACATCCA-3’

[12]

Rum-2-Bac

Ruminant

Bacteroidales

BacB2-590F: 5’-ACAGCCCGCGATTGATACTGGTAA-3’

Bac708R: 5’-CAATCGGAGTTCTTCGTGAT-3’

BacB2-626P: 5’-[FAM1]ATGAGGTGGATGGAATTCGTGGTGT[BHQ15]-3’

[17]

BacCow

Bovine

Bacteroidales

BacCow-CF128F: 5’-CCAACYTTCCCGWTACTC-3’

BacCow-305R: 5’-GGACCGTGTCTCAGTTCCAGGTG-3’

BacCow-257P: 5’-[FAM1]TAGGGGTTCTGAGAGGAAGGTCCCCC[BHQ15]-3’

[18]

Horse

Equine

Bacteroidales

HorseF: 5’-GCCAGCCGTAAAATAGTCGG-3’

HorseR: 5’-CAATCGGAGTTCTTCGTGATATCTA-3’

HorseP: 5’-[FAM1]AACCCGATCCCGCGGTTGGAA[BHQ15]-3’

[19]

BacCan

Dog

Bacteroidales

BacCan-545F1: 5’-GGAGCGCACACGGGTTTT-3’

BacUni-690R1: 5’-CAATCGGAGTTCTTCGTGATATCTA-3’

BacUni-690R2: 5’-AATCGGAGTTCCTCGTGATATCTA-3’

BacUni656P: 5’-[FAM1]TGGTGTAGCGGTGAAA[MGBEQ2]-3’

[18]

Pig2Bac

Swine

Bacteroidales

Pig2Bac41F: 5’-GCATGAATTTAGCTTGCTAAATTTGAT-3’

Pig2Bac163R: 5’ACCTCATACGGTATTAATCCGC-3’

Pig2BacMGBP: 5’-[FAM1]TCCACGGGATAGCC[MGBEQ2]-3’

[20]

1FAM = 5(6)-carboxyfluorescein dye; 2MGBEQ = minor groove binder eclipse quencher; 3VIC = victoria dye; 4TAMRA = Tetramethylrhodamine dye; 5BHQ1 = black hole quencher 1.

EPA method 1609.1 qPCR assay was used to test each of the IDEXX tray isolates for general Enterococcus. The positive control for both the Enterococcus and esp assay (human-specific Enterococcus assay) was E. faecalis DNA. Each of the filtered samples were tested in replicates of three for each of the qPCR assays. Also, no template controls were included in each of the qPCR assays that consisted of molecular grade water instead of DNA to ensure there were no contaminating target sequences found in the reagents used in the master mix.

2.5. Data Analysis

To analyze the variation of detected markers, all samples were categorized based on MPN numbers generated by IDEXX testing and were grouped into low (<35 CFU/100 mL), medium (35 - 104 CFU/100 mL), and high (>104 CFU/100 mL) groups (the beach action value for issuing a human health advisory in Texas is 104). Pearson’s Chi-square test was performed to test the hypothesis of independence in the frequencies of the detected markers between MPN groupings. The concentration of each DNA marker in each sample was determined by comparing unknown samples to qPCR standard curves. Individual standard curves for each qPCR reaction were generated by utilizing Quantification Cycle (Cq) values obtained from 10-fold dilutions of each host-specific positive control. To test if there is a significant difference between the MPN group and marker concentrations, one-way ANOVA was performed for each individual marker. Additionally, a seasonality check was conducted and found that were was no statistically significant component to any of the assays. Statistical comparisons were conducted in RStudio [21].

3. Results

3.1. HF183 and esp for Human FIB

A total of 279 wells from 114 IDEXX trays were successfully cultured on BHIA and 274 of the 279 (98.21%) of the DNA extractions from those wells tested positive for Enterococcus using the EPA Method 1609.1 qPCR assay primers [6]. Using the esp marker, the human-associated Enterococcus assay was conducted on a subset of 117 water samples that tested positive for Enterococcus by IDEXX culture. It is important to note that the discrepancy in numbers arises due to some IDEXX trays having lower MPN values, leading to fewer than three wells being selected from certain trays. After melt curve analysis, samples that displayed a characteristic melt peak temperature of 78.4 ± 0.2˚C were selected for gel electrophoresis to confirm the correct PCR amplicon size. Of the 274 wells that tested positive for Enterococcus, 26 tested positive for the esp marker (9.49%), indicating a total of 15 sampling events out of 117 (12.82%) showed positive for the human Enterococcus esp marker (Figure 2). IDEXX trays that tested positive for Enterococcus were grouped by MPN to visualize the frequency of the esp marker. Of the 22 IDEXX trays that exceeded 104 CFU/100 mL, high MPN, 7 were positive for human-associated esp marker (31.82%) showing an overall higher frequency of human-associated Enterococcus than the IDEXX trays with medium 7/55 (12.72%), and low 1/22 (4.55%) MPN (Figure 3). Chi-square test results show that frequencies of positive occurrence were dependent on esp marker and MPN group (x2 = 6.93, P < 0.05).

Figure 2. FIB marker (Bacteroidales, or Avian Helicobacter) presence among different MPN groupings. High MPN groups are black (>104 CFU/100 mL), medium MPN groups are dark grey (35 - 104 CFU/100 mL), and low MPN groups are light grey diagonal stripes (<35 CFU/100 mL).

Figure 3. Percentage of human-associated Enterococcus and non-human Enterococcus sources at different IDEXX CFU/100 mL as determined by esp gene presence in the subset of samples cultured from IDEXX positive wells [15]. The high group exceeds the beach action value of 104 MPN/100 mL, the medium group is 35 - 104 MPN, and the low group is lower than 35 MPN. Samples containing the human esp marker are represented as grey, while samples lacking that marker are black.

3.2. Non-Human Sources

The qPCR assay that detects the AllBac marker showed that 198/198 (100%) samples were positive for general Bacteroidales. No method blanks showed positive for Bacteroidales indicating that there was no cross contamination during filtration of each of the water samples.

The GFD avian marker had the highest frequency of positives out of all animal-specific markers with 131/198 (66.16%) of all samples showing positive for this marker. The GFD marker showed consistently higher than expected occurrence across all MPN groups with slightly higher occurrence in the high group. Pearson’s Chi-square analysis indicated there is a significant difference (P < 0.01) in the occurrence of the detected Helicobacter-associated avian and animal-associated Bacteroidales markers for each MPN group (Table 2).

The ruminant marker was not commonly present across all water samples with 11/198 (5.56%) positives. This marker was present across all MPN groups with a higher-than-expected occurrence in the high MPN group (Table 2).

Table 2. Pearson’s Chi-square test showing there is a statistically significant difference in frequencies of marker detections between MPN groups and fecal sources (x2 = 19.6, P < 0.01). The + and − signs symbolize whether the marker presence for each MPN group are either higher or lower than expected frequencies. The observed and expected marker frequencies are displayed within the brackets [observed, expected].

Source

High

Medium

Low

Avian

+ [34, 28.78]

+ [71, 62.47]

− [23, 36.75]

Ruminant

+ [7, 2.78]

− [3, 6.03]

− [1, 2.18]

Bovine

+ [4, 0.83]

− [0, 1.81]

− [0, 1.36]

Canine

+ [9, 5.81]

+ [13, 12.61]

− [1, 4.58]

Swine

+ [1, 0.25]

− [0, 0.55]

− [0, 0.19]

The bovine marker was detected in 4/198 (2.02%) of all samples. Of the 8 samples that tested positive for ruminant fecal contamination in Matagorda County, 4 (50%) tested positive for the bovine marker. Brazoria County had no positive samples for the bovine marker indicating other ruminant fecal sources. The bovine marker was only detected in the high MPN group (Figure 2), and was detected in 4/198 (2.02%) of all samples. Brazoria County had no positives for the bovine marker indicating the samples that tested positive for ruminant fecal contamination were not from a bovine source.

Of all samples tested for the horse marker, none tested positive for equine fecal contamination throughout the period of this study (Figure 2). However, the assay was validated using a pure horse fecal sample, which tested positive for the marker.

Canine fecal contamination was present in 24/198 (12.12%) of all samples. This marker was detected in all MPN groups, with a higher frequency in the high MPN group and higher than expected occurrence rate in both high and medium MPN group (Table 2). This is suspected to be from domesticated rather than feral dogs, as a large social beach event occurred on 5/22/23 at the Brazoria sites that tested positive for human and canine marker detection (Table 2).

The Pig2Bac marker showed a low frequency of positives with 1/93 (1.08%) in Matagorda and no positives in Brazoria County throughout the period of this study. This marker was only detected in samples grouped as high MPN (Figure 2).

3.3. Quantifying Detected Markers

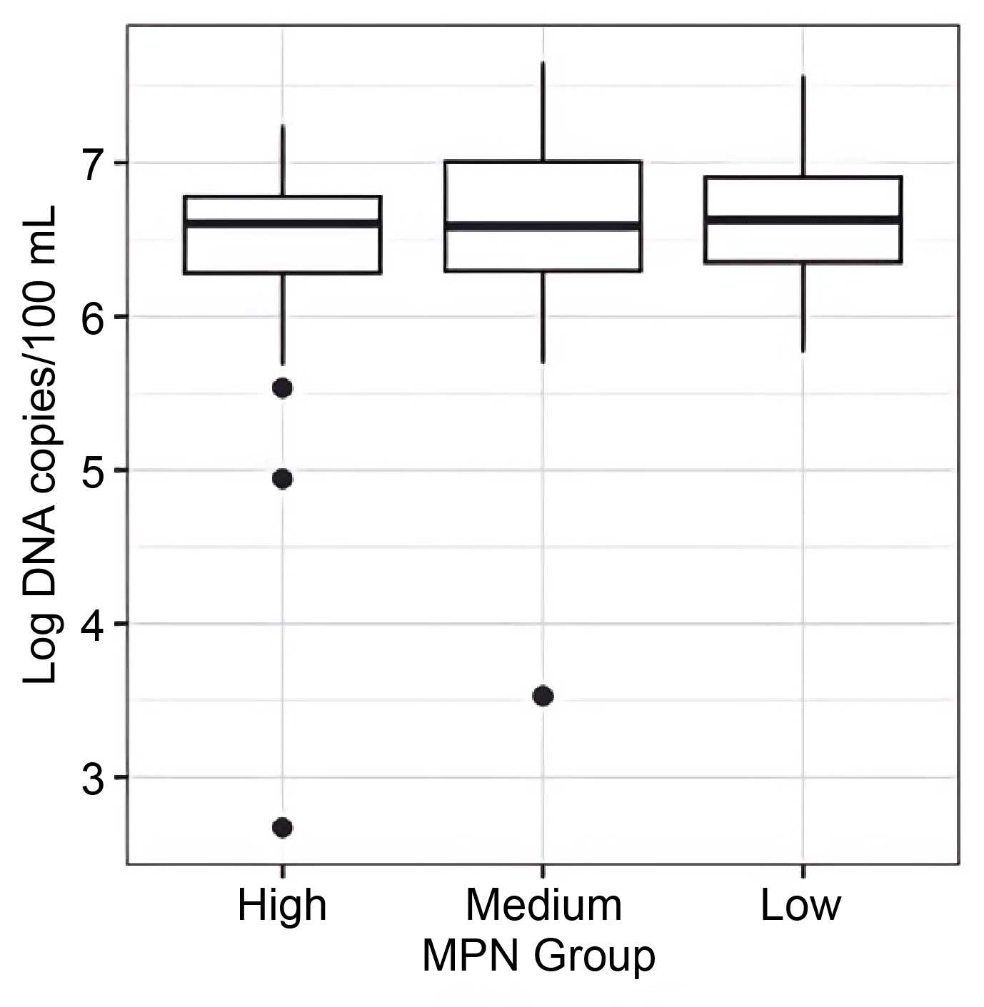
Log DNA/100 mL values for each detected marker were determined using each marker’s respective standard curve and each sample with marker detection was categorized into high, medium, and low MPN groups (Figure 4). One-way ANOVA results for each marker showed that there was no significant difference in log DNA copies/100 mL for each marker across each MPN group, as indicated by P-values all greater than 0.05.

(a) (b)

(c) (d)

(e)

Figure 4. Log DNA copies/100 mL for each FIB target. Target concentrations for samples that tested positive for (a) general Bacteroidales, (b) Helicobacter avian marker, (c) ruminant marker, (d) bovine marker, and (e) canine marker within the respective MPN groups. Equine and human Bacteroidales markers had no positive detections (data not shown).

3.4. Discussion

Recreational water free of fecal contaminants has always been thought to be important for public health, but newer data suggests that source plays a large role in human-associated infections. Culture-based methods to test for FIB have been used for decades, yet provide no indication of the source of fecal pollution [22]. This study used DNA-based MST to identify sources of fecal contamination from water samples collected for traditional culture-based beach monitoring.

A primary objective of this study was to identify and quantify human sources of fecal contamination. No samples in this study were positive by direct qPCR tests for human fecal contamination despite high overall signals of fecal contamination, suggesting lower risk to humans. Human-associated Enterococcus was detected following culture of IDEXX tray wells at a little over 12% of samples (Figure 2), but no human-associated Bacteroidales was detected (Figure 2), which leads to the questions: is the Bacteroidales DNA not as stable, or do these two methodologies vary in their detection of human fecal contamination? Few recent studies utilize the esp marker for human Enterococcus, so its cross-reactivity with Enterococcus sp. from other hosts is unknown.

The inability to detect the human Bacteroides HF183 marker could be due to deviations from sample handling conditions prescribed in EPA Method 1696 [9]. The water samples were frozen before filtration and it is possible that freezing may have impacted DNA extraction and qPCR detection efficiency if the HF183 marker was initially at low concentration. When markers have concentrations that are low or highly variable, they can be difficult to detect due to dilution [8]. Bacteroidales are obligate anaerobes that have a short lifespan when exposed to oxygenated surface water after leaving their host, making detection of the HF183 marker indicative of only recent human fecal contamination [23]. A study on the decay of Enterococcus and HF183 markers by Walters [24] found that the HF183 marker had a higher decay rate than the general Enterococcus marker. Walters [24] also noted that Bacteroidales are Gram-negative cells with a thin peptidoglycan layer while Enterococcus are Gram-positive cells with thick layers of peptidoglycan which could further explain why HF183 marker has a higher decay rate post-host release [24]. However, all samples were positive for the general Bacteroidales assay that detects FIB from animal sources [16], so it would suggest that the human-specific DNA should be detectable as well (Figure 4). Bacteroidales from dog, swine, cow, and general ruminants were all detected, indicating the possibility that human Bacteroidales may not have been present, or below the limit of detection, in the study samples (Figure 4).

We found a significant relationship between esp marker for human Enterococcus sp. occurrence and MPN group (P < 0.05; Table 2), suggesting that it might serve as an indicator of human fecal pollution on a longer timescale than the human Bacteriodales marker, but again, the specificity of the human esp marker remains an unknown. A significant relationship between the esp marker and MPN was also found in a previous study showing when the HF183 and esp marker were compared to FIB, the esp marker was the only marker that correlated with FIB concentrations [25].

A secondary objective of this study was to identify and quantify non-human sources of fecal contamination. This study showed that host-associated Bacteroidales marker occurrences varied depending on the MPN group with higher than expected occurrence rates in markers detected from water samples with high MPN counts (Table 2). Similarly, Ballesté [26] found that there was a significant correlation between MST markers and Enterolert Enterococcus levels.

The canine marker was detected across each MPN group with higher frequency in the high and medium MPN groups (Table 2) and, when present, the concentrations were similarly high across all MPN groups relative to other Bacteroidales markers (Figure 4(e)). We also found samples that tested positive for the canine marker occurred on May 22, 2023 during a heavily attended social beach event located in Brazoria county, indicating that the detection is likely to be from domestic canine sources. However, it cannot be definitively concluded as a previous study indicated that the canine marker is present in both wild and domestic canines [19].

The ruminant marker was also found across all MPN groups with higher marker detection frequency in the high MPN group (Table 2). The concentrations of the ruminant marker were relatively low compared to the other marker concentrations (Figure 4(c)). Ruminant sources are suspected to include deer as it has been documented by Inglis (1979) that white-tailed deer are present in Texas coastal prairie brushland [27]. Of the samples that tested positive for ruminant fecal contamination, half tested positive for the bovine marker with high MPN levels (Table 2). To test if bovine sources were responsible for the ruminant positives, the bovine marker was tested and showed that all samples that showed positive were from samples with high Enterolert MPN.

Markers detected at low frequency included the swine marker, with only one sample screening positive within the high MPN group, the bovine marker, and the horse marker (Figure 2). Although there are numerous pigs, cows, and horses in Texas, the numbers of those animals are low near the beach locations in this study relative to inland sites.

Across all study sites, the avian GFD marker was consistently the most frequently detected source of fecal contamination with the highest concentration across all MPN groups (Table 2). The GFD marker was detected with the highest marker concentrations across all MPN groups (Figure 4(b)) suggesting avian fecal contamination is potentially impacting Enterolert Enterococcus counts. In fact, it has been found in a previous study that gull feces contain Enterococcus in high fecal concentrations, thus gulls and other birds could impact FIB values when monitoring recreational waters using solely culture-based, or Enterococcus DNA methods [28].

4. Conclusion

This study provides some insight into human and non-human contributions to high FIB counts in recreational waters along the Texas coast. All water samples in this study were tested by IDEXX Enterolert prior to MST testing, which is the current test implemented in marine waters for the State of Texas. The average Enterococcus MPN during the study period was unusually low. Although each sample tested positive for the universal Bacteroidales (AllBac) marker, there was no detection of the human-associated Bacteroidales (HF183) marker. However, the human-associated Enterococcus (esp) marker was detected in a few IDEXX tray isolates. The likelihood of finding human Enterococcus was found to be significantly higher in samples with high IDEXX Enterolert MPN values. For the non-human host markers, the variety of markers detected increased as the MPN number increased, but marker concentrations did not increase as MPN increased. The avian marker was consistently the most detected marker and avian fecal pollution is suspected to influence MPN counts. While current culture-based FIB detection methods are well-established, the evolving nucleic acid-based MST assays provide additional detail that may in the future inform advisory warnings on Texas beaches.

Acknowledgements

We acknowledge Jason Pinchback and Lucy Flores of the Texas General Land Office for helpful conversations and background. We thank the Texas General Land Office and the Tarleton State University President’s Excellence in Research Scholars Initiative for financial support of this research.

Conflicts of Interest

The authors declare no conflicts of interest regarding the publication of this paper.

References

[1] González-Fernández, A., Symonds, E.M., Gallard-Gongora, J.F., Mull, B., Lukasik, J.O., Rivera Navarro, P., et al. (2021) Relationships among Microbial Indicators of Fecal Pollution, Microbial Source Tracking Markers, and Pathogens in Costa Rican Coastal Waters. Water Research, 188, Article ID: 116507.[CrossRef] [PubMed]
[2] Xiang, R., Xu, Y., Liu, Y., Lei, G., Liu, J. and Huang, Q. (2019) Isolation Distance between Municipal Solid Waste Landfills and Drinking Water Wells for Bacteria Attenuation and Safe Drinking. Scientific Reports, 9, Article No. 17881.[CrossRef] [PubMed]
[3] Noble, R.T., Blackwood, A.D., Griffith, J.F., McGee, C.D. and Weisberg, S.B. (2010) Comparison of Rapid Quantitative Pcr-Based and Conventional Culture-Based Methods for Enumeration of Enterococcus Spp. And Escherichia coli in Recreational Waters. Applied and Environmental Microbiology, 76, 7437-7443.[CrossRef] [PubMed]
[4] Parker, J.K., McIntyre, D. and Noble, R.T. (2010) Characterizing Fecal Contamination in Stormwater Runoff in Coastal North Carolina, Usa. Water Research, 44, 4186-4194.[CrossRef] [PubMed]
[5] Powers, N.C., Pinchback, J., Flores, L., Huang, Y., Wetz, M.S. and Turner, J.W. (2021) Long-term Water Quality Analysis Reveals Correlation between Bacterial Pollution and Sea Level Rise in the Northwestern Gulf of Mexico. Marine Pollution Bulletin, 166, Article ID: 112231.[CrossRef] [PubMed]
[6] EPA (2015) Method 1609.1: Enterococci in Water by TaqMan Quantitative Polymerase Chain Reaction (qPCR) with Internal Amplification Control (IAC) Assay. EPA-820-R-15-099.
https://www.epa.gov/sites/default/files/2015-08/documents/method_1609-1-enterococcus-iac_2015_3.pdf
[7] Brooks, Y.M., Spirito, C.M., Bae, J.S., Hong, A., Mosier, E.M., Sausele, D.J., et al. (2020) Fecal Indicator Bacteria, Fecal Source Tracking Markers, and Pathogens Detected in Two Hudson River Tributaries. Water Research, 171, Article ID: 115342.[CrossRef] [PubMed]
[8] Ahmed, W., Hughes, B. and Harwood, V. (2016) Current Status of Marker Genes of Bacteroides and Related Taxa for Identifying Sewage Pollution in Environmental Waters. Water, 8, Article 231.[CrossRef
[9] EPA (2019) Method 1696: Characterization of Human Fecal Pollution in Water by HF183/BacR287 TaqMan Quantitative Polymerase Chain Reaction (qPCR) Assay. EPA-820-R-19-002.
https://www.epa.gov/sites/default/files/2019-03/documents/method_1696_draft_2019.pdf
[10] Nshimyimana, J.P., Cruz, M.C., Thompson, R.J. and Wuertz, S. (2017) Bacteroidales Markers for Microbial Source Tracking in Southeast Asia. Water Research, 118, 239-248.[CrossRef] [PubMed]
[11] McMinn, B.R., Korajkic, A., Kelleher, J., Diedrich, A., Pemberton, A., Willis, J.R., et al. (2024) Quantitative Fecal Pollution Assessment with Bacterial, Viral, and Molecular Methods in Small Stream Tributaries. Science of the Total Environment, 951, Article ID: 175740.[CrossRef] [PubMed]
[12] Green, H.C., Dick, L.K., Gilpin, B., Samadpour, M. and Field, K.G. (2012) Genetic Markers for Rapid PCR-Based Identification of Gull, Canada Goose, Duck, and Chicken Fecal Contamination in Water. Applied and Environmental Microbiology, 78, 503-510.[CrossRef] [PubMed]
[13] EPA (2009) Method 1600: Enterococci in Water by Membrane Filtration Using Mem-brane-Enterococcus Indoxyl-β-D-Glucoside Agar (mEl). EPA-821-R-09-016.
https://www.epa.gov/sites/default/files/2015-08/documents/method_1600_2009.pdf
[14] Brady, J.A., Faske, J.B., Castañeda-Gill, J.M., King, J.L. and Mitchell, F.L. (2011) High-throughput DNA Isolation Method for Detection of Xylella Fastidiosa in Plant and Insect Samples. Journal of Microbiological Methods, 86, 310-312.[CrossRef] [PubMed]
[15] Ahmed, W., Stewart, J., Gardner, T. and Powell, D. (2008) A Real‐time Polymerase Chain Reaction Assay for Quantitative Detection of the Human‐Specific Enterococci Surface Protein Marker in Sewage and Environmental Waters. Environmental Microbiology, 10, 3255-3264.[CrossRef] [PubMed]
[16] Layton, A., McKay, L., Williams, D., Garrett, V., Gentry, R. and Sayler, G. (2006) Development of Bacteroides 16S rRNA Gene Taqman-Based Real-Time PCR Assays for Estimation of Total, Human, and Bovine Fecal Pollution in Water. Applied and Environmental Microbiology, 72, 4214-4224.[CrossRef] [PubMed]
[17] Mieszkin, S., Yala, J., Joubrel, R. and Gourmelon, M. (2010) Phylogenetic Analysis of Bacteroidales 16S rRNA Gene Sequences from Human and Animal Effluents and Assessment of Ruminant Faecal Pollution by Real‐Time PCR. Journal of Applied Microbiology, 108, 974-984.[CrossRef] [PubMed]
[18] Kildare, B.J., Leutenegger, C.M., McSwain, B.S., Bambic, D.G., Rajal, V.B. and Wuertz, S. (2007) 16S rRNA-Based Assays for Quantitative Detection of Universal, Human-, Cow-, and Dog-Specific Fecal Bacteroidales: A Bayesian Approach. Water Research, 41, 3701-3715.[CrossRef] [PubMed]
[19] Tambalo, D.D., Boa, T., Liljebjelke, K. and Yost, C.K. (2012) Evaluation of Two Quantitative PCR Assays Using Bacteroidales and Mitochondrial DNA Markers for Tracking Dog Fecal Contamination in Waterbodies. Journal of Microbiological Methods, 91, 459-467.[CrossRef] [PubMed]
[20] Mieszkin, S., Furet, J., Corthier, G. and Gourmelon, M. (2009) Estimation of Pig Fecal Contamination in a River Catchment by Real-Time PCR Using Two Pig-Specific Bacteroidales 16S rRNA Genetic Markers. Applied and Environmental Microbiology, 75, 3045-3054.[CrossRef] [PubMed]
[21] R Core Team (2022) R: A Language and Environment for Statistical Computing (Version 4.2.1). R Foundation for Statistical Computing.
https://www.R-project.org/
[22] Shrestha, A., Kelty, C.A., Sivaganesan, M., Shanks, O.C. and Dorevitch, S. (2020) Fecal Pollution Source Characterization at Non-Point Source Impacted Beaches under Dry and Wet Weather Conditions. Water Research, 182, Article ID: 116014.[CrossRef] [PubMed]
[23] Hachad, M., Lanoue, M., Vo Duy, S., Villemur, R., Sauvé, S., Prévost, M., et al. (2022) Locating Illicit Discharges in Storm Sewers in Urban Areas Using Multi-Parameter Source Tracking: Field Validation of a Toolbox Composite Index to Prioritize High Risk Areas. Science of the Total Environment, 811, Article ID: 152060.[CrossRef] [PubMed]
[24] Walters, S.P., Yamahara, K.M. and Boehm, A.B. (2009) Persistence of Nucleic Acid Markers of Health-Relevant Organisms in Seawater Microcosms: Implications for Their Use in Assessing Risk in Recreational Waters. Water Research, 43, 4929-4939.[CrossRef] [PubMed]
[25] Staley, C., Reckhow, K.H., Lukasik, J. and Harwood, V.J. (2012) Assessment of Sources of Human Pathogens and Fecal Contamination in a Florida Freshwater Lake. Water Research, 46, 5799-5812.[CrossRef] [PubMed]
[26] Ballesté, E., Demeter, K., Masterson, B., Timoneda, N., Sala-Comorera, L. and Meijer, W.G. (2020) Implementation and Integration of Microbial Source Tracking in a River Watershed Monitoring Plan. Science of the Total Environment, 736, Article ID: 139573.[CrossRef] [PubMed]
[27] Inglis, J.M., Hood, R.E., Brown, B.A. and DeYoung, C.A. (1979) Home Range of White-Tailed Deer in Texas Coastal Prairie Brushland. Journal of Mammalogy, 60, 377-389.[CrossRef
[28] Fogarty, L.R., Haack, S.K., Wolcott, M.J. and Whitman, R.L. (2003) Abundance and Characteristics of the Recreational Water Quality Indicator Bacteria Escherichia coli and Enterococci in Gull Faeces. Journal of Applied Microbiology, 94, 865-878.[CrossRef] [PubMed]

Copyright © 2026 by authors and Scientific Research Publishing Inc.

Creative Commons License

This work and the related PDF file are licensed under a Creative Commons Attribution 4.0 International License.