Feedback between Carbon Dioxide and Temperature in the Atmosphere

Abstract

The feedback between carbon dioxide, CO2, and the temperature of the atmosphere is analyzed. Starting with the assumption that the average temperature is a function of the carbon-dioxide concentration in the atmosphere, [CO2], the so-called greenhouse effect, feedback is introduced into the system: increased temperature can further increase the CO2 concentration that causes the temperature rise in so-called positive feedback. On the basis of the available data, it is argued that this cannot be the case; the feedback must be negative at the moment. Moreover, the observed correlation between [CO2] and temperature varies across different time scales, suggesting different processes are at work. It is not possible to explain all the data with a single phenomenon like the greenhouse effect, even when feedback is included.

Share and Cite:

Stallinga, P. (2025) Feedback between Carbon Dioxide and Temperature in the Atmosphere. Atmospheric and Climate Sciences, 15, 391-401. doi: 10.4236/acs.2025.152020.

1. Introduction

Society is currently worried about an anthropogenic global warming scenario (AGW) in which carbon dioxide (CO2) emitted by human industrial activity accumulates in the atmosphere, and this CO2 has a greenhouse effect. One of the primary tenets of this AGW scenario is the existence of large feedback [1]-[3]. Feedback is the effect that changes in the output variable (for instance, temperature T ) lead to changes in the variable that caused them (for instance, CO2 concentration), a technique readily used in electronic circuits [4]. Without this feedback, the greenhouse effect is too small to cause serious alarm for the climate. As an example, the author estimated an effect of 50 mK for a doubling of CO2 in the atmosphere [5], although much higher values can also be found in literature, some as high as several degrees [6] [7]. While values are often claimed to be “indisputable”, any value is difficult to calculate because it would depend on a very well understood atmospheric thermodynamic and radiation system, something that is not the case. The major problem is that all scientific experimentation is necessarily done in a closed system (laboratory), there where the atmosphere is an open system. The author’s value of 50 mK falls below the detection limit and is too small to cause any alarm, even if the effect were to be an order of a magnitude larger. However, feedback effects (increments in T caused by CO2 lead to further increments in CO2) or secondary effects can amplify the effect and the climate can even spiral out of control, as we will see.

But first, we have to define feedback very well since many people in the area seem to have a misunderstanding of the concept; the complexity of the subject is the reason why engineering books are dedicated to it. Yet, the starting idea of feedback is simple: Feedback is when the input signal ( x ) of a system causes a change of output signal ( y ) and this change of output signal, in turn, causes a change of input signal x . Other forms of signal propagation are not feedback; the output signal has to affect the input signal. While feedback is a source for correlations, there are generally six different reasons for correlations between observables x and y (see Figure 1) [8]:

Figure 1. Six different ways of correlations. 1: coincidental, 2: common base, 3: transitive, 4: combinative, 5: unidirectional, 6: bidirectional (feedback). Adapted from Ref. [8].

1) Coincidental: x and y independent of each other, but by chance seem to be correlated.

2) Common base: B causing x and y . B is normally called a “confounder”.

3) Transitive: x causing B causing y , x not causing y .

4) Combinative: x plus B causing y , x or B independently not causing y . (ex: Water plus cold gives ice) .

5) Unidirectional: x causing y or y causing x .

6) Bidirectional (feedback): x causing y and y causing x .

The last one is the most complex and has the most chaotic behavior. Note that the causalities in the two directions in that case do not necessarily have to be of equal strength (which anyway only makes sense if x and y are in the same domain and have the same unit).

Here, we will analyze scenario 6, more precisely, the feedback between the concentration of CO2 in the atmosphere and the temperature. In our case, we consider the carbon dioxide concentration in the atmosphere, [CO2], as input signal x , with the surface temperature T as output signal y . Feedback is then any effect of T that changes this [CO2]. Other effects are secondary and not feedback. For instance, the effect that [CO2] causes changes in temperature and these, in turn, cause changes in water content of the atmosphere, which further add to changes in the temperature. We can call this an amplifying effect, but not feedback of [CO2] and T . Amplification is, however, not the aim of this work. We only intend to analyze the feedback between carbon dioxide in the atmosphere and temperature. Moreover, we will start from the premise that nature and the atmosphere were in equilibrium or steady state, meaning that all concentrations and temperatures were stable up to the arrival of the industrial revolution. To analyze feedback, we first present the data used.

There exist many data sets, on various scales in time. The most famous is the one presented by Al Gore in his movie Inconvenient Truth [9]. These data span some 800 thousand years and show a clear positive correlation of 95 mK/ppm between temperature ( T ) and carbon dioxide concentration in the atmosphere, [CO2], see Figure 2(c), and this caused major concern among politicians. However, as we know from our statistics lectures, “Correlation is not causation”. It is not clear if the correlation is not purely accidental, and even if it isn’t, we do not know which is the cause and which is the effect. Does CO2 affect the temperature, or is it the other way around? The model that [CO2]-change causes temperature-changes—climate change—is called the greenhouse effect (GHE), a radiation-balance model. Yet the opposite model, that temperature changes cause [CO2] changes, also exists and is called Henry’s Law (HL), an outgassing of oceans model. The latter, by itself (without feedback effects), can readily explain the observed data of Al Gore, as discussed in an earlier work [10].

In contemporary data (Figure 2(a)), a positive correlation was also found, albeit with a smaller correlation factor (10.2 mK/ppm). This casts some doubt as to the validity of the greenhouse-effect model if we want to say CO2 is the only or dominant climate driver, since such a model does not allow for long delay effects between changes in [CO2] and T ; it is well known that the radiation balance gets established in a time frame of about 40 days [14], as evidenced by the fact that the hottest/coldest day is one month after the longest/shortest day. The effects visible in the 800-ka-time window of Figure 2(c) should also be visible in the time window of 60 years of Figure 2(a). This is a puzzling discrepancy between model and reality. As we will see, this cannot even be explained when feedback is added to the model.

(a) (b)

(c) (d)

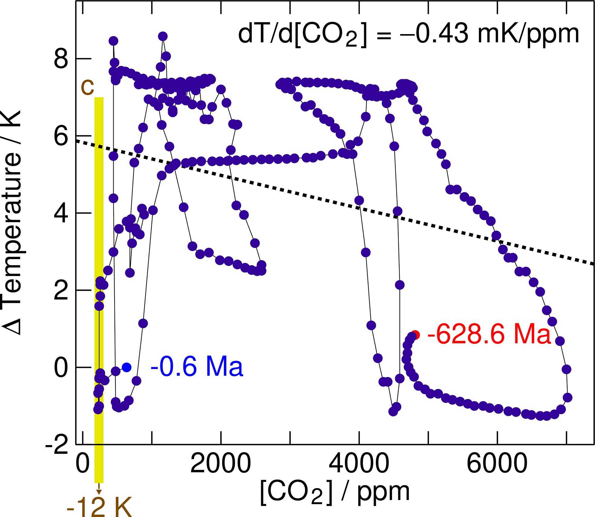
Figure 2. Correlation plots of temperature and [CO2] at various time scales, (a) 60 years [11]; (b) 11 thousand years [11] [12]; (c) 800 thousand years [10]; (d) 630 million years [11] [13]. The first and last data points in the series are shown in red and blue, respectively. The yellow areas are the scale of the preceding plot (of a smaller time scale). (Notes: the scale of (a) falls far off (b); the scale of (c) falls mostly off (d); in (b) a 0-K-anomaly of −31˚C was assumed).

Even stronger doubt is cast by the data at the intermediate and extreme-long time scales, see Figure 2(b) (11 ka) and Figure 2(d) (630 Ma), respectively. In both these scales, no strong correlations are seen; (rather poor) fits even result in negative correlation factors (−43 mK/ppm and −0.43 mK/ppm, respectively), although in the geological long-time-scale data, million-year periods of consistent negative correlation are observed.

This merits a closer look, which is an analysis we present here. In the current work, we will only look at the mathematics of feedback between CO2 and temperature and find out under what conditions they cause what effects. It will be shown that the hypothesis of carbon-dioxide being a strong driving factor of temperature is untenable.

2. Results and Discussion

We will start by adding feedback to the model. Figure 3 shows the basic model of a system with feedback. We take here as an example how [CO2] changes the temperature T with a transfer factor of A (if input and output variable had the same unit, this transfer function would be called “gain”). A is the factor that includes things like the greenhouse radiation balance but can also incorporate other, amplifying, phenomena such as those involving water as mentioned above. We call this the open-loop transfer function or the general greenhouse effect (GHE).

Figure 3. Feedback. The bottom left plot shows a color-coded result of total transfer function f (Equation (1)) for combinations of values of open-loop transfer A (for instance, greenhouse effect) and feedback β . The plot above is a cross-section of this plot for a fixed value of A=1 . For this value of A , this is equal to the function g (Equation (3)) as well. The top-right shows a functional diagram of feedback for greenhouse-effect plus feedback (GHE + FB) and Henry’s Law and feedback (HL + FB). Below are the function definitions and another rapid color-coded representation of the total transfer function f as a function of the loop gain Aβ . The current situation is indicated with a green full circle.

Part of these temperature changes then affect, in turn, the CO2 concentration with a transfer factor of β summed to it at the input signal of [CO2]. See the diagram labeled GHE + FB, which shows the greenhouse effect combined with feedback. It must be pointed out here that mathematically, this is fully equivalent to the model shown below it, labeled HL + FB, Henry’s Law combined with feedback. Namely, one in which the temperature affects [CO2] with a transfer factor A and this is fed back to temperature with a feedback factor β . The end result is equal. What differs is only the point of view. Humans like human points of view and thus like to see it from the side of CO2, since that is the one the humans are increasing. We can also talk in general terms of input x and output y where we can imagine that x is [CO2] added (sic) to the atmosphere and y is the resulting temperature through the greenhouse effect, or the other way around in the model of Henry’s Law. We also can define a helper variable z . This z represents the signal directly after the summing of feedback βy to the input x . In our case, there where x represents the CO2 injected into the atmosphere, z is the amount of z that is observed in the atmosphere. It is this variable z that is used in the data of the correlation plots of Figure 2. It is for instance the [CO2] measured at Mauna Loa, where x would be the amount of CO2 initially added to the atmosphere, based on calculations of emissions of human activity. An important distinction with important consequences as will be show.

The open-loop transfer function without feedback is A , while with feedback β the total transfer function f is given by

f y x = T [ CO 2 ] added = A 1Aβ , (1)

in which Aβ is called the loop gain, and needs to be smaller than 1, for reasons discussed in a moment. If we add the equivalent of 1 ppm of CO2 to the atmosphere, that is 8.1 Gt of CO2, and this function tells us how much the temperature of the bottom of the atmosphere will rise. That is, however, not what we measure. What we observe in the correlation plots is the ratio of y and z , and this is simply given by

h y z = T [ CO 2 ] atm =A. (2)

We simply measure the incremental greenhouse effect in correlation plots of [CO2]atm and temperature (Figure 2). The linearity in the equation represents the correlation found for the derivative, dy/ dz ; it is the slope in a correlation plot and represents the greenhouse effect. The linearity assumption is reasonable since deviations of z and y are small. Also, no non-linearity effects are observed in Figure 2. Using higher-order polynomials would not increase the fitting quality. The problem of fitting rather lies in the chaotic nature of the data and not their non-linearity. For a fit, though, we take A and β to be constants, to better highlight the conclusions. None of these conclusions would be different for non-constant parameters.

Before we continue, we introduce another useful relation, namely one that shows how much the carbon-dioxide in the atmosphere changes when we add a certain amount of it to it. It is the ratio of z and x and is given by

g z x = [ CO 2 ] atm [ CO 2 ] added = 1 1Aβ . (3)

The above equation (of f or g ) is shown in the figure on the bottom left in a 2D-plot for combinations of A and β where the overall gain is color-coded: red for positive and black for negative, with the intensity of the color representing the magnitude. The thin yellow line between the red and black zones is the line of divergence, given as Aβ=1 , where the effect reaches infinity. The panel above it, on the top-left of the figure, gives a 1D-cross-section of this plot for constant A (equal to 1, indicated by a dashed line in the bottom-left panel). We see indeed that at Aβ=1 the transfer function reaches infinity.

We can already make a very important conclusion at this point: Because of the simple, functional relation between measured quantities y and z —namely simply invariably by y=Az i.e., not modeled in any shape or form, that is not affected by feedback, we can immediately conclude at this point that the correlation plots cannot be (all) explained solely by the phenomenon of the carbon-dioxide greenhouse effect, since the plots show different correlations h= dT/ d [ CO 2 ] atm , and since this is equal to A (Equation (2)) it’d imply a change in laws of physics, considering the fact that the range of [CO2] is similar, in some cases even equal. There must thus be other phenomena causing the correlation between the two at different timescales, and these phenomena might then also include those in which cause and effect are reversed, with T changes causing [CO2] changes, as in Henry’s Law that directly fits very well on the 800-thousand-year time scale. On the other hand, none of the correlations observed are close to the theoretical value of the greenhouse effect (estimated to be about 140 μK/ppm [5]; the smallest positive correlation is two orders of magnitude larger, as shown in Figure 2(a). Even using an extreme theoretical value of 1 K for doubling of [CO2] results only in 4 mK/ppm, which is still much too low), and no feedback can make this correlation bigger, since feedback has no effect on the observed correlation (note the absence of β in Equation (2)). Also, we remind the reader that no delay effects can be incorporated into the radiance-balance model of the greenhouse effect, which is in sharp contrast to other models. We thus state here that there exists no unequivocal experimental evidence for the carbon-dioxide greenhouse effect; if the greenhouse effect cannot explain all data, it might as well explain none. And even if it can explain some data, we experimentally do not know which. Yet, we continue to find out what more information we can extract from the data, especially concerning feedback.

When the loop gain Aβ is unity, the overall transfer function f and gain function g are infinite. For values below unity (including all negative values) both f and g are positive and stable. For values of the loop gain above unity, the values predicted by the above equations are metastable, which means that any tiny deviation from the metastable value will drive the output towards infinity, either on the positive or on the negative side. As an example, for A=2 and β=1 , the output value for x=1 is given by y=2 and z=1 . However, any small perturbation puts the system off-balance. As an example, imagine a small change to y=2.1 , it leads to z=1.1 , and to y=2.2 . Then z=1.2 and y=2.4 , etc., eventually to . Or a small change up, y=1.9 will lead to z=0.9 , etc. and to y=+ . That is why the system for loop gains above Aβ>1 is unstable in practice. Why does popular science talk about a “point of no return”? Indeed, if the system is unstable, any tiny perturbation will push the system towards climate doom. However, if this is the case, the system is unstable and already beyond redemption regardless of our human activity; a single fart of a termite has tipped the scale already to a trajectory to positive infinity that we are now witnessing, and human activity can now no longer invert it; we’d be just enjoying the ride, even if we were able to sequester the equivalent of a termite fart. This is an alarming scenario, and if true, words like “we have only so much time [to act]” are correct, but already useless, since any act is useless; the last part of the sentence is imagined. Note that A and β are both system parameters over which we have no control; they just are what they are, given by nature and no human action will change their value. It thus all boils down to the factual value of the feedback loop gain Aβ . Is it larger than unity? If yes, we are doomed. If not, then how close is it to unity? We can actually get an accurate estimate of the value of Aβ , where estimates of A and β separately are very difficult, with β as good as impossible, as mentioned at the beginning of the text.

From Figure 3, it is also clear that the total transfer function f can be much larger than the open-loop transfer A , when the loop gain Aβ is close to unity from the lower side. It is, theoretically, possible that adding a single molecule of CO2 has an enormous impact on the temperature when Aβ approaches unity—there is theoretically no limit. It is, however, probabilistically very unlikely that Aβ is close to unity; considering the enormous range of possibilities for A and β it is improbable that the loop gain is close to unity. It casts some serious doubts on the current models that indeed need such proximity.

The separate values of A and β are difficult to determine experimentally. There where the greenhouse effect can still be more or less determined from absorption experiments (and the value is allegedly zero for CO2 concentrations above 80 ppm [15]), values for β are found by simply fitting the data. We can, however, easily find the product of A and β . The increment of CO2 in the atmosphere when 1 ppm was added to it, g , was found in Equation (3). Contemporary experimental data show that only slightly over 50% of the added CO2 stays in the atmosphere [16]; g0.5 . Thus, without going into detail as to what the physical phenomenon responsible for it actually is, we can state with high confidence that the loop gain on the basis of experimental data is given by

( Aβ ) exp = g1 g =1. (4)

This is indicated in Figure 3 by a green line and full green circle. That is another important conclusion, because, if we want to assume a CO2 greenhouse effect as the sole climate-driving phenomenon, one that is responsible for the correlation h=A between [CO2] and temperature in modern times—in other words, our premise stated in the beginning—then the feedback is negative at this moment—because A (the greenhouse effect) is undeniably positive—and the system is thus stable, with a total effect (Equation (1)) of only half of the open-loop greenhouse effect A . In reality, feedback, by its negative sign, does not make things worse, but actually better. The effect of added CO2 is actually mitigated by a factor 2: f=A/2 (Equation (1)). Without knowing the exact functions of A( p ) and β( p ) on some parameter set p (that incorporates all physical, chemical and biological effects)—and whether they are linear or not—at this moment in time, the feedback loop A( p )β( p ) is equal to −1, and if the greenhouse effect is the climate forcing phenomenon, A( p ) is positive (the greenhouse effect is a monotonously growing positive function of [CO2]) and thus feedback is negative, making the climate stable and not beyond redemption.

We had already concluded that the correlations found in different timescales of the plots of Figure 2 are not solely caused by the CO2 greenhouse effect because feedback cannot change the correlation coefficient h=A . Now we conclude that feedback can change—amplify or attenuate—the effect of adding CO2 to the atmosphere, even dramatically, but fortunately, at this moment, the feedback effect in the GHE scenario would be negative, and it’d thus attenuate the CO2 greenhouse effect.

Having dismissed the CO2 greenhouse effect, at least for some timescales, we can now speculate on alternative explanations. We can try an opposite model, where [CO2] is a function of temperature rather than its cause. An example is the before-mentioned Henry’s Law. It does explain the correlation between the two perfectly in the 800-thousand-year data, as shown in earlier work [10]; the transfer function, with now x representing temperature T and y representing concentration [CO2], is equal to A=10 ppm/K. We are, however, left with explaining the data in other time scales, and that seems not possible with only Henry’s Law. For the same reason, the GHE effect can never explain all correlations found. The latter does not even explain one well.

Take, for example, the contemporary data of the last 60 years that show a correlation of 100 ppm/K, which is an order of magnitude too large for HL, or the paleontology data that can show huge correlations of −2000 ppm/K. Sign changes of correlation h are changes of sign of the transfer function A , suggesting a different driving phenomenon altogether. We must, however, realize that Henry’s Law is not about absolute concentrations, but relative ones; it is the ratio of CO2 concentrations in the atmosphere and CO2 concentrations in the oceans. If, on a large scale, the total amount of CO2 in the atmosphere-ocean system changes, this will have a direct effect on [CO2] in the atmosphere, even if the temperature does not change. We can thus explain how the correlation between [CO2] and T can vary. On a contemporary time scale, it is clear why the temperature has risen so little compared to the GHE model; CO2 simply does not have a large effect on temperature.

Moreover, Henry’s Law allows for large delay effects (estimated to be some 700 years by Indermühle [17]); nature is doing its best to process the excess CO2 injected by human activity into the atmosphere, yet is outpaced by our industry and only manages to remove about half of it, this happening at an adjustment time scale of about half a decade [18].

However, these are more speculative comments. The main message of this work is that the data on CO2 cannot be explained by the model of the greenhouse effect as the driver for temperature, even if we include feedback in the model. The feedback cannot change the correlation and moreover, feedback is empirically found to be negative. The latter is important because it implies the climate is stable and no “tipping points” exist and observations such as those made by Lenton et al., “Climate tipping points—too risky to bet against” [7], are beside the point. For instance, the idea that the ice will irreversibly collapse [7] has been refuted earlier by us by pointing out that sea ice exhibits a negative feedback mechanism by such ice being a thermal insulator, thus trapping heat below it [19].

3. Conclusions

This work does not argue against the prevailing anthropogenic global warming scenario; without claiming it to be true, it assumes that the greenhouse effect is correct (the GHE was addressed in other publications). It tests the hypothesis that in the GHE framework, the feedback in the climate is positive, and it is shown that in the modern situation, this hypothesis is untenable. This implies, at the moment, a stable climate. The data used to reach this conclusion are contemporary data, which show that Aβ=1 at this moment, and with A (the greenhouse effect) positive, feedback β must be negative.

As a second point, an alternative hypothesis to the greenhouse effect is presented, namely Henry’s Law (HL). On the basis of all data in all time frames, this hypothesis, at first sight, also seems to be rejected because although it can explain the 800-thousand-year data to perfection, it cannot explain data at all time scales. However, the HL model might survive because, in this scenario, not necessarily the amount of CO2 is constant; the correlations in the plots do not show HL, but rather fluctuations of [CO2] caused by other mechanisms and not only temperature (for instance anthropogenic contributions in modern times). Moreover, in contrast to GHE, HL does permit a delay between cause and effect in the order of a thousand years; contemporary data are still in line with HL. As such, this alternative hypothesis, HL for contemporary data, cannot be rejected on the basis of the available data.

The work does not pretend to go beyond the scientific testing (Popper-style [20] [21] [22]) of these hypotheses and does not intend to explain all data and come up with a model that fits all. The climate subject is too complex for that, and any one-model-fits-all claim would be too pretentious. The manuscript solely discusses the testing of the hypotheses on the basis of existing data. It does not try to present a causal relation between [CO2] and temperature.

Conflicts of Interest

The author declares no conflict of interest

References

[1] Stocker, T.F. (2001) Physical Climate Processes and Feedbacks, Chapter 7. IPCC, 417-470.
[2] The King’s Centre for Visualization in Science.
https://explainingclimatechange.com/lesson7/lesson7.html
[3] Hartmann, D. (2016) Global Physical Climatology. 2 Edition, Elsevier.
[4] Sedra, A.S. and Smith, K.C. (1997) Microelectronic Circuits. 4th Edition, Oxford University Press.
[5] Stallinga, P. (2010) De Mythe van Klimaatsveranderingen (Dutch. the Myth of Climate Changes). Lulu.
[6] Rahmstorf, S. (2008) Anthropogenic Climate Change: Revisiting the Facts. In: Zedillo, E., Ed., Global Warming: Looking beyond Kyoto, Brookings Institution Press, 34-53.
[7] Lenton, T.M., Rockström, J., Gaffney, O., Rahmstorf, S., Richardson, K., Steffen, W., et al. (2019) Climate Tipping Points—Too Risky to Bet Against. Nature, 575, 592-595.[CrossRef] [PubMed]
[8] Stallinga, P. and Khmelinskii, I. (2017) Perils and Pitfalls of Empirical Forecasting. European Scientific Journal, ESJ, 13, 18-46.[CrossRef
[9] Gore, A. and Guggenheim, D. (2006) An Inconvenient Truth. Produced by Participant Media and distributed by Paramount Classics
[10] Stallinga, P. (2020) Comprehensive Analytical Study of the Greenhouse Effect of the Atmosphere. Atmospheric and Climate Sciences, 10, 40-80.[CrossRef
[11] Stallinga, P. (2018) Signal Analysis of the Climate: Correlation, Delay and Feedback. Journal of Data Analysis and Information Processing, 6, 30-45.[CrossRef
[12] Climate4You (2019) Temperature Since 10700 bp with CO2 from EPICA DomeC.
https://www.climate4you.com/GlobalTemperatures.htm
[13] Nahle, N. (2007) Geologic Global Climate Changes.
[14] Stallinga, P. and Khmelinskii, I. (2014) Application of Signal Analysis to the Climate. International Scholarly Research Notices, 2014, Article ID: 161530.[CrossRef] [PubMed]
[15] Angstrom, K. (1901) On Atmospheric Absorption. Monthly Weather Review, 6, 268.
[16] Stallinga, P. and Khmelinskii, I. (2018) Analysis of Temporal Signals of Climate. Natural Science, 10, 393-403.[CrossRef
[17] Indermühle, A., Monnin, E., Stauffer, B., Stocker, T.F. and Wahlen, M. (2000) Atmospheric CO2 Concentration from 60 to 20 Kyr BP from the Taylor Dome Ice Core, Antarctica. Geophysical Research Letters, 27, 735-738.[CrossRef
[18] Stallinga, P. (2023) Residence Time Vs. Adjustment Time of Carbon Dioxide in the Atmosphere. Entropy, 25, Article 384.[CrossRef] [PubMed]
[19] Stallinga, P. and Khmelinskii, I. (2017) Negative Feedback in the Polar Ice System. Atmospheric and Climate Sciences, 7, 76-91.[CrossRef
[20] Feynman, R. (1965) The Character of Physical Law. The MIT Press.
[21] Popper, K.R. and Hudson, G.E. (1963) Conjectures and Refutations. Physics Today, 16, 80-82.[CrossRef
[22] Chalmers, A.F. (1982) What Is This Thing Called Science? 2 Edition, Open University Press.

Copyright © 2026 by authors and Scientific Research Publishing Inc.

Creative Commons License

This work and the related PDF file are licensed under a Creative Commons Attribution 4.0 International License.