Comparative Study of the Survival and Productivity of Glossina palpalis gambiensis Fed with Bovine Blood Collected at the Bobo-Dioulasso and Koubri Slaughterhouses in Burkina Faso
Ange Irénée Toé1,2*orcid, Soumaïla Pagabeleguem2,3, Vimbar Mireille Somé2,4, Zakaria Bengaly5, Ibrahima Ky2,6, Abdramane Bagayogo2, Nabi Daouda Dao2, Adrien Marie Gaston Belem7
1Centre Universitaire de Tenkodogo, Université Thomas Sankara, Ouagadougou, Burkina Faso.
2Insectarium de Bobo-Dioulasso-Campagne d’Eradication de la mouche tsé-tsé et de la Trypanosomose (IBD-CETT), Bobo-Dioulasso, Burkina Faso.
3Institut des Sciences de l’Environnement et du Développement Rural, Université Daniel Ouézzin-Coulibaly Dédougou, Dédougou, Burkina Faso.
4Centre Universitaire de Dori, Université Thomas Sankara, Ouagadougou, Burkina Faso.
5Centre International de Récherche-Développement sur l’Elevage en zone Sub-humide, Bobo-Dioulasso, Burkina Faso.
6Ecole Nationale de l’Elevage et de Santé Animale, Ouagadougou, Burkina Faso.
7Institut du Développement Rural, Université Nazi Boni, Bobo-Dioulasso, Burkina Faso.
DOI: 10.4236/jacen.2025.142012   PDF    HTML   XML   55 Downloads   279 Views  

Abstract

Maintaining a high production rate by producing good quality pupae of Glossina palpalis gambiensis is the main challenge of colony management during mass rearing process. Feeding tsetse flies with high-quality bovine blood is the better solution for resolving the problem. The overall objective of this study was to contribute to the improvement of tsetse fly feeding quality in tsetse fly mass rearing through the evaluation of tsetse fly productivity. To achieve this goal, 2 batches of 05 cages each containing 150 females and 50 males of G. palpalis gambiensis were set up. Each batch of tsetse was fed with blood from either the Bobo Dioulasso or Koubri slaughterhouse. The parameters evaluated were: survival, pupal weight and number of pupae produced per initial female. Survival was not significantly influenced by the origin of the blood used. On the other hand, the number of pupae per initial female was quite significantly higher with the batch using Koubri blood (p > 0.05). Tsetse flies fed with bovine blood collected at the Koubri abattoir had better survival and productivity parameters than those fed with blood collected at the Bobo-Dioulasso slaughterhouse.

Share and Cite:

Toé, A.I., Pagabeleguem, S., Somé, V.M., Bengaly, Z., Ky, I., Bagayogo, A., Dao, N.D. and Belem, A.M.G. (2025) Comparative Study of the Survival and Productivity of Glossina palpalis gambiensis Fed with Bovine Blood Collected at the Bobo-Dioulasso and Koubri Slaughterhouses in Burkina Faso. Journal of Agricultural Chemistry and Environment, 14, 183-192. doi: 10.4236/jacen.2025.142012.

1. Introduction

African human and animal trypanosomoses (AATs) are parasitic vector-borne diseases transmitted mainly by tsetse flies [1]. Given their distribution in 38 countries in sub-Saharan Africa [2] [3], they hamper the development of sustainable and productive agricultural systems over more than ten million square kilometers in the region [2] [3], leading to huge losses in terms of animal and crop production, estimated at 4.75 billion dollars a year [4]. They are also responsible for more than 3 million cattle deaths a year, with an estimated economic impact of more than €2 billion for cattle alone, and more than double that for all livestock [5] [6]. The annual losses caused by AATs to livestock and agriculture amount to around US $ 4 - 4.5 billion [4] [7].

Chemotherapy and the breeding of trypanotolerant animals are the two main strategies for combating AAT, but they have their limits, linked respectively to the development of resistance to the same molecules that have been used for decades [8] [9] and the low adoption of trypanotolerant breeds by producers due to their low productivity [10]. Vector control is, therefore, the most decisive of the three strategies for tackling AATs [11] [12]. It remains the most effective method and could be used in conjunction with chemotherapy to ensure efficient and sustainable control. Vector control is implemented as part of a zone-wide integrated control approach, combining chemical methods (chemotherapy, insecticide spraying, screens and impregnated traps) and biological methods. Vector control is implemented as part of a zone-wide integrated pest management approach, combining chemical methods (chemotherapy, insecticide spraying, screens and impregnated traps) and biological methods using the sterile insect technique (SIT) [13] [14]. SIT is one of the most effective and environmentally-friendly methods, with no pollution or destruction of the ecosystem.

The application of SIT requires mass production of sterile male tsetse flies. In order to better apply this technique, the Insectarium of Bobo-Dioulasso-Campagne d’Eradication de la mouche tsé-tsé et de la trypanosomose (Bobo-Dioulasso tsetse fly and trypanosomosis eradication campaign), an establishment specialising in the mass rearing of tsetse flies, was built with a production capacity of around 1,000,000 sterile males per week. The aim of the centre is to provide sterile male tsetse flies for the various control campaigns in the West African sub-region. [15] [16]. It began production in June 2016 and since 2017, the Insectarium de Bobo-Dioulasso (IBD) has been supplying 50,000 sterile male pupae a week to Senegal as part of the Area-Wide-Insect Pest Management AW-IPM programme [15]. Tsetse flies reared at the Bobo-Dioulasso Insectarium are fed four times a week (Monday, Tuesday, Thursday and Friday) [15]. In order to obtain quality tsetse flies, they must be fed with a sufficient quantity of quality blood. Blood is collected at the Bobo-Dioulasso cold-storage abattoir for occasional feeding needs, and also at the Koubri abattoir to build up a reserve.

However, the current quality and quantity of blood collected at the abattoir seems insufficient for efficient biological control on a regional scale.

The aim of this study is to compare the biological parameters of tsetse flies fed with blood from the Bobo-Dioulasso refrigerated abattoir with those from the rural commune of Koubri in Ouagadougou, Burkina Faso, in order to determine which of the blood collection centres offers better quality blood.

2. Methodology

2.1. Location of the Study

The study was carried out at the Bobo-Dioulasso Insectarium (IBD) located at Darsalamy (11˚03'32.4''N and 4˚21'10.9''W), 15 km from Bobo-Dioulasso, in Burkina Faso. Since its creation, two species have been rear in mass at the IBD, namely: G. palpalis gambiensis and G. morsitans submorsitans [15]. Tsetse fly colonies are maintained at 24˚C - 25˚C and 75% ± 5% relative humidity with a 12:12 h light/dark photoperiod [17] [18]. Hobo U14-001 data loggers were placed inside the rearing rooms and programmed to display temperature and relative humidity every minute and to record data every 30 minutes.

2.2. Insectaries Flies

The experiments were conducted with the species Glossina palpalis gambiensis. They involved teneral tsetse flies, i.e. those that had not yet taken their first blood meal. This species was domesticated more than 45 years ago at the CIRDES insectarium in Bobo-Dioulasso [19] [20]. Domestication was carried out at the Centre de Recherche sur les Trypanosomiases Animales (CRTA), now CIRDES, in 1975 using pupae collected in the field [20] at the Guinguette and the hippopotamus pond.

2.3. Blood

The blood used was bovine. It was collected at the Bobo-Dioulasso refrigerated slaughterhouse (12˚26'21''N et 3˚25'38''O) and the Koubri slaughterhouse (12˚15'14.1''N et 1˚26'15.2''O) located about 40 km from Ouagadougou during slaughtering sessions on the ground using a 750 ml plastic bucket. It was defibrinated using a Ryobi 18v defibrinator with a diameter of 13 mm and then irradiated at 1 KGry using a cobalt *60 irradiator (model 812, Sn 002). The bacteriological test consisted of incubating at 37˚C for 72 h a bacteriological culture on agarose gel in a 1 ml petri dish. The quality of this blood is considered good if after these 72 h the number of bacterial colonies is less than 10. The blood is spread between an artificial silicone membrane and a food plate heated to 36˚C ± 1˚C.

2.4. Concept Expérimental

The study was carried out from June 20th to September 21th 2022 with 2 batches of tsetse flies of 05 replicates each. Each cage contained 150 females and 50 males of G. palpalis gambiensis (Table 1). The average age of the females was 3 to 4 days and the average age of the males was 6 to 8 days. The difference between replicates was due to the date of emergence of the tsetse turtles, i.e. those that had not yet taken their first blood meal. The mating cages were placed in plastic plates which were used as nesting boxes. Pupae were collected daily (except Sunday, which was a rest day for the staff) and sorted into normal and runts. Normal pupae were weighed using an electronic balance with a sensitivity of 0.0001 mg and a maximum capacity of 240 g with automatic calibration (Sartorius MSE2 7S-000-DM Cubis Ultra).

Table 1. Distribution of the number of tsetse flies for the experiments according to batch repetition and sex.

Repeats

Batches

Flies fed with blood from the Koubri slaughterhouse

Flies fed with blood from Bobo Dioulasso slaughterhouse

Female

Male

Female

Male

1

150

50

150

50

2

150

50

150

50

3

150

50

150

50

Total

450

150

450

150

2.5. Data Analysis

The data collected were entered into a database using Microsoft Excel 2016 spreadsheet software. Statistical analyses and figures were performed with R software (version 4.4.1) [21] using RStudio (RStudio, PBC. Boston, MA, USA, 2020). Descriptive statistics were used to determine the means and standard deviations of the data. For the comparison of variables, each difference was considered significant if p < 0.05.

The survival of flies from the different batches was analysed on the basis of daily mortalities using Kaplan-Meier survival curves. Survival curves were compared using the coxph model from the “Survival” package, with batch as the explanatory variable and daily mortality as the variables to be explained. A generalized linear mixed effect model was used to analyze the number of pupae produced per female by 10 days (Ppf10days) (with a Poisson distribution) and the pupal weight (with a Gaussian distribution) [22] where the slaughterhouse of blood collection, the cage and their interactions were considered as fixed variables. Differences between the levels of significant fixed factors were analyzed using post hoc Tukey tests (glht function in package multcomp) [23]

3. Results and Discussion

3.1. Results

Temperature and relative humidity during the experiments

The data recorded by the Hobbo® data loggers showed that the mean temperature (±sd) of the experimental room during the experiments was 25.1˚C ± 0.54˚C and the mean relative humidity (±sd) was 80.08% ± 4.94% (Figure 1).

Figure 1. Temperatures and relative humidities recorded in the experimental room during the experiment.

Survival rate

Fifty days after monitoring, of all the dead flies (males and females), 5.08% had blood in the abdomen and 94.92% were starving. The statistical analysis showed that there was a significant difference between the rate of dead flies with or without blood in the tsetse fly abdomen (X2 = 0.42, p = 1.75e−05). Survival was influenced by cage number (p = 0.02506).

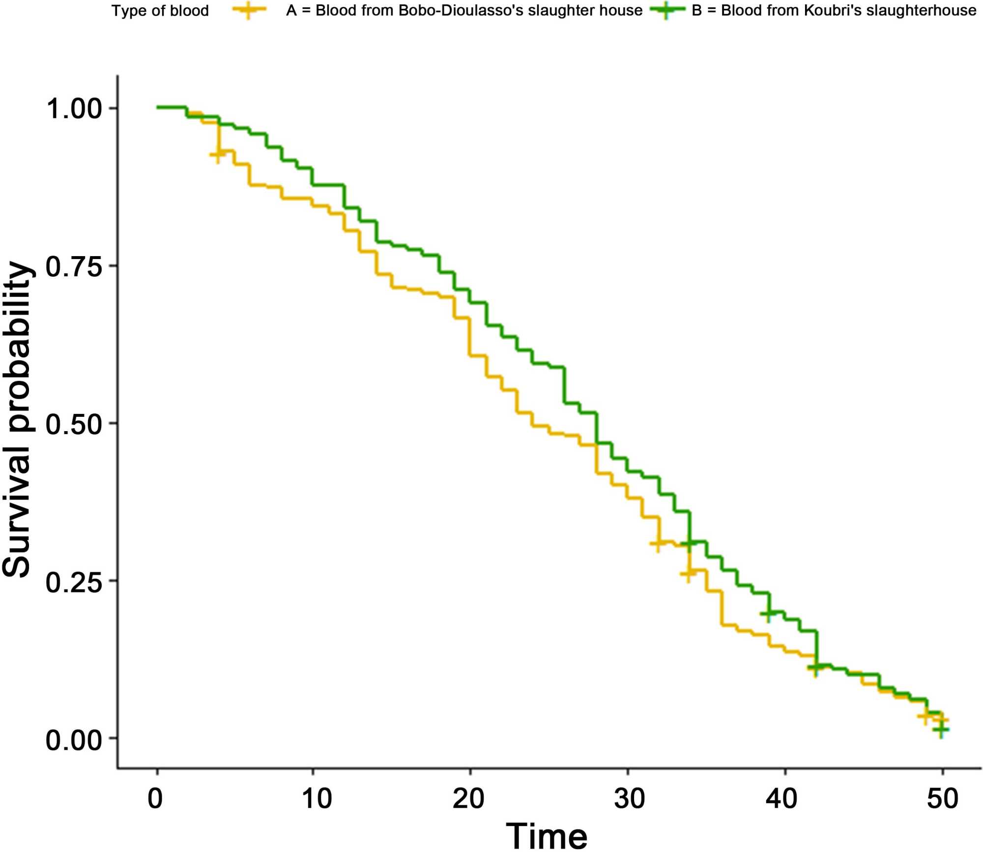
Analysis using the Cox model showed that the survival rate was not significantly influenced by the origin of the blood used (X2 = 1.14, p = 0.18) (Figure 2) and sex (X2 = 1.53, p = 0.21).

Figure 2. Survival curves for flies according to the origin of the blood used.

Female productivity

1) Pupae weight

There was a highly significant difference (p = 4.18e−05) (Figure 3) between the weight of pupae from female tsetse fly fed with blood from the Bobo-Dioulasso slaughterhouse compared with blood from Koubri in the different batches.

Figure 3. Pupal weight according to the origin of the blood used.

2) Egg-laying by 10-day-old females

There was no significant difference (p = 0.22) (Figure 4) in the average egg-laying rate per 10-day-old female between the batch of tsetse fed with Bobo-Dioulasso blood and the batch fed with Koubri blood.

Figure 4. Number of pupae per 10-day female.

3.2. Discussion

The biological quality of the sterile males reared and released is one of the key factors determining the success of an integrated pest management programme with an integrated pest management component.

Survival, fecundity and nymph size are the three key parameters in the study of female tsetse flies commonly used to assess colony performance.

A small proportion (5.08%) of dead flies observed with blood contained in the abdomen could be explained by the fact that the blood used to feed the experimental flies was of good quality and, therefore, not responsible for the deaths observed. This rate remains higher than those observed by [15] which was 2.82%. This could be explained by variability in the quality of blood collected from one year to the next one.

Female productivity

Weight of pupae

The average pupal weight of batch B (22.72 ± 2.76 mg) was significantly different from that of batch A (21.55 ± 2.98 mg). The average pupal weight of batches (22.14 ± 2.87 mg) is sensibly the same found by [24] which were 22.11 ± 2.17 mg. However, pupal weight is still lower than that obtained previously with the same species, which was 26.98 ± 0.67 mg [25]. This could be explained by the fact that the climatic conditions to which the same tsetse species was subjected in the Centre International de Récherche-Développement sur lElevage en zone Sub-humide would have enabled higher productivity values to be obtained than those of Insectarium de Bobo-Dioulasso. The significantly difference between weight of two batches could be explained by the fact that the blood collected at the Koubri slaughterhouse comes from various livestock markets in rural communes such as Fada, Dori, Léo and Sapouy, but also from small livestock markets around Ouagadougou such as Kombissiri, Saponé and Kabiyo. In fact, this blood would be of better biological quality than that collected at the Bobo-Dioulasso refrigerated abattoir. This good blood quality could be due to the fact that the animals in these areas are fed with better quality fodder than those in the Bobo-Dioulasso areas.

Females lay eggs for 10 days

The average number of pupae per female at 10 days (0.48 ± 0.037) is still lower than those obtained in Standard Operating Procedures for Mass-Rearing Tsetse flies with the same species, which was 0.6 pupae per female every 10 days. [26]. In fact, the quality of the blood used for feeding could be the difference between European and African insectari. In Europe, the waiting period for veterinary drugs before the animal is slaughtered is well respected, which is not the case everywhere in Africa, so some drug residues could end up in the blood and have an impact on the quality of the animals. So, despite the biological feeding test, which eliminates very poor quality blood (quality factor < 1, [27] [28]), It has to be said that poor quality residues still remain in the blood.

4. Conclusions

The blood collected at the Koubri slaughterhouse is of better biological quality and its use would be capable of boosting the productivity of the tsetse flies at the Bobo-Dioulasso tsetse fly and trypanosomosis eradication campaign. This finding could influence vector control in terms for tsetse flies colonies maintenance which is an important condition for Sterile Insect Technic application.

The implementation of this comparative experiment on blood quality for feeding G. palpalis gambiensis revealed that a difference was observed in the biological parameters monitored, such as survival and productivity. Thus, repeating these experiments taking into account certain parameters such as the rate of emergence of offspring, flight performance and the rate of operational flies with a view to estimating the average improvement in colony capacity would be vital in order to confirm or refute the results obtained.

Conflicts of Interest

The authors declare no conflicts of interest regarding the publication of this paper.

References

[1] Desquenes, M., Solano, P., Gimmonneau, G., Jamonneau, V., Bart, J.M., Brucheton, B., et al. (2002) Les trypanosomoses humaines et animales africaines: Une approche “One Health” par excellence. Bulletin de lAcadémie Vétérinaire de France, 175, 15.
[2] Cecchi, G., Mattioli, R.C., Slingenbergh, J. and De La Rocque, S. (2008) Land Cover and Tsetse Fly Distributions in Sub-Saharan Africa. Medical and Veterinary Entomology, 22, 364-373.[CrossRef] [PubMed]
[3] Simarro, P.P., Cecchi, G., Franco, J.R., Paone, M., Diarra, A., Ruiz-Postigo, J.A., et al. (2012) Estimating and Mapping the Population at Risk of Sleeping Sickness. PLOS Neglected Tropical Diseases, 6, e1859.[CrossRef] [PubMed]
[4] Budd, L. (1999) DFID-Funded Tsetse and Trypanosome Research and Development Since 1980.
[5] Büscher, P., Bart, J., Boelaert, M., Bucheton, B., Cecchi, G., Chitnis, N., et al. (2018) Do Cryptic Reservoirs Threaten Gambiense-Sleeping Sickness Elimination? Trends in Parasitology, 34, 197-207.[CrossRef] [PubMed]
[6] Abro, Z., Kassie, M., Muriithi, B., Okal, M., Masiga, D., Wanda, G., et al. (2021) The Potential Economic Benefits of Controlling Trypanosomiasis Using Waterbuck Repellent Blend in Sub-Saharan Africa. PLOS ONE, 16, e0254558.[CrossRef] [PubMed]
[7] Kristjanson, P.M., Swallow, B.M., Rowlands, G.J., Kruska, R.L. and de Leeuw, P.N. (1999) Measuring the Costs of African Animal Trypanosomosis, the Potential Benefits of Control and Returns to Research. Agricultural Systems, 59, 79-98.[CrossRef
[8] Geerts, S., Holmes, P.H., Eisler, M.C. and Diall, O. (2001) African Bovine Trypanosomiasis: The Problem of Drug Resistance. Trends in Parasitology, 17, 25-28.[CrossRef] [PubMed]
[9] Sow, A., Sidibé, I., Bengaly, Z., Bancé, A.Z., Sawadogo, G.J., Solano, P., et al. (2012) Irradiated Male Tsetse from a 40-Year-Old Colony Are Still Competitive in a Riparian Forest in Burkina Faso. PLOS ONE, 7, e37124.[CrossRef] [PubMed]
[10] Desquesnes, M., Bouhsira, E., Chalermwong, P., Drosne, L., Duvallet, G., Franc, M., et al. (2021) Insecticide-Impregnated Screens Used under ‘Multi-Target Method’ for Haematophagous Fly Control in Cattle: A Proof of Concept. Ecology and Control of Vector-Borne Diseases, Wageningen Academic Publishers, 91-105.[CrossRef
[11] Cuisance, D., Itard, J. and Tacher, G. (2003) Trypanosomoses: Historique—Repartition Geographique. In: Lefevre, P.C., Blancou, J. and Charmette, R., Eds., Principales maladies infectieuses et parasitaires du betail. Europe et regions chaudes. Maladies bacteriennes, mycoses, maladies parasitaires, Lavoisier Tec et Doc, 1607-1615.
[12] De La Rocque, S. and Cuisance, D. (2005) La tsé-tsé: Une mouche singulière et dangereuse. Insecte, 136, 27-31.
[13] Vreysen, M.J.B., Balenghien, T., Saleh, K.M., Maiga, S., Koudougou, Z., Cecchi, G., et al. (2013) Release-Recapture Studies Confirm Dispersal of Glossina Palpalis Gambiensis between River Basins in Mali. PLOS Neglected Tropical Diseases, 7, e2022.[CrossRef] [PubMed]
[14] Vreysen, M.J.B., Hendrichs, J. and Enkerlin, W. (2006) The Sterile Insect Technique as a Component of Sustainable Area-Wide Integrated Pest Management of Selected Horticultural Insect Pests. Journal of Fruit and Ornamental Plant Research, 14, 107-131.
[15] Pagabeleguem, S., Toé, A.I., Pooda, S.H., Dera, K.M., Belem, A.S., Belem, A.M.G., et al. (2021) Optimizing the Feeding Frequency to Maximize the Production of Sterile Males in Tsetse Mass-Rearing Colonies. PLOS ONE, 16, e0245503.[CrossRef] [PubMed]
[16] Percoma, L., Sow, A., Pagabeleguem, S., Dicko, A.H., Serdebéogo, O., Ouédraogo, M., et al. (2018) Impact of an Integrated Control Campaign on Tsetse Populations in Burkina Faso. Parasites & Vectors, 11, Article No. 270.[CrossRef] [PubMed]
[17] Feldmann, U. (1994) Some Quality Control Parameters Used in the Rearing of Tsetse Flies.
https://www.icipe.org/system/files_force/B12-%201994%20techniques%20of%20insect%20rearing%20for%20the%20develpment%20of%20integrated%20pest%20and%20vector%20management%20opz.pdf?download=1
[18] Pagabeleguem, S., Koughuindida, O., Salou, E.W., Gimonneau, G., Toé, A.I., Kaboré, B.A., et al. (2023) Gamma-Radiation of Glossina palpalis gambiensis Revisited: Effect on Fertility and Mating Competitiveness. Parasite, 30, Article No. 8.[CrossRef] [PubMed]
[19] Bauer, B., Filledier, J. and Kabore, I. (1984) Large Scale Rearing of Tsetse Flies (Diptera, Glossinidae) in the C.R.T.A. Bobo-Dioulasso, Burkina Based on in Vitro Feeding Techniques. Revue Délevage et de Médecine Vétérinaire Des Pays Tropicaux, 37, 9-17.
[20] Sellin, E., Bourdoiseau, G., Clair, M., Cuisance, D., Février, J., Tazé, Y., et al. (1979) Bilan de 4 années d’élevage de Glossina palpalis gambiensis Vanderplank 1949 (Diptera, Muscidae) à Bobo-Dioulasso (Haute-Volta), sur animaux nourriciers (lapins, cobayes). Revue délevage et de médecine vétérinaire des pays tropicaux, 32, 335-345. [Google Scholar] [CrossRef
[21] Rcoreteam, R. (2019) A Language and Environment for Statistical Computing. R Foundation for Statistical Computing.
http://www.r-project.org/index.html
[22] Bates, D., Mächler, M., Bolker, B. and Walker, S. (2014) Package Lme4: Linear Mixed-Effects Models Using Eigen and S4.
[23] Bretz, F., Hotorn, T. and Westfall, P. (2011) Multi Comparisons Using R.
[24] Toé, A.I., et al. (2021) Survival and Productivity of Three Strains of Glossina Palpalis Gambiensis for the Selection of the Best Ones for Mass Rearing for Better Implementation of Sterile Insect Technique. Journal of Entomology and Zoology Studies, 9, 162-168.[CrossRef
[25] Bancé, A., Kaboré, I., Sidibé, I., Rayaissé, J. and Bengaly, Z. (2012) Research Results from the Tsetse Fly Mass Rearing Laboratory at Cirdes and Their Application during 2003-2008. IAEA-TECDOC-1683, 49-62.
[26] FAO/IAEA (2006) Standard Operating Procedures for Mass Rearing Tsetse Flie.
[27] De Beer, C.J., Venter, G.J. and Vreysen, M.J.B. (2016) Improving the Diet for the Rearing of Glossina Brevipalpis Newstead and Glossina Austeni Newstead: Blood Source and Collection—Processing—Feeding Procedures. PLOS ONE, 11, e0168799.[CrossRef] [PubMed]
[28] (FAO/IAEA) Food and Agriculture Organization of the United Nations/International Atomic Energy Agency (2006) Standard Operations Procedures for Mass-Rearing Tsetse Flies.

Copyright © 2025 by authors and Scientific Research Publishing Inc.

Creative Commons License

This work and the related PDF file are licensed under a Creative Commons Attribution 4.0 International License.