Least Product Relative Error Estimation for Partially Linear Multiplicative Model with Monotonic Constraint

Abstract

We consider the partially linear multiplicative model with monotonic constraint for the analysis of positive response data. We propose a constrained least product relative error (LPRE) estimation procedure for the model by means of B-spline basis expansion. We have also established asymptotic properties of the proposed estimators under regularity conditions. We finally provide numerical simulations and a real data application to assess the finite sample performance of the developed methodology.

Share and Cite:

Sun, J. and Zhao, M. (2025) Least Product Relative Error Estimation for Partially Linear Multiplicative Model with Monotonic Constraint. Open Journal of Statistics, 15, 81-92. doi: 10.4236/ojs.2025.151006.

1. Introduction

Linear multiplicative models are popular tools for analyzing data with positive responses. However, the linear structure of models is too restrictive on the regression relation, which may lead to a high risk of model misspecification when dealing with more complicated data. To compensate for this defect, scholars have proposed many general and powerful multiplicative models that allow nonparametric or semi-parametric modeling. Examples of these models include the partially linear multiplicative model, which takes the following structure:

Y=exp( X T β+f( U ) )ϵ, (1.1)

where Y is the response, X= ( X 1 ,, X p ) T is a p -dimensional random covariates vector, β= ( β 1 ,, β p ) T is a p -dimensional vector of unknown parameter, f( ) is an unknown smooth function, covariate U ranges over a non-degenerate compact interval, ϵ is the model error term. Both Y and ϵ defined in model (1.1) are positive. By applying logarithmic transformation to model (1.1), the above model becomes the usual partially linear model Y * = X T β+f( U )+ ϵ * with Y * =log( Y ) and ϵ * =log( ϵ ) . By allowing the response variable to depend linearly on some covariates and nonlinearly on remains through an unknown smooth function, the partially linear model enjoys both interpretation property of parametric modeling and flexibility of nonparametric modeling.

For logarithmic transformation of model (1.1), the absolute error based methods such as the least squares method and the least absolute deviation approach can be used to estimate β and f( ) , however it may lose the intuitive explanatory sense for the transformed models. In many statistical applications, consideration of the relative error sometimes are more attractive than that of the absolute error for positive response data analysis. For example, under nonlinear regression framework, Khoshgoftaar et al. [1] studied the strong consistency of the estimators in the case of both squared relative error and absolute relative error. Park and Stefanski [2] derived the form of the best mean squared relative error prediction and adopted it into county-level gasoline usage prediction. Inspired by these, Chen et al. [3] proposed least absolute relative error (LARE) criterion for linear multiplicative models and they further applied proposed method to a study of stock returns in Hong Kong Stock Exchange. Xia et al. [4] discussed the interpretation of LARE criterion through a case study of stock price data from the views of buyers and sellers, they aimed to investigate the variable selection problem of linear multiplicative model with a diverging number of covariates. For model (1.1), Zhang and Wang [5] proposed the semi-parametric LARE criterion for estimating both parametric and nonparametric parts with help of kernel smoothing technique. However, the optimization of LARE criterion is non-smoothing and the computation is complicated. To this end, Chen et al. [6] developed the least product relative error (LPRE) criterion, the LPRE objective function is infinitely differentiable and strictly convex which makes the computation very convenient, while possess favourable statistical properties for resulting estimators. They further demonstrated the effectiveness of the LPRE estimation over some existing estimations under certain conditions. For model (1.1), Zhang et al. [7] proposed a profile LPRE estimation method for parametric components. This method has also been extended to other semi-parametric multiplicative models for estimation and inference, the recent literature include but is not restricted to Hu [8] for varying coefficient multiplicative models, Liu and Xia [9] for single index multiplicative models, Ming et al. [10] for multiplicative additive models, Zhang et al. [11] for varying coefficient single index multiplicative models. For more intuitive explanation of the advantages of the LPRE method, see the discussion of real monthly income for any two people in Ming et al. [10].

It is worth noting that the above mentioned works on model (1.1) take unspecified form for nonparametric function f( ) . In many applications the nonparametric component f( ) may be monotone constrained. For example, dose response curves in some clinical trials and growth curves in biomedical studies are known to be increasing. There are many references focused on monotone constrained partially linear model include but are not restricted to the following ones. Lu [12] used monotone B-spline to approximate the monotone nonparametric function and applied the generalized Rosen algorithm to compute the estimators jointly. Du et al. [13] studied the M-estimation of partially linear model under monotonic constraints. Sun et al. [14] investigated the isotonic partially linear error-in-variable model with randomly right censored response. Boente et al. [15] considered robust estimators for generalized partially linear regression model in which the nonparametric component is assumed to be a monotone function. Zhang and Wang [16] proposed a kernel based method for the monotone estimation of the nonparametric function component. There is a growing literature on monotone constrained partially linear model, but no such work exists for the model (1.1) with monotonic constraint up to now. It is, therefore, our impetus for solving this problem.

In this study, we extend the partially linear multiplicative model (1.1) to the situation in which the nonparametric component f( ) is specified with monotone constraint, and we assume that f( ) is a nondecreasing function without loss of generality. We investigate the LPRE-based estimators along with their theoretical results for the model (1.1) with monotonic constraint. Our work is also motivated by analyzing an environmental data set elaborated in Section 4, as we will see, there exists a monotonic relationship between concentration of NO2 and traffic volume. Thus, our main goal is to examine the association between the levels of air pollutants and the number of cars per hour although the air pollutants are always influenced by potential confounding effects from other variables. It is not a unique model that fits the current data set, but our studies provide a useful perspective in exploring hidden structures for environmental data modeling.

The rest of this paper is organized as follows. In Section 2, we propose a constrained least product relative error estimation method for partially linear multiplicative model with monotonic constraint using spline approximation and constrained nonlinear programming, and then we provide the theoretical properties of the resulting estimators for both parametric and nonparametric components. In Section 3, we present some simulation studies to illustrate the merits of proposed method compared with existing ones. In Section 4, we apply our method to a real data application. We conclude the paper by mentioning some possible extensions in Section 5.

2. Estimation and Asymptotic Properties

This section focuses on the constrained LPRE estimation of model (1.1) and delves into the algorithm for computation. We also state the main asymptotic results of developed estimators for both the parametric and the nonparametric terms.

2.1. Estimation

Let { Y i , X i , U i } , i=1,,n be independent and identically distributed (i.i.d.) copies of { Y,X,U } , the sample version of model (1.1) is given by

Y i =exp( X i T β+f( U i ) ) ϵ i . (2.1)

To address the estimating issue of β and f( ) simultaneously, we adopt the B-spline basis functions approximation to covert the estimation problem of model (2.1) to the problem of regression coefficients estimating in the linear combinations framework. We first provide a brief review about the construction of these basis functions. Without loss of generality, we assume that the compact support set of U is S U =[ 0,1 ] . Let B( u )= ( B m ( u ):1m J n ) T be the B-splines basis functions of order q , where J n = N n +q and N n is the number of interior knots for a knot sequence given as

ξ 1 ==0= ξ q < ξ q+1 << ξ N n +q <1= ξ N n +q+1 == ξ N n +2q .

For qι J n , this knot sequence satisfies

max qι J n | ξ ι+1 ξ ι |/ min qι J n | ξ ι+1 ξ ι | M,

for some constants 0<M< . We refer the interested readers to Huang [17] for more details. Under some smoothness assumptions, we can approximate f( ) by

f( U i ) m=1 J n B m ( U i ) γ m = B T ( U i )γ, (2.2)

where γ= ( γ m :1m J n ) T .

Follows Theorem 5.9 of Schumaker [18], the spline f( ) is monotonically non-decreasing on S U if non-decreasing constraints are imposed on the coefficients γ= ( γ m :1m J n ) T , i.e.,

γ 1 γ 2 γ J n ,

this ensures the nondecreasing property of nonparametric function f( ) .

Based on the above analysis, we can rewrite model (2.1) as

Y i exp( X i T β+ B T ( U i )γ ) ϵ i , (2.3)

which transforms the model (2.1) into an almost equivalent linear multiplicative model. Let Π i = ( X i T , B T ( U i ) ) T , then following Chen et al. [6], we estimate the related coefficients ϑ= ( β T , γ T ) T by minimizing

i=1 n { | Y i exp( Π i T ϑ ) Y i |×| Y i exp( Π i T ϑ ) exp( Π i T ϑ ) | }, (2.4)

subject to the constraint γ 1 γ 2 γ J n , which is equivalent to solve the following

n ( ϑ ) i=1 n { Y i exp( Π i T ϑ )+ Y i 1 exp( Π i T ϑ ) }, (2.5)

with constraint γ 1 γ 2 γ J n .

Now we delve into the algorithm for solving (2.5), since minimization problem (2.5) requires constrained nonlinear programming, we use the constrOptim package in R software to ensure restrictive condition γ 1 γ 2 γ J n and achieve this optimization. To use the constrOptim algorithm, we need to specify the gradient of the objective function n ( ϑ ) in (2.5) given as,

n ( ϑ ) ϑ = i=1 n Π i T { Y i 1 exp( Π i T ϑ ) Y i exp( Π i T ϑ ) }. (2.6)

Denote the final estimator in (2.5) as ϑ ^ , we call it monotone constrained LPRE estimator, then the estimator for f( ) is given by f ^ ( )= B T ( U i ) γ ^ .

2.2. Asymptotic Properties

The asymptotic properties of the proposed estimators are studied in this subsection. Let β 0 and f 0 ( ) be the true values of β and f( ) in model (1.1). We use to denote the L 2 norm for functions. For some positive series a n and b n , a n b n means lim n a n / b n =c for some nonzero constant c>0 . The following regularity conditions are required.

(C1). The covariate U i has a continuous density g U i ( u ) which is bounded away from 0 and infinity on S U for every i=1,,n .

(C2). f( ) C ( r ) ( S U ) for some integer r2 , and the spline order satisfies qr . C ( r ) ( S U )={ φ| φ ( r ) C( S U ) } denotes the space of r -th order smooth function.

(C3). The matrix E( X X T ) is nonsingular and its eigenvalues are uniformly bounded away from 0 and infinity.

(C4). The error ϵ satisfies E( ϵ+ ϵ 1 |X,U )< .

(C5). The error ϵ satisfies E( ϵ|X,U )=E( ϵ 1 |X,U ) .

Conditions (C1)-(C3) are standard for the nonparametric estimation in spline smoothing literature, which are essentially same as those in Shen et al. [19] and Guo et al. [20] Condition (C4) ensures the asymptotic normality of the estimator for parametric term, see Liu and Xia [9] and Hu [8]. Condition (C5) is needed for model identification and asymptotic variance of estimates, see Ming et al. [10] and Hu [8].

Theorem 1 Under conditions (C1)-(C5), if N n n 1/ ( 2r+1 ) , then we have

f ^ ( u ) f 0 ( u ) 2 = O p ( n 2r/ ( 2r+1 ) ).

Theorem 1 indicates that the nonparametric estimates obtained by our proposed method achieve the optimal convergence rates. The following Theorem 2 states that the estimator β ^ is asymptotically normal.

Theorem 2 Under the same assumptions of Theorem 1, β ^ converges in probability to the true value β 0 , i.e.

n ( β ^ β 0 ) d N( 0, Σ 1 ΛΣ 1 ),

where d denotes convergence in distribution, Σ=E{ X X T ( ϵ+ ϵ 1 ) } and Λ=E{ X X T ( ϵ ϵ 1 ) 2 } .

Since the proofs of Theorems 1-2 follow along the same ideas as the proofs of Theorems in Ming et al. [10] although part of details differs, we omit the proofs in this paper.

3. Numerical Simulations

In this section, we carry out numerical simulations to investigate the finite sample performance of the proposed method. We generate the random samples from the following model:

Y i =exp( X i1 β 1 + X i2 β 2 +f( U i ) ) ϵ i ,i=1,,n,

where n=100,200,500 , X i = ( X i1 , X i2 ) T , X i1 and X i2 follows a bivariate normal distribution with mean 0, variance 1, and covariance 0.5, the true parameters β 1 =1 and β 2 =3.5 , we set f( U i )= ( U i 1 ) 3 and the variable U i 's are sampled uniformly on [ 0,2 ] . The following three cases for the random error ϵ are considered:

Case I. The log normal distribution log( ϵ )~N( 0,1 ) .

Case II. The log uniform distribution on ( 2,2 ) , log( ϵ )U( 2,2 ) .

Case III. ϵ~U( 0.5,κ ) with κ being chosen such that E( ϵ )=E( 1/ϵ ) .

To implement the developed method, we need to choose the number of interior knots appropriately. We fix the spline order as cubic, as this is the most commonly used choice in the spline literature. As recommended by Ming et al. [10], N n was set as , this choice is small enough to avoid over-fitting with suitable sample size not too small and big enough to approximate smooth functions, and the results are similar for N n varying on a set of candidate values. In this article, we propose a data-driven approach to select it. We use the Bayesian information criterion (BIC) to choose the optimal number of interior knots N n by minimizing the following BIC function

BIC( N n )=log{ 1 n i=1 n [ Y i exp( Π i T ϑ ^ )+ Y i 1 exp( Π i T ϑ ^ ) ] }+ ( N n +q )log( n ) n ,

on the range , where denotes the closest integer to a . Then the optimal N n can be derived as N n opt = argmin N n BIC( N n ) .

In our simulation experiments, 500 repetitions are carried out for each error configuration. We compute the means of absolute biases (ABISE) for each estimated parametric coefficient β ^ , =1,2 and mean squared error (MSE) for the estimated β ^ . To assess the performance of estimator f ^ ( ) for the monotone function f( ) , we apply the square root of average square error (RASE) of f ^ ( ) , which is defined as

RASE( f ^ )= { 1 n grid i=1 n grid ( f ^ ( u i )f( u i ) ) 2 } 1/2 ,

where { u i ,i=1,2,, n grid } are the grid points at which the function f( ) is evaluated, and we simply set n grid equals to the sample sizes in each simulation.

Meanwhile, we compare our proposed monotone constrained LPRE estimator (M-LPRE) with three conventional competitors, including: 1) transformation least squares estimator using data { log( Y i ), X i , U i } and regular B-spline approximation without monotone constraint (TLS); 2) transformation least squares estimator using monotone B-spline approximation (M-TLS); 3) classical LPRE estimator without monotone constraint (see Ming et al. [10]). Tables 1-3 list the means and standard deviations (in parentheses) of ABISE, =1,2 , MSE and RASE for the estimators with different sample sizes and cases.

Table 1. The simulation results (×102) of ABISEs, MSEs and RASEs for Case I.

n

Methods

ABIAS1

ABIAS2

MSE

RASE

100

TLS

9.7389 (7.2943)

9.6925 (7.3219)

2.9539 (3.5008)

21.738 (6.7734)

M-TLS

9.7247 (7.2827)

9.6772 (7.2483)

2.9358 (3.4886)

17.877 (6.1711)

LPRE

10.153 (7.7417)

10.073 (7.9802)

3.2795 (4.0361)

22.906 (7.1748)

M-LPRE

10.085 (7.6489)

10.086 (7.8772)

3.2375 (4.0039)

18.662 (6.4405)

200

TLS

6.7492 (5.4977)

6.6565 (4.7724)

1.4275 (1.6476)

15.429 (5.0271)

M-TLS

6.7855 (5.4965)

6.6675 (4.7479)

1.4315 (1.6459)

13.096 (4.8426)

LPRE

7.0469 (5.6828)

7.0415 (5.0957)

1.5738 (1.8380)

16.335 (5.3119)

M-LPRE

7.0928 (5.7057)

7.0122 (5.0885)

1.5781 (1.8394)

13.790 (4.9359)

500

TLS

4.2335 (3.1922)

4.4513 (3.2366)

0.5836 (0.6642)

9.7130 (3.2102)

M-TLS

4.2227 (3.1807)

4.4396 (3.2398)

0.5811 (0.6617)

8.6214 (3.0531)

LPRE

4.5267 (3.5264)

4.7574 (3.5601)

0.6818 (0.8095)

10.262 (3.3762)

M-LPRE

4.5190 (3.5183)

4.7561 (3.5641)

0.6807 (0.8054)

9.0773 (3.2266)

Table 2. The simulation results (×102) of ABISEs, MSEs and RASEs for Case II.

n

Methods

ABISE1

ABISE2

MSE

RASE

100

TLS

11.440 (8.1737)

10.838 (8.3276)

3.8423 (4.0262)

24.858 (7.9266)

M-TLS

11.304 (8.1259)

10.723 (8.2529)

3.7665 (3.9514)

20.267 (7.0257)

LPRE

9.8071 (7.1019)

9.3712 (7.2280)

2.8647 (3.0107)

21.389 (7.1301)

M-LPRE

9.6380 (6.9635)

9.1854 (7.1033)

2.7601 (2.9055)

17.667 (6.2289)

200

TLS

8.0140 (5.8346)

7.7360 (5.9461)

1.9333 (2.0871)

17.735 (5.4551)

M-TLS

7.9488 (5.8484)

7.6923 (5.8878)

1.9109 (2.0591)

15.221 (5.2409)

LPRE

6.6634 (4.9784)

6.4300 (4.9792)

1.3522 (1.4655)

14.836 (4.7409)

M-LPRE

6.6228 (4.9507)

6.3848 (4.9110)

1.3315 (1.4410)

12.852 (4.5762)

500

TLS

4.9159 (3.9014)

4.6336 (3.3834)

0.7225 (0.8453)

11.117 (3.5822)

M-TLS

4.9090 (3.8962)

4.6229 (3.3747)

0.7198 (0.8477)

9.8016 (3.4976)

LPRE

4.0294 (3.2317)

3.8389 (2.7915)

0.4917 (0.5751)

9.1923 (2.9412)

M-LPRE

4.0156 (3.2192)

3.8274 (2.7830)

0.4884 (0.5754)

8.1851 (2.8816)

Table 3. The simulation results (×102) of ABISEs, MSEs and RASEs for Case III.

n

Methods

ABISE1

ABISE2

MSE

RASE

100

TLS

3.2162 (2.3359)

3.0322 (2.3445)

0.3047 (0.3208)

7.1122 (2.1965)

M-TLS

3.2146 (2.3095)

3.0107 (2.3420)

0.3019 (0.3191)

6.4357 (2.0982)

LPRE

3.1725 (2.3017)

2.9921 (2.3203)

0.2967 (0.3123)

7.0157 (2.1718)

M-LPRE

3.1705 (2.2772)

2.9699 (2.3135)

0.2939 (0.3102)

6.3625 (2.0805)

200

TLS

2.2765 (1.6694)

2.1814 (1.6741)

0.1552 (0.1693)

5.1104 (1.5069)

M-TLS

2.2662 (1.6723)

2.1767 (1.6696)

0.1544 (0.1685)

4.7502 (1.4204)

LPRE

2.2435 (1.6464)

2.1490 (1.6455)

0.1505 (0.1639)

5.0379 (1.4909)

M-LPRE

2.2334 (1.6478)

2.1434 (1.6398)

0.1497 (0.1630)

4.6889 (1.4076)

500

TLS

1.3782 (1.1084)

1.3298 (0.9610)

0.0581 (0.0688)

3.2795 (0.9612)

M-TLS

1.3750 (1.1066)

1.3278 (0.9607)

0.0579 (0.0687)

3.1095 (0.9321)

LPRE

1.3562 (1.0906)

1.3097 (0.9474)

0.0563 (0.0668)

3.2249 (0.9389)

M-LPRE

1.3530 (1.0902)

1.3086 (0.9462)

0.0562 (0.0668)

3.0596 (0.9112)

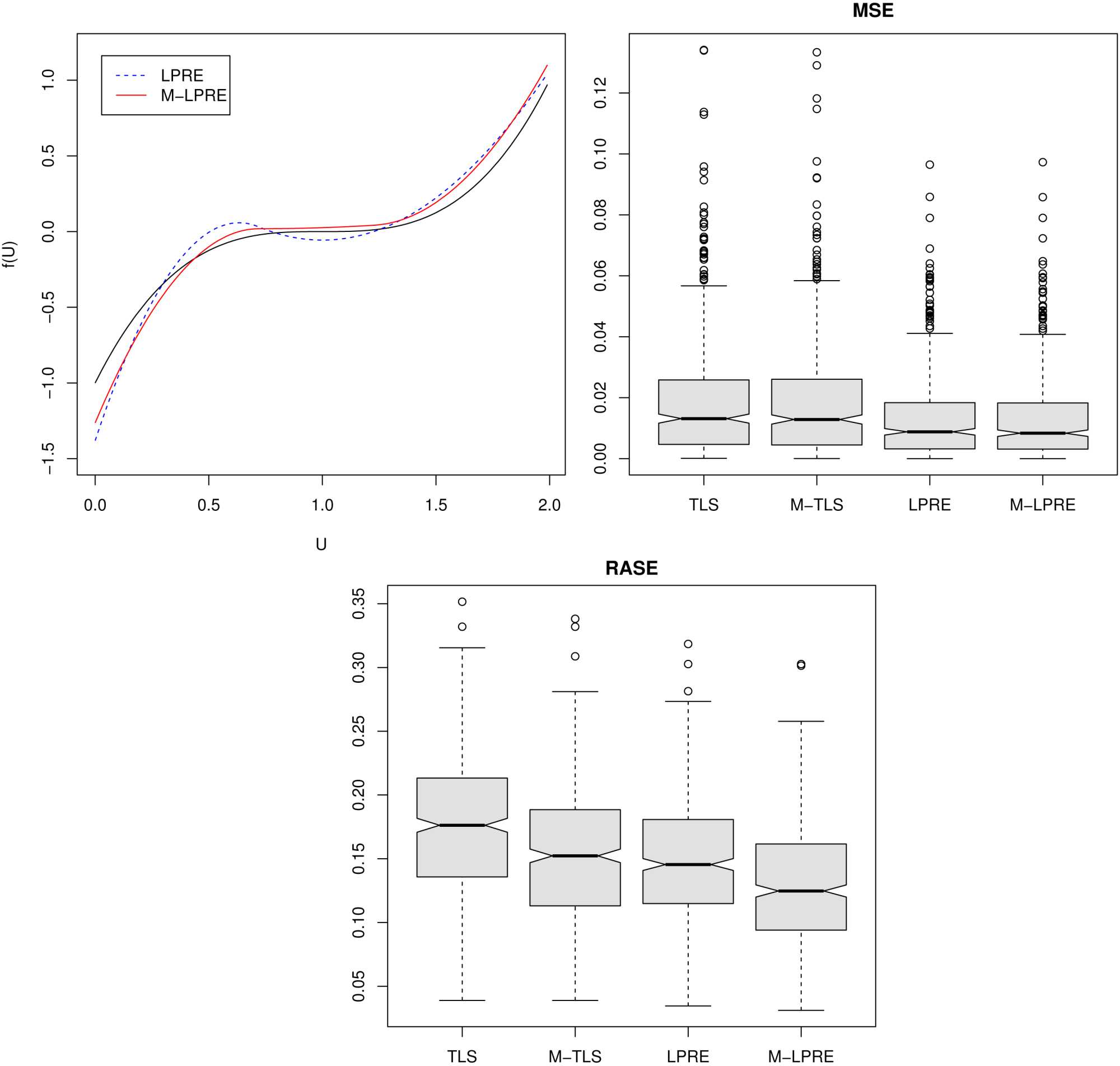
We can make the following observations: 1) M-TLS and M-LPRE estimators perform better than the corresponding TLS and LPRE estimators, respectively. 2) For Case I, as is anticipated, M-TLS estimators perform best, for Cases II-III, M-LPRE generally outperform the others, this is because the error term of logarithmic partially linear multiplicative model is the standard norm distribution, makes least squares based estimator better, while Cases II-III make LPRE based estimators efficient. 3) For a given error distribution case, it is obvious that the mean and standard deviation of ABISE, =1,2 , MSE and RASE for all estimators decrease as the sample size increases, this result confirms the asymptotic consistency of the proposed estimation. Moreover, we present the estimated nonparametric curves and boxplots of MSEs and RASEs for the parameters and coefficient functions in Figure 1 under the Case II when the sample size n=200 . All these findings reflect the satisfactory performance of our proposed method under the considered settings.

4. Real Data Application

In this section, we illustrate the proposed approach by analysing the air pollution data set. This data set was collected by the Norwegian Public Roads Administration which is available at http://lib.stat.cmu.edu/datasets/NO2.dat. There are 500 observations measured at Alnabru in Oslo, Norway, between October 2001 and August 2003. The purpose is to research how the concentration of the air pollution NO2 depends on the traffic volume and three meteorological elements, thus, it is appropriate to treat hourly values of the logarithm of the concentration of NO2 (particles) as the response variable ( Y ). According to the suggestion proposed by Du et al. [13], we take the logarithm of the number of cars per hour as predictor

Figure 1. Estimated nonparametric curves and boxplots of MSEs and RASEs for Case II when sample size n=200 .

variable U , and the three covariate variables are temperature two meters above ground ( X 1 , ˚C), wind speed ( X 2 , m/s) and the temperature difference between 25 and 2 m above ground ( X 3 , ˚C). In the subsequent analysis, we use exponential Y as response variable for model (1.1), and then construct the model as follows:

Y=exp( X 1 β 1 + X 2 β 2 + X 3 β 3 +f( U ) )ϵ.

We use the first 420 samples from the data as the training data for modeling fitting and the remainder as test data for evaluating the prediction performance of the methods. We calculate the median of additive relative prediction error defined as MAPE=Median{ | Y i Y ^ i |/ Y i + | Y i Y ^ i |/ Y ^ i ,i=1,,80 } to measure the predictability, where Y ^ i is the fitted value of Y i . The obtained MAPEs along with parameter estimator given in brackets are 0.6778 ( β ^ 1 =0.0211 , β ^ 2 =0.1432 , β ^ 3 =0.1357 ) and 0.6565 ( β ^ 1 =0.0202 , β ^ 2 =0.1407 , β ^ 3 =0.1373 ) for LPRE and M-LPRE methods, respectively. The estimated curves are displayed in Figure 2. As expected, the more cars would result in higher concentration of NO2, therefore it is reasonable to assume the monotonicity of f( ) , and our proposed method coincides with this empirical evidence.

Figure 2. Estimated nonparametric curves in the air pollution study data set.

5. Conclusions

In this paper, we propose a novel partially linear multiplicative model in which the nonparametric component is assumed to be a monotone function. We use monotone B-spline basis expansion to estimate the nonparametric function based on the constrained least product relative error criterion. We then provide a uniform convergence rate and asymptotic normality of the proposed spline estimators. Numerical results suggest that the proposed estimation is promising over its competitors.

The proposed method has some useful extensions. First, we can add a penalty term to achieve sparsity when irrelevant variables exist in the model. Second, we can set an intercept term in the model and allow it to vary for different subgroups from a heterogeneous population, we then study subgroup analysis problem using popular concave pairwise penalized approach. Third, it would be of interest to extend the proposed method to monotone partially linear single index multiplicative model and investigate its theoretical property. Fourth, as one of the reviewers pointed out whether the optimization process is computationally feasible for large-scale data. We need pay efforts to constructing adaptive distributed algorithm or use subsampling method to solve the constraint problem imposed by large-scale data. For the relatively strong condition of monotonicity, pursuing constraint test on this aspect should be meaningful and interesting. We will pursue these detailed investigation issues in our future research.

Acknowledgements

This work was supported by the Natural Science Research Project of Anhui Educational Department (2024AH050015) and the Anhui Provincial Philosophy and Social Science Project (AHSKF2022D08).

Conflicts of Interest

The authors declare no conflicts of interest regarding the publication of this paper.

References

[1] Khoshgoftaar, T.M., Bhattacharyya, B.B. and Richardson, G.D. (1992) Predicting Software Errors, during Development, Using Nonlinear Regression Models: A Comparative Study. IEEE Transactions on Reliability, 41, 390-395. [Google Scholar] [CrossRef
[2] Park, H. and Stefanski, L.A. (1998) Relative-Error Prediction. Statistics & Probability Letters, 40, 227-236. [Google Scholar] [CrossRef
[3] Chen, K., Guo, S., Lin, Y. and Ying, Z. (2010) Least Absolute Relative Error Estimation. Journal of the American Statistical Association, 105, 1104-1112. [Google Scholar] [CrossRef] [PubMed]
[4] Xia, X., Liu, Z. and Yang, H. (2016) Regularized Estimation for the Least Absolute Relative Error Models with a Diverging Number of Covariates. Computational Statistics & Data Analysis, 96, 104-119. [Google Scholar] [CrossRef
[5] Zhang, Q. and Wang, Q. (2013) Local Least Absolute Relative Error Estimating Approach for Partially Linear Multiplicative Model. Statistica Sinica, 23, 1091-1116. [Google Scholar] [CrossRef
[6] Chen, K., Lin, Y., Wang, Z. and Ying, Z. (2016) Least Product Relative Error Estimation. Journal of Multivariate Analysis, 144, 91-98. [Google Scholar] [CrossRef
[7] Zhang, J., Feng, Z. and Peng, H. (2018) Estimation and Hypothesis Test for Partial Linear Multiplicative Models. Computational Statistics & Data Analysis, 128, 87-103. [Google Scholar] [CrossRef
[8] Hu, D. (2019) Local Least Product Relative Error Estimation for Varying Coefficient Multiplicative Regression Model. Acta Mathematicae Applicatae Sinica, English Series, 35, 274-286. [Google Scholar] [CrossRef
[9] Liu, H. and Xia, X. (2018) Estimation and Empirical Likelihood for Single-Index Multiplicative Models. Journal of Statistical Planning and Inference, 193, 70-88. [Google Scholar] [CrossRef
[10] Ming, H., Liu, H. and Yang, H. (2022) Least Product Relative Error Estimation for Identification in Multiplicative Additive Models. Journal of Computational and Applied Mathematics, 404, Article ID: 113886. [Google Scholar] [CrossRef
[11] Zhang, J., Zhu, X. and Li, G. (2024) Estimation and Hypothesis Test for Varying Coefficient Single-Index Multiplicative Models. Journal of Statistical Computation and Simulation, 94, 2862-2891. [Google Scholar] [CrossRef
[12] Lu, M. (2010) Spline-based Sieve Maximum Likelihood Estimation in the Partly Linear Model under Monotonicity Constraints. Journal of Multivariate Analysis, 101, 2528-2542. [Google Scholar] [CrossRef
[13] Du, J., Sun, Z. and Xie, T. (2013) Estimation for the Partially Linear Regression Model under Monotonic Constraints. Statistics & Probability Letters, 83, 1353-1363. [Google Scholar] [CrossRef
[14] Sun, Z., Zhang, Z. and Du, J. (2013) Semiparametric Analysis of Isotonic Errors-In-Variables Regression Models with Randomly Right Censored Response. Journal of Systems Science and Complexity, 26, 441-461. [Google Scholar] [CrossRef
[15] Boente, G., Rodriguez, D. and Vena, P. (2019) Robust Estimators in a Generalized Partly Linear Regression Model under Monotony Constraints. TEST, 29, 50-89. [Google Scholar] [CrossRef
[16] Zhang, Y. and Wang, S. (2018) Monotone Function Estimation in Partially Linear Models. Statistics and Its Interface, 11, 19-29. [Google Scholar] [CrossRef
[17] Huang, J.Z. (2003) Local Asymptotics for Polynomial Spline Regression. The Annals of Statistics, 31, 1600-1635. [Google Scholar] [CrossRef
[18] Schumaker, L. (1981) Spline Functions: Basic Theory. Wiley.
[19] Shen, X., Wolfe, D.A. and Zhou, S. (1998) Local Asymptotics for Regression Splines and Confidence Regions. The Annals of Statistics, 26, 1760-1782. [Google Scholar] [CrossRef
[20] Guo, C., Yang, H. and Lv, J. (2016) Generalized Varying Index Coefficient Models. Journal of Computational and Applied Mathematics, 300, 1-17. [Google Scholar] [CrossRef

Copyright © 2025 by authors and Scientific Research Publishing Inc.

Creative Commons License

This work and the related PDF file are licensed under a Creative Commons Attribution 4.0 International License.