Reducing Effect of Parkia biglobosa (Jacq.) R. Br. ex G. Don Fruit Pulp on Food Intake in Healthy NMRI Mice
Emmanuel Zongo1,2*, Benjamin Kouliga Koama2,3, Yaya Gnanou2, Sami Eric Kam2, Christian Ouedraogo1, Mathieu Nitiema1, Eliasse Zongo2, Hadidjatou Belem2, Dramane Paré3, Windmi Kagambèga2, Ollo Da3,4, Georges Anicet Ouedraogo2,3, Roland Nâg-Tiero Meda2,3
1Département Médecine et Pharmacopée Traditionnelles—Pharmacie (MEPHATRA-PH), Institut de Recherche en Sciences de la Santé/Centre National de la Recherche Scientifique et Technologique (IRSS/CNRST), Ouagadougou, Burkina Faso.
2Laboratoire de Recherche et d’Enseignement en Santé et Biotechnologies Animales, Bobo-Dioulasso, Burkina Faso.
3Université Nazi Boni, Bobo-Dioulasso, Burkina Faso.
4Laboratoire de Biochimie, Centre Hospitalier Universitaire Sourou Sanou, Bobo-Dioulasso, Burkina Faso.
DOI: 10.4236/pp.2024.1510020   PDF    HTML   XML   115 Downloads   658 Views  

Abstract

Obesity is a chronic condition characterised by excess body fat that leads to increased body weight. One of the most effective ways to treat obesity is to use appetite suppressants to reduce food intake. This study aimed to evaluate in vivo reduction of food intake and weight gain caused by Parkia biglobosa (Pb) fruit pulp. Twenty-four healthy NMRI mice divided into four groups were used for the experiment. Group 1, considered the negative control, received distilled water. Groups 2, 3, and 4 were administered daily with 100, 250 and 500 mg/kg body weight of Pb fruit pulp powder suspension, respectively. The reduction in food intake was assessed in two phases: acute food intake for one day (24 h) and long-term food intake for seven weeks. Nutrient parameters and phenolic compounds in Pb fruit pulp were quantified. The results showed that Pb fruit pulp had a significant effect on reducing acute food intake. At a dose of 250 mg/kg, Pb had the best activity in reducing acute food intake, with an overall reduction rate of approximately 47.98% ± 1.17% compared to the control. Repeated daily administration inhibited food intake with all three doses for 13 days compared to control. Food intake was significantly decreased for up to 31 days by taking a 100 mg/kg dose of Pb (p = 0.0174). Weight gain was significantly lower (p = 0.0003) in mice treated with 100 mg/kg Pb than in controls at the end of 7 weeks. According to the nutritional composition study, Pb fruit pulp contains an abundance of total carbohydrates (68.81% ± 0.32%) and crude fiber (14.35% ± 0.21%). This study demonstrated that Pb fruit pulp effectively reduces food intake in healthy mice. Pb pulp’s richness in crude fiber and phenolic compounds makes it a potential aid in managing obesity.

Share and Cite:

Zongo, E. , Koama, B. , Gnanou, Y. , Kam, S. , Ouedraogo, C. , Nitiema, M. , Zongo, E. , Belem, H. , Paré, D. , Kagambèga, W. , Da, O. , Ouedraogo, G. and Meda, R. (2024) Reducing Effect of Parkia biglobosa (Jacq.) R. Br. ex G. Don Fruit Pulp on Food Intake in Healthy NMRI Mice. Pharmacology & Pharmacy, 15, 327-346. doi: 10.4236/pp.2024.1510020.

1. Introduction

The World Health Organization (WHO) defines overweight and obesity as adults with a Body Mass Index (BMI) ≥ 25 Kg/m2 and a BMI ≥ 30 Kg/m2, respectively [1]. According to the World Obesity Federation in 2024, among the 41 million adult deaths each year due to non-communicable diseases, 5 million are due to a high BMI (≥ 25 kg/m2). The prevalence of obesity was 36.5% among U.S. adults during 2011-2014; the prevalence of obesity among women (38.3%) was higher than among men (34.3%) [2]. By 2035, more than half the world’s population will be overweight. Most of these people will be in middle-income countries, where obesity is often poorly understood and there is a lack of resources to combat it [3]. In Burkina Faso, 13.4% of the population aged between 25 and 64 years old was overweight, and the prevalence of obesity was 4.5% for this population group [4]. Obesity increased notably from 2000 to 2016 (+3%) in adults. Furthermore, the country is among the top 20 countries where the proportion of children living with a high BMI increased most rapidly from 2000-2016 [3]. The main causes are hereditary or genetic predisposition, excessive food consumption, stress, sedentary lifestyle [5]. High-calorie foods are gradually replacing traditional African diets and a more sedentary lifestyle, leading to a greater prevalence of obesity and chronic diseases such as cardiovascular disease, diabetes, cancer, neurological disorders, chronic respiratory disease, and digestive disorders [6].

The main approaches used to treat obesity are the reduction of dietary ingesta by curbing appetite with appetite-suppressants, stimulating energy expenditure by increasing basal metabolism energy expenditure, and increasing calorie loss by inhibiting intestinal fat absorption [7]. The approach that has long been used in treating obesity is to reduce food intake with appetite suppressants that act at the central level [8]. According to Neary et al., in 2004, food restriction is the first-line treatment for obesity [9]. The majority of current pharmaceutical anti-obesity drugs and effective drugs act by reducing food consumption [10]. These drugs, categorized as appetite suppressants, deceive the body’s central nervous system into believing it is not hungry. Unfortunately, most of the anti-obesity drugs developed since the 1950s, particularly those that target the brain amines to decrease appetite, have been withdrawn for reasons of ineffectiveness or cardiovascular (stroke, effect on blood pressure and heart attack), neuropsychiatric (depression, sleep disorders, anxiety, nervousness, irritability, and aggression) and gastrointestinal (nausea or diarrhea, constipation) disturbances [8] [11]. More effort is needed to develop new drugs to combat obesity. To remedy this impasse, Scheen et al., in 2023, recommended different therapeutic combinations, with complementary to be sufficiently compelling [7].

Phytomedicines could also be an alternative because they are well-tolerated, effective, less expensive, economical with easy availability. The effective use of these plants could improve the disorders associated with obesity because they act on multiple targets [11]. For example, some plants have been studied for their ability to regulate food intake. These include Phaseolus vulgaris, Celastrus requelii, Camellia sinensis, Garcinia cambogia, Hoodia gordonii, Amorphophallus konjac and Caralluma fimbriata [12]-[14]. Appetite-suppressant plants are among the drugs recommended or used for weight-loss dietary supplements [15]. Limited effectiveness and side effects of centrally acting appetite suppressants encourage the search for new peripheral-acting appetite suppressants. Our context does not have much information about plants that suppress appetite.

According to ethnobotanical surveys conducted by Zongo et al., in 2022 and Paré et al., in 2016, Parkia biglobosa (Jacq.) R.Br. ex G.Don is a plant that could have appetite suppressant and anti-obesity properties [16] [17]. Parkia biglobosa (Pb) is also used to increase physical performance and is reported to have anxiolytic effects, according to a survey conducted by Sama et al. in 2022, with a citation frequency of 10% [18]. Parkia biglobosa (also known as African locust bean and known locally as ‘Roânga’) is widely known in Africa for its many nutritional benefits and savory taste. It belongs to the Mimosaceae family. The fruit’s pulp is eaten raw and used to make porridge or drinks. The fruit pulp plays an important nutritional role at a time of year when cereals are in short supply. In traditional medicine, the pulp of Pb is used as sedative, diuretic, purgative or antimalarial drug [19]. The anti-obesity properties of Pb fruit pulp have already been mentioned. In fact, Gouveia-Nhanca et al. concluded in 2023 in their experimental study on rats that treatment with fruit pulp is a promising strategy against obesity [20]. The shortcomings of this study were the lack of assessment of acute and long-term food intake following administration of Parkia biglobosa fruit pulp at different doses. To assess the effectiveness of new compounds in discovering anti-obesity drugs, acute food intake models, such as the acute intake model in mice and rats, are currently being used more and more. The acute food intake model is crucial in identifying compounds with potential appetite-suppressant activity and selecting them for further repeated administration studies that aim to reduce body weight [10] [21]. This research evaluated the decrease in acute and long-term food intake induced by Parkia biglobosa fruit pulp administered to healthy mice.

2. Materials and Methods

2.1. Collection and Preparation of Parkia biglobosa Fruit Pulp

Parkia biglobosa (Pb) fruit pulp was purchased at the medicinal plant market in Bobo-Dioulasso (Hauts-Bassins region, Burkina Faso). The Pb samples were filtered to obtain a fine powder. The fine Pb powder fractions (Figure 1) were macerated in distilled water and well agitated to prepare aqueous suspensions at 100 mg/kg, 250 mg/kg, and 500 mg/kg animal body weight.

Figure 1. Fine powder of Parkia biglobosa fruit pulp.

2.2. Animals and Diet

Twenty-four healthy NMRI mice (Figure 2) from “Centre International de recherche-développement sur l’élevage en zone subhumide” (CIRDES) aged 5 to 6 weeks were used for this experimental study. The mice were randomly divided into four (4) groups of six (06) mice, including one negative control group. The mice were placed for 12 hours in the light and 12 hours in the dark and had ad libitum access to standard food and water. This experiment was executed at the “Institut de Recherche en Science de la Santé” (IRSS) in Bobo-Dioulasso (Burkina Faso). The “Centre de Promotion de l’Aviculture Villageoise” (CPAVI) pellets were used as the feed for the experimental activity. The bromatological composition of this diet is protein (20.6%), fat (3.2%), Carbohydrate (62.9%), Sodium (0.8%), Calcium (2.1%), Phosphorus (0.4%), Chloride (1.3%), Cellulose (6.5%), Amino acids (2.2%).

Figure 2. Experimental facility showing NMRI mice in cages.

2.3. Experimental Design

All the mice were fasted for approximately 16 hours to increase their hunger before the experiment. 200 µl of the aqueous suspensions were administered orally at doses of 100 mg/kg, 250 mg/kg, and 500 mg/kg of the animal’s body weight. With the animal immobilized, its head raised, and its mouth wide open, a syringe loaded with the product and fitted with an endogastric tube was introduced into the stomach. The product was then delivered by pushing the syringe’s plunger. Each day, treatments were carried out at 9:00 am. The mice received treatment one (1) hour before food for seven (7) weeks to evaluate the appetite-suppressant effect of the fruit pulp in the long term. The different groups with intervention doses are shown in Table 1.

Table 1. Experimental design.

Group

Treatment

Group 1 (Negative control)

Distilled water + Standard diet

Group 2 (Pb 100 mg/kg)

Pb 100 mg/kg + Standard diet

Group 3 (Pb 250 mg/kg)

Pb 250 mg/kg + Standard diet

Group 4 (Pb 500 mg/kg)

Pb 500 mg/kg + Standard diet

2.4. Data Collection

- Collecting data on food and weight of mice

The remaining food was collected and weighed using an analytical balance (KERN) at the following times: 1 h, 2 h, 4 h, 6 h, 8 h, 10 h, and 24 h to assess acute food intake. For long-term food intake, the remaining food was collected and weighed every 3 days (D) until the end of the experiment. Based on a pilot study, approximately 300 g of feed was weighed and given to each group for three (3) days. To reduce the possibility of food loss, CPAVI granulated feeds were screened in advance every day. The individual weights of the mice were taken at D0 and D7, then every 03 days until the end of the experiment.

The reduction of acute food intake was assessed using food weight data measured at 0 h, 1 h, 2 h, 4 h, 6 h, 8 h, 10 h, and 24 h. The calculation is done according to the formula (1).

Qc=QgQr (1)

Qc: Quantity of food consumed in g

Qg: Quantity of food given to the animal in g

Qr: Quantity of food rest in g

The percentage (%) calculation of the reductions in the acute food intake is made according to the formula (2).

%ofreduction= Qc controlQc test Qc control ×100 (2)

Qc test: the quantity consumed by a test group in g

Qc control: the quantity consumed by the control group in g.

The total weight gain was determined according to the formula (3).

Totalweightgain( in% )= PfPi Pi ×100 (3)

Pf: Final weight on D49 (g)

Pi: Initial weight at D0 (g)

- Collecting and analyzing blood samples

The animals were fasted for 12 hours at the end of the 49-day treatment period and then sacrificed after being anesthetized with ether. Blood was collected from the animals by eye puncture using a syringe and then transferred to a dry tube. The blood collected in the dry tube was left to rest for 1 hour and centrifuged at 3000 rpm for 15 minutes to collect the serum. The serum was transferred to cryotubes and frozen at −80˚C for subsequent analysis. Biochemical parameters were quantified using commercially available kits on the Spin 200E analyzer system according to the standard operating procedure (SOP) available at the Ouezzin Coulibaly camp laboratory in Bobo-Dioulasso (Burkina Faso). The parameters assessed were glycemia, total cholesterol (TC), triglycerides (TG), and HDL-C.

LDL is calculated according to the formula (4).

LDL=TC[ ( HDL+TG )/ 2.2 ] (4)

LDL in mmol/L; CT in mmol/L; HDL in mmol/L et TG in mmol/L.

- Collecting and weighing animal organs

Organs such as the liver, spleen, heart, and kidneys were rapidly frozen in 10% formalin and stored at -80°C for further analysis. Some of these organs are rinsed with physiological water and weighed using the analytical balance to determine relative organ weights.

The relative weight of the organs was calculated according to the formula (5).

Po Pf ×100 (5)

Po: Weight of the organ (g);

Pf: Final body weight (g).

2.5. Determination of Nutrient Parameters of Parkia biglobosa Fruit Pulp

The nutrient parameters measured in Pb fruit pulp were moisture, ash, protein, crude fiber, and fat content. Moisture, ash, and crude fiber contents were determined according to the methods described by the Official Association of Analytical Chemists (AOAC) [22]. Titratable acidity was determined by titration according to method NFV-05-101 [23]. The Kjeldahl method determined the samples’ protein content following NF EN ISO 20483: 2013 [24]. Fat content was determined by the Soxhlet method following standard ISO 659: 2009 [25]. The fruit’s total carbohydrate (TC) content and energy value were calculated using the formula (6) and (7), respectively.

TC (%) = 100 – [(Moisture (%) + Protein (%) + Crude Fiber (%) + Fat (%) + Ash (%)] (6)

Energy (kcal/100 g) = 4 × Protein (g) + 4 × Carbohydrate (g) + 9 × Fat (g) (7)

2.6. Determination of Phytochemical Compounds and Antioxidant Activity in Extracts of Parkia biglobosa Fruit

Phytochemical compounds and antioxidant activity of Pb fruit pulp were determined using methanolic and aqueous extracts.

2.6.1. Extracts Preparation

25 g of Pb fruit pulp was extracted with 250 ml of distilled water (Aqueous extract) or methanol (Methanolic extract). The mixture was stirred for 24 hours. After filtration, aqueous extract was lyophilized and methanolic extract was concentrated in the Rotavapor. The concentrate was dried at room temperature in the Petri boxes. The extracts obtained were weighed in order to calculate the extraction yields. Extraction yield was calculated using the following formula (8).

Yield= Massofdriedresidue MassofPbpulppowder ×100 (8)

2.6.2. Determination of Phytochemical Compounds in Extracts of Parkia biglobosa Fruit Pulp

The quantified phytochemical compounds were the two extracts’ total phenolics, flavonoids, and tannins. Total phenolics and flavonoids were quantified using the method described by Meda et al. in 2010 [26]. The process for quantifying total phenolics evaluates all the phenolic-reducing compounds of the Folin Ciocalteu reagent. The method for quantifying total flavonoids is based on reducing aluminum trichloride. The content of condensed tannins was determined using the method described by Agbangan et al. [27]. It is a method based on the reaction between vanillin and catechin monomers and terminal units of pro-anthocyanidins to form a red chromophore complex that absorbs at 500 nm.

2.6.3. Determination of Antioxidant Activity in Extracts of Parkia biglobosa Fruit Pulp

The antioxidant activity of Pb fruit pulp was evaluated using the 2,2-diphenyl-1-picrylhydrazyl (DPPH) and Ferric Reducing Antioxidant Power methods (FRAP). DPPH radical scavenging activity was performed according to the technique Meda et al. described in 2010 [26]. This method reduces absorption to 517 nm when a stable free radical (DPPH) reacts with an antioxidant. The FRAP method is based on the ability of the extracts to reduce the ferric ion (Fe3+) to the ferrous (Fe2+). The FRAP method was performed as described by Meda et al. in 2010 [26].

2.7. Statistical Analysis

The data was entered into Excel version 2016 and analyzed using the GraphPad Prism 8.4.3 software. The graphics were made using the same software. Multiple comparison tests of Bonferroni’s and ANOVA were used to compare the different groups, and a value of P ≤ 5% was considered statistically significant. The calculated averages were expressed in mean ± standard deviation.

3. Results

3.1. Effect of Parkia biglobosa Fruit Pulp on Acute Food Intake

The time-based cumulative food intake showed a significant decrease in acute food intake in mice treated with Pb fruit pulp over 24 hours. The 250 mg/kg dose of the aqueous suspension of the Pb fruit pulp had the best inhibitory activity in acute food intake, with an overall reduction rate of approximately 47.98% ± 1.17% compared to the control at 24 h (Figure 3). Doses of 100 mg/kg and 500 mg/kg had overall reduction rates of 39.23% ± 0.02% and 29.69% ± 0.02%, respectively, compared to the control group.

Figure 3. Cumulative food intake per mouse treated with Pb fruit pulp in 24 hours.

3.2. Effect of Reducing Food Intake by Parkia biglobosa Fruit Pulp after Daily Administration for 49 Days

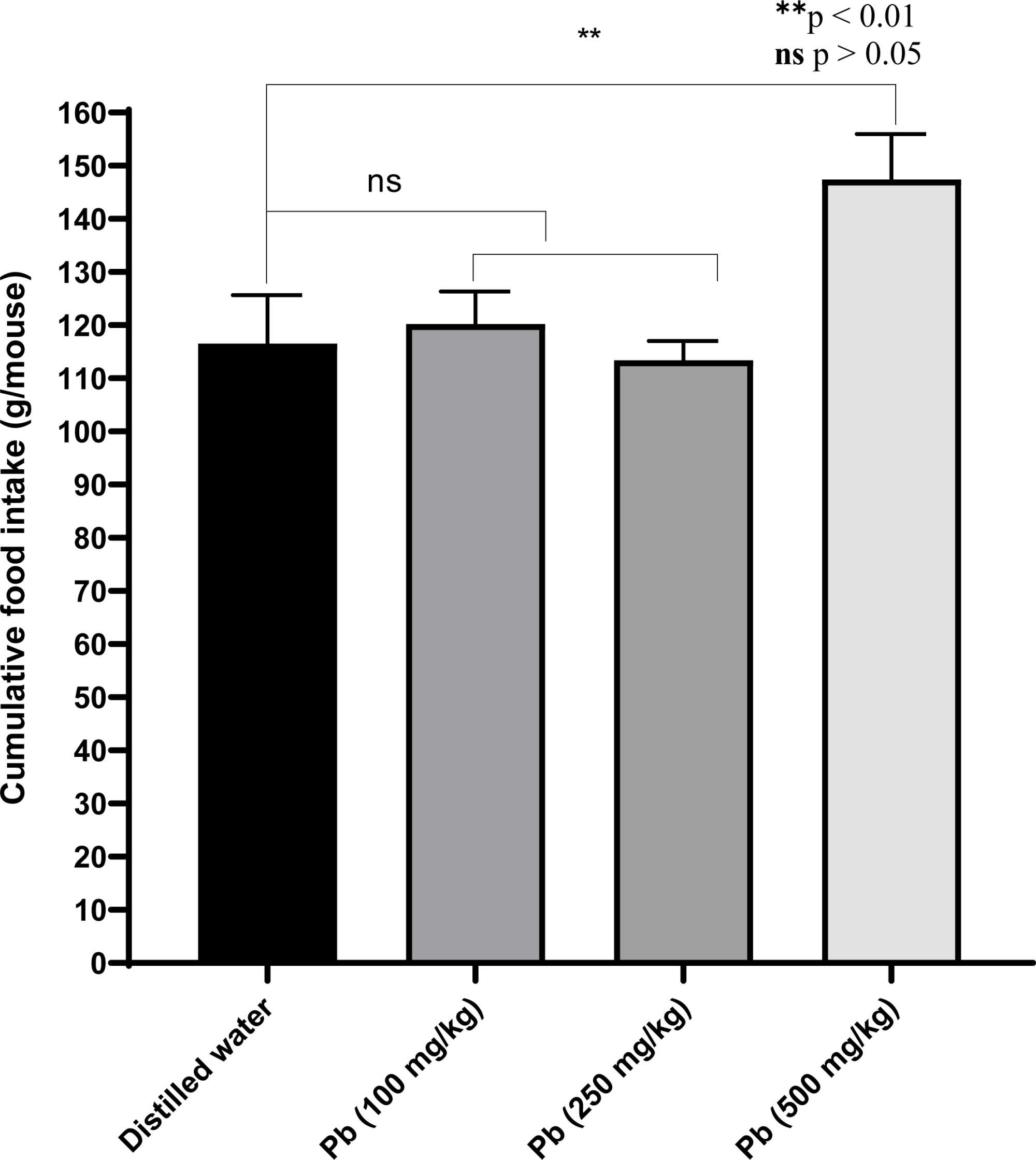
In the long term, the inhibition of food intake remained constant for 13 days with the 3 doses of Pb. The 100 mg/kg Pb dose significantly inhibited food intake for up to 31 days (p = 0.0174) (Figure 4). Cumulative food intakes did not show a significant difference with Pb 100 mg/kg and Pb 250 mg/kg compared to the control group, but it was significant (p = 0.0043) with Pb 500 mg/kg (Figure 5).

3.3. Effects of Pb Pulps on Weight Gain and Relative Organ Weights in Healthy Mice

The dose of Pb 100 mg/kg significantly reduced (p = 0.0003) weight gain compared

Figure 4. Evolution of food intake per Pb-treated mouse at 6-day intervals.

Figure 5. Cumulative food intake per mouse treated with Pb fruit pulp for 7 weeks.

to control at 7 weeks of treatment (Figure 6). The dose of Pb (500 mg/kg) would significantly (p = 0.0359) promote body weight gain compared to the control group at the end of 7 weeks.

The results of relative organ weights showed no significant change (P > 0.05) compared to the control group for mice treated with Pb (Table 2).

Figure 6. Body weight gain of mice treated with Pb fruit pulp.

Table 2. Relative weights (in %) of organs of mice treated with Pb fruit pulp.

Organs

Negative Control

Pb 100 mg/kg

Pb 250 mg/kg

Pb 500 mg/kg

Heart

0.50 ± 0.05

0.53 ± 0.09

0.57 ± 0.12

0.55 ± 0.12

Lungs

0.76 ± 0.06

0.69 ± 0.08

0.78 ± 0.11

0.88 ± 0.07

Liver

4.98 ± 1.07

4.78 ± 0.55

5.17 ± 0.66

4.99 ± 0.60

Kidney

1.11 ± 0.09

1.04 ± 0.17

1.08 ± 0.12

1.09 ± 0.07

Spleen

0.58 ± 0.03

0.58 ± 0.09

0.62 ± 0.12

0.60 ± 0.11

3.4. Effects of Pb Fruit Pulp on Biochemical Parameters

The results of the biochemical assays of the Pb-treated groups showed a non-significant reduction (P > 0.05) in serum total cholesterol (TC), triglycerides (TG), and TG/HDL ratio compared to the control group (Table 3).

3.5. Results of Nutritional Parameters and Energy Value of Pb Fruit Pulp

The observed results indicate that the Pb fruit’s pulp contains a significant amount of total carbohydrates and crude fibers, with a proportion of 68.81% and 14.35%, respectively. Table 4 presents the results of the nutrient parameters and the energy values of the pulp of the Pb fruit.

3.6. Results of Quantification of Phytochemicals and Antioxidant Activity of Pb Fruit Pulp

Phytochemical results show the presence of polyphenols in the pulp of the Pb fruit. The pulp of the Pb fruit has antioxidant activity using the DPPH and FRAP Table 3. Concentrations of blood biochemical parameters of healthy mice treated with Pb fruit.

Parameter

Negative control

Pb 100 mg/kg

Pb 250 mg/kg

Pb 500 mg/kg

Gly (mmol/L)

7.95 ± 0.28

9.12 ± 0.84

8.25 ± 1.51

8.20 ± 1.42

TC (mmol/L)

3.81 ± 0.77

3.54 ± 0.46

3.22 ± 0.48

3.35 ± 0.54

TG (mmol/L)

2.42 ± 0.51

1.61 ± 0.67

2.27 ± 1.09

1.81 ± 0.65

HDL (mmol/L)

1.75 ± 0.81

1.51 ± 0.20

1.86 ± 0.20

1.55 ± 0.38

LDL (mmol/L)

0.96 ± 0.27

1.30 ± 0.16

0.33 ± 0.42

0.97 ± 0.49

IA (CT/HDL)

2.32 ± 0.63

2.36 ± 0.23

1.73 ± 0.20

2.24 ± 0.51

TG/HDL Ratio

1.47 ± 0.39

1.05 ± 0.37

1.19 ± 0.48

1.31 ± 0.80

Each value represents the mean ± standard deviation (n = 3); Abbreviation: Gly: Glycemia; TC: Total cholesterol; TG: Triglycerides; HDL: High Density Lipoprotein-Cholesterol; LDL: Low Density Lipoprotein-Cholesterol; IA: Atherogenicity index.

Table 4. Nutritional and energy values of Parkia biglobosa fruit pulp.

Property

Value

Dry matter (%)

91.90 ± 0.94

Moisture (%)

8.10 ± 0.94

Ash (%)

4.36 ±1.50

Protein (%)

3.42 ± 0.06

Fat (%)

0.96 ± 0.01

Total carbohydrate (%)

68.81 ± 0.32

Energy (Kcal/100 g)

297.51 ± 1.47

Crude fibers (%)

14.35 ± 0.19

pH

5.16 ± 0.02

TA (% citric acid)

1.54 ± 0.10

Each value represents the mean ± standard deviation (n = 3). TA: titratable acids.

methods. Concentrations of phytochemicals and antioxidant activity varied depending on the nature of the extract (Table 5).

4. Discussion

The cause of obesity is a change in the difference in food intake and energy expenditure [10]. The search for compounds that can effectively reduce food intake with good tolerance remains a current research pursuit. In this study, our objective was to demonstrate the appetite-suppressant effect of Parkia biglobosa fruit pulp, a plant previously cited as an appetite-suppressant and anti-obesity in previous studies [16] [17]. The fruit is a vital source for disease management [28]. The anti-obesity potential of these parts is ranked second only to leaves among Table 5. Concentrations of secondary metabolites and antioxidant activity of extracts of Pb fruit pulp.

Phytochemical parameter

Extraction solvent

Methanol

Aqueous extract

Extraction yield (%)

6.05

22.50

Total phenolics (mg GAE/100 mg of extract)

12.43 ± 0.57

11.71 ± 0.69

Total flavonoids (mg QE/100 mg of extract)

1.27 ± 0.08

0.08 ± 0.00

Condensed tannins (mg TAE/g of extract)

0.21 ± 0.01

0.47 ± 0.00

DPPH (μmol AAE/g of extract)

4.72 ± 0.22

12.16 ± 0.78

FRAP (μmol AAE/g of extract)

104.19 ± 0.00

60.2 ± 7.02

GAE: Gallic acid equivalent; TAE: Tannic acid equivalent; AAE: Ascorbic acid equivalent; QE: Quercetin Equivalent. Each value represents the mean ± standard deviation (n = 3).

the most widely used plant parts [13]. Fruit-rich diets promote feelings of fullness and delay the return of hunger [15]. Consuming fruit can contribute to weight loss and consuming three fruits a day could reduce energy intake due to greater satiety [29].

In an acute model, in mice, our study demonstrated that the Pb fruit pulp significantly reduced food intake with the 3 test doses compared to the control group. The 250 mg/kg dose had the best inhibitory activity on acute food intake, with an overall reduction rate of feed intake of approximately 47% compared to the control group at 24 h. Yimam et al., in 2018, in their study of natural appetite suppressant products, observed statistically significant reductions in acute food intake in rats treated with UP601 (230 mg/kg and 350 mg/kg) [21]. The cumulative percentage reduction was 30.9% and 21.4% at 24 h, respectively, with UP601 at 230 mg/kg and 350 mg/kg compared to the control group. UP601 is a composition of extracts of 3 medicinal plants (Magnolia officinalis, Morus alba, and Ilex paraguariens) that could be a potential source of dietary supplements to suppress appetite, maintain weight, and improve metabolism significantly. Yimam et al., in 2016, evaluating the inhibition activity of acute food intake of Morus alba, observed statistically significant reductions in acute and long-term feed intake in mice treated with 250 mg/kg and 500 mg/kg extracts [30]. Reductions were more significant for the 250 mg/kg dose of extracts before 4 h. In 1998, Colombo et al. observed in 24 hours of treatment with a cannabinoid receptor antagonist called “SR 141716”, inhibition of food intake of 25% and 50% with doses of 2.5 mg/kg and 10 mg/kg, respectively, in non-obese rats treated compared to the control group. He concluded that “SR 141716 could be clinically useful in treating obese patients” [31].

Our study found that after repeated daily administration, the inhibition of food intake of the Pb fruit pulp remained constant for 13 days with the 3 doses. The 100 mg/kg Pb dose exerted the most significant inhibitory effect on food intake for a long time (31 days). Furthermore, the only dose (Pb 100 mg/kg) significantly reduced body weight gain (p = 0.0003) in week 7 compared to the control in healthy mice treated with Pb fruit pulp. These results could suggest the existence of an effective dose of aqueous suspension of Pb fruit pulp to maintain a prolonged appetite suppressant effect and significantly reduce body weight gain. Our results are similar to those of Gouveia-Nhanca et al., in 2023, who demonstrated a reversal of hyperphagia or weight gain in obese rats after long-term daily administration of Pb fruit pulp. Indeed, he observed that treatment with Pb pulp reduced food intake in obese rats during the 8 weeks of intervention [20]. Yimam et al., in 2016, observed 7.4% and 22.5% reductions in body weight gain in obese mice treated with Morus alba extract at doses of 250 and 500 mg/kg compared to obese animals treated with the vehicle at week 7 [30]. Unlike our study, Asoom et al., in 2023, when evaluating the efficacy of Nigella sativa as a natural appetite suppressant, had not observed a significant change in reduced food intake or body weight during long-term administration of Nigella sativa compared to the control group that had received distilled water [32]. The body weights of the treated mice and the control were not significantly different after 3 weeks of dietary fiber treatment, according to Hadri et al. in 2016 [33].

After repeated daily administration duration, the study findings showed that the effect of reducing food intake decreased and disappeared. Previous studies have made similar findings. Indeed, Yimam et al., in 2016, had already made the same observation regarding the trend of the disappearance of the effect of reducing food intake with repeated administrations of Morus alba root-bark extract over the course of 7 weeks [30]. Colombo et al., in 1998, observed that by continuing the treatment, a tolerance to the appetite suppressant effect of the “SR 141716” had developed rapidly in 5 days in non-obese rats over the 14 days of the experiment [31]. Hadri et al., in 2016, also observed that the anorectic effect of dietary fiber disappears after 2 weeks when it is administered in the form of small meals in treated mice compared to the control group [33]. This could be explained by a decrease in the sensitivity of the receptors involved in the appetite suppressant mechanism or the development of tolerance in mice after long-term daily administration. Indeed, prolonged consumption of foods with a pleasant taste (such as foods high in sugars) can alter the expression of appetite-regulating peptides or induce resistance to satiety signals such as leptin, insulin, and cholecystokinin (CCK) [34]; hence the overfeeding effect observed with the Pb fruit pulp groups after a long period.

The relative organ weights of the mice treated with Pb pulp showed no significant change (p-value > 0.05) compared to the control group. The reason for these results is that the pulp fraction of the Pb fruit would not have any toxic effect on the organs of the mice when administered daily for 49 days. Hadri et al., in 2016, had the same finding with the liver and kidneys during the administration of dietary fiber [33]. The Pb fruit pulp would have a good tolerance on the organs compared to the three doses used in this experiment. Ngatchic et al. in 2020, also did not observe a significant difference (p > 0.05) in the relative weights of the kidneys, pancreas, lungs, and heart of rats in all groups with the powders of the Dichrostachys glomerata fruit after a 4-week treatment [35]. Fruits, in general, have a good tolerance, and dieticians widely recommend their consumption.

The biochemical results did not show a significant difference (p > 0.05) despite reductions in total cholesterol (TC) and triglyceride (TG) concentrations of the Pb-treated groups compared to the control group. Hadri et al., in 2016, also made the same observation with plasma TGs after administration of 10% fibers during 14 days of treatment in rats [33]. This could be explained by the fact that long-term treatment with Pb fruit pulp has no deleterious effect on carbohydrate or lipid metabolism when mice are treated with a standard diet low in lipid compounds. The results could be different if mice were fed a high-fat diet. According to Hadri et al., in 2016, fiber and protein decreased plasma TGs in the case of a high-fat diet. Indeed, the Pb pulp fruit contains polyphenols that could inhibit pancreatic lipase and promote TG excretion [33]. In addition, these polyphenols can form complexes with cholesterol and bile acids to facilitate its excretion in the stool. Ngatchic et al. in 2020 observed that the group treated with the powder fraction 212-180 μm of Dichrostachys glomerata fruits for 4 weeks resulted in a significant decrease (p < 0.05) in TG concentration in the treated rats compared to the negative control group [35]. This study was conducted on animals fed with a high-fat diet; this was not the case in our study, where the animals were all fed a standard diet for mice. Asoom et al., in 2023, with Nigella sativa as an appetite suppressant, found that the plant significantly reduced cholesterol levels in treated rats compared to the control group after nine weeks of experimentation with high-fat foods [32]. Yimam et al., in 2018, found that UP601 reduced serum concentrations of total cholesterol and triglyceride [10]. A similar study with a high-fat diet in our context could confirm these observed differences.

The results of the nutritional composition and the study of the phytochemistry of the Pb pulp fruit indicate that it is rich in total carbohydrates (68.81%), crude fiber (14.35%), and total phenolics (12.43 and 11.71 mg GAE/100 mg respectively with the methanolic and aqueous extracts). Our results on nutritional values were similar to those of Belem et al. in 2023, who observed low protein (5.11%) and lipid (1.12%) levels and high crude fiber (16.88% and 19.81% respectively in Acid Detergent Fiber and Neutral Detergent Fiber) level in Pb fruit pulp [36]. The Pb fruit is acidic (pH 5.22), and this acidity can influence the activity of certain enzymes. Macronutrients are known to have effects on satiety [33]. Pb fruit pulp is low in fat content. Fat is the least appetite suppressant among macronutrients [33]. The appetite suppressant effect of proteins has recently been shown through μ-opioid receptors, leading to intestinal gluconeogenesis [37] [38]. It seems that when these receptors are overworked, they become insensitive; hence the need to find the best way to inhibit them “moderately,” to maintain their beneficial effect in the long term on the control of food intake. Treatment containing 30 g protein/2 g soluble fiber had the best-prolonged effect on satiety (about 4 hours) compared to the control [39]. This study showed that formulations containing vegetable protein and soluble fiber can control appetite and would be a means of weight management. Unfortunately, Pb fruit pulp contains low protein content. In 2007, Gernah et al. observed a crude fiber level (11.75%) close to ours in the Pb fruit pulp and the presence of total phenolics (204.6 mg/100g) [40]. In 2023, Gouveia-Nhanca et al. observed a higher fiber level (34.47%) in the pulp of the Pb fruit, including 14.40% soluble dietary fiber and 20.07% insoluble dietary fiber [20]. This could be explained by the difference in the methods used for fiber quantification. Nevertheless, these data prove that the Pb fruit pulp is a good source of fiber. A review on herbal medicine for the suppression of energy intake reported that plants suppress appetite because of the high content of dietary fiber they contain, and this effect was only obtained with large quantities [34]. Fiber does not contribute to the energy provided, but it helps prevent certain diseases such as obesity, diabetes, and cancer; hence, their use in weight-loss food supplements. The appetite suppressant plants recommended in pharmacies are mostly plants rich in dietary fiber (gums, mucilage, pectins, alginates) [15]. Fiber increases the viscosity of the food absorbed, increases volume, and slows gastric emptying. The prolonged interaction with the intestinal mucosa will, therefore, promote the secretion of intestinal peptides involved in appetite regulation. The fiber in Pb fruit pulp helps increase satiety through fermentation by the gut microbiota to form short-chain fatty acids, including acetate, propionate, and butyrate [37] [41] [42] [43]. Pb pulp is rich in succinate, which is a substrate for intestinal gluconeogenesis [20] [37]. Acetate reduces acute food intake by acting directly on the central nervous system. Acetate in mice crosses the blood-brain barrier and suppresses hunger through hypothalamic mechanisms. Indeed, acetate induces the expression of anorectic neuropeptides, particularly pro-opiomelanocortin (POMC) [44]. Phenolic compounds can also inhibit the activity of digestive enzymes and reduce fat digestion and prolong the state of satiety [43] [45]. Following food ingestion, a study has shown that proportions of 5 and 10% of polyphenols are absorbed in the intestine. The rest reaches the distal part of the intestine, where they are hydrolyzed by intestinal bacteria [41]. Previous studies have discussed the role of polyphenols in weight management [13] [46]. Bothon’s study showed that the hydroethanolic extract of Parkia biglobosa fruit husks scavenges the DPPH radical [47]. Gouveia-Nhanca et al., in 2023, linked reductions in food intake and weight gain of Pb pulp with its rich composition of fiber, organic acid, and phenolic compounds [20]. These compounds exert metabolic effects on the gut and brain of animals. By analyzing the feces of rats treated with the Pb fruit pulp, Gouveia-Nhanca et al. observed an increase in the concentration of short-chain fatty acids (propionic acid + butyric acid) compared to the control [20] in healthy rats. Propionic acid interacts with the regulation of glucagon-like peptide 1 (GLP1) and peptide YY, hormones that promote the reduction of food intake and the increase in satiety state [48] [49]. Acetate and proprionate are substrates for gluconeogenesis [50]. Propionate from dietary is capable of modifying food intake in mice, but not in rats and all rodents [51] [52]; this factor could explain the discrepancy between our results and those of Gouveia-Nhanca [20], who did not observe any significant reduction in food intake in healthy rats. Butyric acid binds to G protein-coupled receptors (GPR41) to drive the production of the anorectic hormone (PYY Peptide) to promote appetite control [53]. Short-chain fatty acids from fruit pulp fibers and phenolic compounds could be responsible for the appetite suppressant effect observed in our study by central and peripheral mechanisms. The study of serum organic acids (acetate, propionic acid + butyric acid) would better understand the mechanism of appetite suppression of Pb fruit pulp in healthy mice after long-term administration. Our study has limitations that should inform future research. Estimation of organic acids and biomarkers of satiety (GLP-1, PYY, CCK, Ghrelin) have helped shed light on the effect in Pb-treated mice.

5. Conclusion

This study demonstrated that Pb fruit pulp effectively reduces acute food intake in healthy NMRI mice. The long-term evaluation also showed the inhibition effect, but this effect decreased over time and depended on intervention doses. The 100 mg/kg Pb dose significantly reduced food intake over time (31 days) and body weight gain at the end of the seven weeks of intervention in healthy mice. The nutrient composition and phytochemical study of Parkia biglobosa fruit pulp indicate its richness in crude fiber, total carbohydrates, and phenolic compounds. These data strengthen knowledge of the anti-obesity properties, nutritional values, and phytochemicals of Parkia biglobosa fruit pulp. The pulp of the Parkia biglobosa could be a source of food supplements based on natural appetite suppressants to help manage obesity.

Acknowledgements

We want to thank the team of Institut de Recherche en Sciences de la Santé (IRSS) of Bobo-Dioulasso for the experimental technical platform, the team of Institut de Recherches en Sciences Appliquées et Technologies (IRSAT) of Ouagadougou and Bobo-Dioulasso team for the analyses of nutritional parameters, the team of Laboratoire de Recherche et d’Enseignement en Santé et Biotechnologies Animales (LARESBA) for phytochemical analysis and assessment of antioxidant activity.

Authors’ Contributions

EZ, R.NT.M, BK, S.E.K, GA contributed to the design of the study, the validation of the protocol, the writing and correction of the manuscript. YG, CO, OT contributed to the data collection. CO, MN contributed to the analysis and interpretation of the data; EZ OD, WK, HB, DP contributed to the revision of the manuscript. All authors have read and approved the final manuscript.

Funding

The authors did not receive any financial support for the research or publication of this article.

Data Availability

The collected data can be shared or accessed with the respective author upon request. This data is entered into an Excel file and is also available in a paper version.

Animal Research

All experimental animal procedures have been performed following the Guide for the Care and Use of Laboratory Animal of the US National Institutes of Health and the EU Directive 2010/63/EU for animal experiments [54]. The study protocol was approved by the local ethics.

Conflicts of Interest

The authors declare no conflicts of interest regarding the publication of this paper.

References

[1] World Health Organization (2024) International Classification of Adult Underweight, Overweight and Obesity According to BMI.
https://www.who.int/data/gho/data/themes/topics/topic-details/GHO/body-mass-index
[2] Ogden, C.L., Carroll, M.D., Fryar, C.D. and Flegal, K.M. (2015) Prevalence of Obesity among Adults and Youth: United States, 2011-2014. NCHS Data Brief. National Center for Health Statistics.
[3] World Obesity Federation (2024) Obesity Atlas 2024.
https://data.worldobesity.org/publications/?cat=22
[4] Ministère de la Santé (2014) Rapport de l’enquête nationale sur la prévalence des principaux facteurs de risque communs aux maladies non transmissibles au Burkina Faso; enquête STEP 2013.
[5] Chaudhry, S. (2020) Pharmacotherapy in Obesity. International Journal of Comprehensive and Advanced Pharmacology, 5, 110-117.[CrossRef
[6] Correia, J., Pataky, Z. and Golay, A. (2014) Comprendre l’obésité en Afrique: Poids du développement et des représentations. Revue Médicale Suisse, 10, 712-716.[CrossRef
[7] Scheen, A.J., de Flines, J. and Paquot, N. (2023) Médicaments anti-obésité: Des déceptions aux espoirs. Revue Medicale de Liege, 78, 147-152.
[8] Silverstone, T. (1992) Appetite Suppressants. Drugs, 43, 820-836.[CrossRef] [PubMed]
[9] Neary, N.M., Goldstone, A.P. and Bloom, S.R. (2003) Appetite Regulation: From the Gut to the Hypothalamus. Clinical Endocrinology, 60, 153-160.[CrossRef] [PubMed]
[10] Yimam, M., Jiao, P., Hong, M., Brownell, L., Lee, Y., Hyun, E., et al. (2018) Evaluation of Natural Product Compositions for Appetite Suppression. Journal of Dietary Supplements, 16, 86-104.[CrossRef] [PubMed]
[11] Müller, T.D., Blüher, M., Tschöp, M.H. and DiMarchi, R.D. (2021) Anti-Obesity Drug Discovery: Advances and Challenges. Nature Reviews Drug Discovery, 21, 201-223.[CrossRef] [PubMed]
[12] Karri, S., Sharma, S., Hatware, K. and Patil, K. (2019) Natural Anti-Obesity Agents and Their Therapeutic Role in Management of Obesity: A Future Trend Perspective. Biomedicine & Pharmacotherapy, 110, 224-238.[CrossRef] [PubMed]
[13] Rao, A., Briskey, D., dos Reis, C. and Mallard, A.R. (2021) The Effect of an Orally-Dosed Caralluma Fimbriata Extract on Appetite Control and Body Composition in Overweight Adults. Scientific Reports, 11, Article No. 6791.[CrossRef] [PubMed]
[14] Gupta, C. (2015) Appetite Suppressing Phyto Nutrients: Potential for Combating Obesity. Journal of Nutritional Health & Food Engineering, 3, 319-326.[CrossRef
[15] Geneslay A. (2013) Intérêt des compléments alimentaires à base de plantes dans les régimes amaigrissants. Diplôme d’Etat de Docteur en Pharmacie, Université d’Angers.
[16] Zongo, E., Meda, R.N., Gnanou, Y., Gnanou, Y., Kam, S.E., Koama, B.K., et al. (2022) Ethnobotanical Survey of Appetite Suppressant Plants Used in Hauts-Bassins Areas of Burkina Faso. Food and Nutrition Sciences, 13, 1001-1014.[CrossRef
[17] Pare, D., Hilou, A., Ouedraogo, N. and Guenne, S. (2016) Ethnobotanical Study of Medicinal Plants Used as Anti-Obesity Remedies in the Nomad and Hunter Communities of Burkina Faso. Medicines, 3, Article 9.[CrossRef] [PubMed]
[18] Sama, H., Traoré, M., Guenné, S., Séré, I., Hilou, A. and Dicko, M.H. (2022) Ethnobotanical and Phytochemical Profiling of Medicinal Plants from Burkina Faso Used to Increase Physical Performance. Medicines, 9, Article 10.[CrossRef] [PubMed]
[19] Builders, M.I. (2014) Parkia biglobosa (African Locust Bean Tree). World Journal of Pharmaceutical Research, 3, 1672-1682.
[20] Gouveia-Nhanca, M., Rolim Bezerra, M.L., Batista, K.S., Pinheiro, R.O., Soares, N.L., de Paiva Sousa, M.C., et al. (2023) The Non-Conventional Edible Plant Foroba (Parkia biglobosa) Has Anti-Obesity Effect, Improves Lipid Peroxidation and Reverses Colon and Hippocampal Lesions in Healthy and Obese Rats. Journal of Functional Foods, 108, Article 105745.[CrossRef
[21] Yimam, M., Jiao, P., Hong, M., Brownell, L., Lee, Y., Kim, H., et al. (2019) Morus alba, a Medicinal Plant for Appetite Suppression and Weight Loss. Journal of Medicinal Food, 22, 741-751.[CrossRef] [PubMed]
[22] Association of Officical Analytical Chemists (2012) Official Methods of Analysis of AOAC International. 19th Edition, AOAC International.
[23] Association Française de Normalisation (1986) Produits Dérivés de Fruits et Légumes: Recueils de normes Françaises.
[24] International Organization for Standardization (2013) Céréales et légumineuses—Détermination de la teneur en azote et calcul de la teneur en protéines brutes-Méthode de Kjeldahl.
[25] International Organization for Standardization (2009) Graines oléagineuses—Détermination de la teneur en huile.
[26] Meda, N.T.R., Lamien-Med, A., Kiendrebeo, M., Lamien, C.E., Coulibaly, A.Y., Millogo-Ra, J., et al. (2010) In Vitro Antioxidant, Xanthine Oxidase and Acetylcholinesterase Inhibitory Activities of Balanites aegyptiaca (L.) Del. (Balanitaceae). Pakistan Journal of Biological Sciences, 13, 362-368. [Google Scholar] [CrossRef] [PubMed]
[27] Agbangnan, P.D.C., Tachon, C., Bonin, H., Chrostowka, A., Fouquet, E. and Sohounhloue, D.C.K. (2012) Phytochemical Study of a Tinctorial Plant of Benin Traditional Pharmacopoeia: The Red Sorghum (Sorghum caudatum) of Benin. Scientific Study and Research: Chemistry and Chemical Engineering, Biotechnology, Food Industry, 13, 121-135.
[28] Sunkara, R. and Verghese, M. (2014) Functional Foods for Obesity Management. Food and Nutrition Sciences, 5, 1359-1369.[CrossRef
[29] Conceição de Oliveira, M., Sichieri, R. and Sanchez Moura, A. (2003) Weight Loss Associated with a Daily Intake of Three Apples or Three Pears among Overweight Women. Nutrition, 19, 253-256.[CrossRef] [PubMed]
[30] Yimam, M., Jiao, P., Hong, M., Brownell, L., Lee, Y., Hyun, E., et al. (2016) Appetite Suppression and Antiobesity Effect of a Botanical Composition Composed of Morus alba, Yerba mate, and Magnolia Officinalis. Journal of Obesity, 2016, 1-12.[CrossRef] [PubMed]
[31] Colombo, G., Agabio, R., Diaz, G., Lobina, C., Reali, R. and Gessa, G.L. (1998) Appetite Suppression and Weight Loss after the Cannabinoid Antagonist SR 141716. Life Sciences, 63, PL113-PL117.[CrossRef] [PubMed]
[32] Al Asoom, L., Alassaf, M.A., AlSulaiman, N.S., Boumarah, D.N., Almubireek, A.M., Alkaltham, G.K., et al. (2023) The Effectiveness of Nigella Sativa and Ginger as Appetite Suppressants: An Experimental Study on Healthy Wistar Rats. Vascular Health and Risk Management, 19, 1-11.[CrossRef] [PubMed]
[33] Hadri, Z. (2016) Effet des fibres sur la satiété. Thèse de Doctorat, Université Hassiba Ben Bouali.
[34] Yuliana, N.D., Jahangir, M., Korthout, H., Choi, Y.H., Kim, H.K. and Verpoorte, R. (2011) Comprehensive Review on Herbal Medicine for Energy Intake Suppression. Obesity Reviews, 12, 499-514.[CrossRef] [PubMed]
[35] Josiane, N.M.T., Nikaise, D.N.F., Baudelaire, N.E. and Nicolas, N.Y. (2020) Lipid-lowering and Anti-Lipase Properties of Powder Fractions of Dichrostachys Glomerata Fruits. Asian Journal of Medical Sciences, 11, 69-76.[CrossRef
[36] Bélem, H., Meda, R.N., Koama, B.K., Kagambéga, W., Da, S.N., Drabo, A.F., et al. (2023) Parkia biglobosa (Jacq.) R. Br. Ex G. Don Fruit Pulp Supplementation in the Diet of Local Chickens in Burkina Faso: Effects on Growth Performance and Carcass Characteristics. Food and Nutrition Sciences, 14, 1119-1132.[CrossRef
[37] De Vadder, F., Kovatcheva-Datchary, P., Goncalves, D., Vinera, J., Zitoun, C., Duchampt, A., et al. (2014) Microbiota-Generated Metabolites Promote Metabolic Benefits via Gut-Brain Neural Circuits. Cell, 156, 84-96.[CrossRef] [PubMed]
[38] Mithieux, G. (2022) La néoglucogenèse intestinale: Une fonction insulinomimétique. Biologie Aujourdhui, 216, 37-39.[CrossRef] [PubMed]
[39] Fernández-Raudales, D., Yor-Aguilar, M., Andino-Segura, J., Hernández, A., Egbert, R. and López-Cintrón, J.R. (2018) Effects of High Plant Protein and High Soluble Fiber Beverages on Satiety, Appetite Control and Subsequent Food Intake in Healthy Men. Food and Nutrition Sciences, 9, 751-762.[CrossRef
[40] Gernah, D.I., Atolagbe, M.O. and Echegwo, C.C. (2007) Nutritional Composition of the African Locust Bean (Parkia biglobosa) Fruit Pulp. Nigerian Food Journal, 25, 190-196.[CrossRef
[41] Mansuy-Aubert, V. and Ravussin, Y. (2023) Short Chain Fatty Acids: The Messengers from down Below. Frontiers in Neuroscience, 17, Article 1197759.[CrossRef] [PubMed]
[42] Warrilow, A., Mellor, D., McKune, A., et al. (2018) Graisses alimentaires, fibres, satiété et satiété—Une revue systématique des études aiguës. Journal européen de nutrition clinique, 73, 333-344.
[43] Daoust, L. (2019) Rôle des polyphénols de petits fruits sur les désordres métaboliques et la dysbiose associés à l’obésité. Diplôme de Maîtrise, Mémoire Université de Laval.
[44] Frost, G., Sleeth, M.L., Sahuri-Arisoylu, M., Lizarbe, B., Cerdan, S., Brody, L., et al. (2014) The Short-Chain Fatty Acid Acetate Reduces Appetite via a Central Homeostatic Mechanism. Nature Communications, 5, Article No. 3611.[CrossRef] [PubMed]
[45] Wang, S., Moustaid-Moussa, N., Chen, L., Mo, H., Shastri, A., Su, R., et al. (2014) Novel Insights of Dietary Polyphenols and Obesity. The Journal of Nutritional Biochemistry, 25, 1-18.[CrossRef] [PubMed]
[46] Rodríguez-Pérez, C., Segura-Carretero, A. and del Mar Contreras, M. (2017) Phenolic Compounds as Natural and Multifunctional Anti-Obesity Agents: A Review. Critical Reviews in Food Science and Nutrition, 59, 1212-1229.[CrossRef] [PubMed]
[47] Bothon, F.T.D., Atindéhou, M.M., Koudoro, Y.A., Lagnika, L. and Avlessi, F. (2023) Parkia biglobosa Fruit Husks: Phytochemistry, Antibacterial, and Free Radical Scavenging Activities. American Journal of Plant Sciences, 14, 150-161.[CrossRef
[48] Milani, C., Ferrario, C., Turroni, F., Duranti, S., Mangifesta, M., Van Sinderen, D., et al. (2016) Le microbiote intestinal humain et ses liens interactifs avec l’alimentation. Journal de nutrition humaine et de diététique, 29, Article 539546.
[49] Tang, W.H.W., Kitai, T. and Hazen, S.L. (2017) Le microbiote intestinal et la santé cardiovasculaire et la maladie. Recherche sur la circulation, 120, 1183-1196.
[50] Donohoe, D.R., Garge, N., Zhang, X., Sun, W., O’Connell, T.M., Bunger, M.K., et al. (2011) The Microbiome and Butyrate Regulate Energy Metabolism and Autophagy in the Mammalian Colon. Cell Metabolism, 13, 517-526.[CrossRef] [PubMed]
[51] Vadder, F.D., Gautier-Stein, A. and Mithieux, G. (2013) Les récepteurs µ-opioïdes de la veine porte. Médecine Sciences, 29, 31-33.[CrossRef] [PubMed]
[52] Cook, T.M., Gavini, C.K., Jesse, J., Aubert, G., Gornick, E., Bonomo, R., et al. (2021) Vagal Neuron Expression of the Microbiota-Derived Metabolite Receptor, Free Fatty Acid Receptor (FFAR3), Is Necessary for Normal Feeding Behavior. Molecular Metabolism, 54, Article 101350.[CrossRef] [PubMed]
[53] Kobyliak, N., Virchenko, O. and Falalyeyeva, T. (2015) Rôle physiopathologique de l’hôte le microbiote dans le développement de l’obésité. Journal nutritionnel, 15, 1–12.
[54] Salas, S.P. and Russo N, M. (2014) Análisis de los principales conflictos éticos entre la Declaración de Helsinki 2008 y su propuesta de cambio. Revista médica de Chile, 142, 475-480.[CrossRef] [PubMed]

Copyright © 2026 by authors and Scientific Research Publishing Inc.

Creative Commons License

This work and the related PDF file are licensed under a Creative Commons Attribution 4.0 International License.