The Origin of the Flat Rotation Curves in Spiral Galaxies: The Hidden Roles of Glitching SMDEOs and Emission of Gravitational Waves

Abstract

Supermassive DEOs (SMDEOs) are cosmologically evolved objects made of irreducible incompressible supranuclear dense superfluids: The state we consider to govern the matter inside the cores of massive neutron stars. These cores are practically trapped in false vacua, rendering their detection by outside observers impossible. Based on massive parallel computations and theoretical investigations, we show that SMDEOs at the centres of spiral galaxies that are surrounded by massive rotating torii of normal matter may serve as powerful sources for gravitational waves carrying away roughly 1042 erg/s. Due to the extensive cooling by GWs, the SMDEO-Torus systems undergo glitching, through which both rotational and gravitational energies are abruptly ejected into the ambient media, during which the topologies of the embedding spacetimes change from curved into flatter ones, thereby triggering a burst gravitational energy of order 1059 erg. Also, the effects of glitches found to alter the force balance of objects in the Lagrangian-L1 region between the central SMDEO-Torus system and the bulge, enforcing the enclosed objects to develop violent motions, that may explain the origin of the rotational curve irregularities observed in the innermost part of spiral galaxies. Our study shows that the generated GWs at the centres of galaxies, which traverse billions of objects during their outward propagations throughout the entire galaxy, lose energy due to repeatedly squeezing and stretching the objects. Here, we find that these interactions may serve as damping processes that give rise to the formation of collective forces f m( r )/r , that point outward, endowing the objects with the observed flat rotation curves. Our approach predicts a correlation between the baryonic mass and the rotation velocities in galaxies, which is in line with the Tully-Fisher relation. The here-presented self-consistent approach explains nicely the observed rotation curves without invoking dark matter or modifying Newtonian gravitation in the low-field approximation.

Share and Cite:

Hujeirat, A. and Berczik, P. (2024) The Origin of the Flat Rotation Curves in Spiral Galaxies: The Hidden Roles of Glitching SMDEOs and Emission of Gravitational Waves. Journal of Modern Physics, 15, 1523-1542. doi: 10.4236/jmp.2024.1510063.

1. Introduction

The flat rotation curves observed in spiral galaxies have motivated theoreticians to develop models to explain the underlying physical mechanisms. However, most of them rely on the inclusion of ingredients of unknown origin, such as dark matter (DM), or modified Newtonian gravity (MOND), etc. [1]-[5]. These shifted the attention of researchers toward finding out the nature of something that might be neither natural nor existing: A logical consequence of unsuccessful efforts to decode the secret of DM. In addition to DM, the physics of dark energy, the driver of the accelerating expansion of the universe, black holes, inflation and the progenitor of the Big Bang, add to the long list of still undisclosed secrets accompanying modern astrophysics and cosmology [6]-[9]. Therefore, after decades of biassed research, it may be useful now to start considering cosmological models that do not rely on any of the above-mentioned unverifiable ingredients [9] [10].

Recently, we have suggested that a geometrically thin massive torus around a giant Bose-Einstein condensate may nicely mimic the SMBH in M87 [11]. Based thereon, we suggest in this paper that the fast rotating torii, in combination with repeated glitching events of the SMDEO-Turus-System may be considered as powerful sources for the emissions of gravitational waves (GWs) that may explain the origin of the flat rotation curves in spiral galaxies.

The existence of GWs was predicated by Einstein in 1916, when he studied the linearized form of his GR-equations, and found that they permit the formation of ripples in the fabric of spacetime and would propagate at the speed of light [12]. Due to their very low energies, Einstein considered their effects to be undetectably small. This is an accountable conclusion, given that the existence of compact objects, e.g. neutron stars and black holes, has not been discovered yet. Among other properties, it was realized, however, that spatially asymmetric objects with temporarily varying mass concentrations must emit GWs. Today, mergers of compact objects, such as binary neutron stars and black holes, are considered promising candidates for the emission of GWs, and they could even be detectable by instrumentation on Earth, provided the events are not too distant.

Indeed, during the last decade, LIGO-Virgo collaborations have detected numerous burst events of GWs, that indicate mergers of binary compact objects, such as BHs and NSs, though their corresponding stains are rather weak [13] [14]. In the present study, we show that the sources of GWs should also include glitching supermassive DEOs surrounded by fast-rotating torii, which we identify as the most powerful sources of GWs in the universe.

In previous studies [15] [16], it was argued that pulsars should be born with embryonic SuSu-cores, whose inertiae set to grow when the overlaying shells of compressible and dissipative normal matter become sufficiently cooled. These studies agree well with the glitch events observed to associate the cosmic evolution of glitching pulsars and young neutron stars [17]-[19]. During glitching, the maximally compressed matter inside the geometrically thin boundary layer between the underlying SuSu-core and the overlying normal matter at the base of the shell of normal matter, undergoes a phase transition into the incompressible SuSu-state, which then instantly merges with the SuSu-core, thereby increasing its inertia, whilst ejecting the excess of rotational energy into the ambient medium. The ejected rotational energy is set to diffuse throughout the entire torus, triggering the abrupt spin-up observed to accompany the cosmic evolution of pulsars.

We note that the phase transition from a maximally compressible into a purely incompressible state occurs at the supranuclear density ρ cr 3 ρ 0 , which is attainable, provided the outer shells are sufficiently cold and massive. Based on theory and observations, it was verified that the glitch events become less frequent as pulsars age [18] [20], and may even stagnate if the mass contents of the overlying shells are relatively low so that they fall to compress the matter at its base up to ρ cr . Had SuSu-core been formed inside pulsars, the incompressibility condition turns their mass range unbounded from above.

(a) (b)

Figure 1. The mass of the SMBH in M81 is predicated to be 3.5× 10 7 . This mass-concentration may be redistributed into spherical shells surrounding the central massive DEO, whose radial extends, d NM may run from several millimetres up to dozens of kilometres, depending on the average density ρ to be attained. When transforming a shell into a torus-configuration, then its radial extend is roughly: d NM ~ 10 10 / ρ cm. Masses of SuSu-cores, M SuSu , increase linearly in the logarithmic scale with those of the overlying normal matter M NM , or equivalently: M DEO ~ M NM 2.819 . This correlation is crucial for compressing the normal matter up to the maximum limit.

This is a consequence of the two hypothesises:

  • The density of matter in the universe is bounded from above by critical value ρ uni uni 3 ρ 0 , at which hadrons merge to form an ocean incompressible superfluid.

  • Spacetimes embedding dark objects (DEOs) made of SuSu-matter are Minkowski-flat [9].

Based thereon, the inertia of DEOs, may grow indefinitely, depending on the availability of normal matter from their surroundings. Due to their extreme compactness, tori of dense and hot normal matter that may form in their equatorial regions would be highly redshifted, become invisible and therefore, observationally indistinguishable from their black hole counterparts [11].

Our recent numerical calculations have indicated that the properties of stellar-mass DEOs are indifferent to their supermassive counterparts. In Figure 1, we show that the masses of DEOs, M DEO , correlate linearly in the logarithmic scale with the masses of the normal matter, M NM , accumulated on their surfaces as follows:

M DEO ~ M NM 2.819 . (1)

As DEOs are objects embedded in flat spacetime and trapped in false vacua state1, their mass-range is unbounded from above (see [21] and the references therein). Indeed, Figure 1 and Eq.(1) indicate that mass-contents of massive DEOs residing in the centre of galaxies could be be incredibly high compared to the concentration of normal matter in their vicinities. In the case of M31, the mass of the supermassive DEO amounts to 81 =1.85× 10 21 M , whereas for M87 to 81 =5.44× 10 27 M .

Such vast amounts of hidden matter disclose two important issues about the universe:

  • Normal matter concentrations that subsequently convert into SuSu-matter to form SMDEOs cannot be accomplished within the age of our universe.

  • The deficiency of normal matter in our universe may now be straightforwardly explained.

  • The inertiae of such supermassive DEOs are tremendously large so that they may dictate the dynamics of the objects in galaxies.

Worth mentioning here that it is widely accepted that the progenitors of BHs should crush and disappear in singularities at their centres, where the matter density peaks up to infinity, whereas the existence of a maximum universal density, beyond which ultra-cold supranuclear dense matter becomes incompressible, such in massive pulsars, is still struggling for acceptance [21]. The newly proposed model of the universe, UNIMOUN-The Unicentric Model of the Observable Universe, comfortably accommodates recent observations and even provide reasonable answers to several open questions in astrophysics and cosmology. The main properties read: 1) The density of normal matter is bounded from above by the constant density ρ ρ cr =3 ρ 0 , beyond which matter becomes purely incompressible and is trapped in a false vacuum, which requires the spacetime embedding SuSu-cores to be flat; 2) The progenitor of the Big Bang was a giant DEO and happened to take off in our neighbourhood, thereby endowing the universe with the observed homogeneity and isotropy; 3) Similar to gluon-quark plasma inside isolated nucleons, SuSu-cores must be confined by powerful tensorial surface tensions that render their communication with the outside world impossible.

2. GWs and Their Connection to the Flat Rotation Curves

When GWs traverse objects, the latter squeeze and stretch and start oscillating. These actions are carried out by forces that perform work, transport energy and transfer momentum.

To study how SMDEO-Torus systems affect the rotation curves in galaxies, we recall that the M DEO M NM correlation applies both to stellar-mass and ultra-massive DEOs. Generally, the rotational energies of pulsars are considered

to range between E rot = 1 2 I Ω 2 10 2 E 0 in the case of fast rotating pulsar PSR

J1748-2446, 10 4 E 0 for the Crab pulsar, 10 5 E 0 for the Vela pulsar and much less for the much older ones, where E 0 denotes the rest energy [17]-[19].

The strong coupling between rotation and magnetic fields in pulsars gives rise to the emission of magnetic dipole radiation, which causes their observed continuous slow-down, whereas the torques of the ejecta from the polar caps or jets add to their energy losses and, therefore, further reductions of E rot .

The M DEO M NM correlation in Eq.(1) indicates that SMDEOs must have evolved mainly through a series of mergers of stellar-mass DEOs and that their mass growth should have been associated with a considerable gain of rotational energies. Unlike normal astrophysical objects made of compressible and dissipative matter, pulsars may increase the masses of the embedded SuSu-cores through glitching, whilst ejecting E rot into the ambient medium. Assuming the growth rate of E rot ( t ) relative to the rest mass is constant, e.g.: d E rot ( t )/ d E 0 ( t ) 10 6 , then the total E rot of the SMDEO at the center of M81 yields:

E rot SMDEO = 10 6 E 0 SMDEO = 10 6 × M SMDEO c 2 10 6 × 10 20 M c 2 = 10 14 M c 2 . (2)

On the other hand, the total rotational energy of M81 revealed from observations is estimated to be:

E rot M81 = 1 2 M M81 V ϕ 2 = 1 2 M M81 ( V ϕ c ) 2 c 2 10 6 M M81 c 2 10 6 M c 2 . (3)

Hence E rot SMDEO exceeds E rot M81 by at least eight orders of magnitude, implying, therefore, that the origin of rotational energies observed in galaxies may be largely overshadowed by the tremendous rotational energy associated the cosmic evolution of SMDEOs at their centres.

As we elaborate later, steady DEOs are perfectly spherically symmetric objects and, therefore, incapable of generating gravitational waves. However, the accumulation of rotating normal matter and formation of torii in their equatorial regions gives rise to time-varying asymmetric mass distribution that could serve as a powerful source for the emission of gravitational waves that are capable of transporting energy into the ambient media and their embedding spacetimes efficiently (See Figure 2, for further clarifications).

For clarity, we mention that several time scales should be taken into account:

  • The dynamical time of the SMDEO: τ DEO R Sch c =O( 10 2 ) sec, R sch ,c are

the Schwarzschild radius of the central “believed-to-be” a massive BH, and the speed of light, respectively.

  • The poloidal dynamical time of the torus: τ dyn R torus V s =O( 10 2 ) sec, where

R torus , V s are radial extend of the torus and the sound speed of the enclosed matter.

  • The toroidal relaxation time of the torus: 2π R sch V s =O( 10 5 ) sec, which is

roughly the time scale needed for external objects to adapt to the torus dynamics.

  • The time scale for gravitationally bounded objects originating from the Lagrangian-region L1, to finally settle into and merge with the torus:

τ L1 D L1 V rad =O( 10 2 ) Myr.

  • The time scale for gravitational waves to reach the objects with flat rotation

curves: τ GW fc 10kpc c =O( 10 5 ) yr.

(a) (b)

Figure 2. A schematic description of the different components of the central system: A perfectly spherically symmetric massive DEO blue color), a torus in the equatorial region (red) and the embedded BL containing the maximally compressed degenerate matter (beige colour). A schematic description of the loosely-bounded objects in the Lagrangian region L1 between the bulge and the central SMDEO-Torus system. Both the spatially asymmetric mass distribution and the repeated abrupt mass deficiency of the gravitational mass of the torus enables the SMDEO-torus to serve as a powerful source of gravitational waves, which, in turn, affects the dynamics of the objects inside the L1-region and in the outer part (yellow colour).

Here R sch , V s and τ d DEO denote the Schwarzschild radius of the supposedly SMBH of M81, the sound speed of the just settled matter and the dynamical time scale of SMDEO, respectively.

In the quadrupole formalism of GR, time-varying asymmetric mass distributions should emit gravitational waves, E GW , which we argue here to be the dominant agent of extracting energy from the central SMDEO-Torus system. This may be calculated using the formula [22]-[25]:

E GW = 1 5 G c 5 J ij J ij , (4)

where ... and J ij are the respective time average over several periods and the

covariant form of the mass quadrupole moment, which scales as J ij ~ εI τ 3 ,

where I is the inertia and ε is the ellipticity. Recalling that the inner radius of the torus is of order the Schwarzschild one, then the rate of emission of GWs scales as:

E ˙ GW ε ell 2 32 5 c 5 G ( R Sch R ) 2 ( V φ c ) 6 ε ell 2 E ˙ GW 0 β 0 6 , (5)

where ε ell denote ellipticity resulting from the ellipsoidal shape of the SMDEO-torus system, β 0 = V φ /c and E GW 0 =2.3× 10 60 erg/s [22].

Observers at a distant of 10 kpc from the center of M81 should register the non-dimensional stain, h, of order:

h R Sch R R Sch r R Sch r | M81 = 10 9 , (6)

which is roughly twelve orders of magnitude stronger than the one detected by LIGO observations GW170817.

To predict E ˙ GW as related to the present study, we recall that the interaction between normal matter and the underlying membrane confining the SuSu-core is frictionless, i.e. energy and momentum exchanges between both types of matter vanishes, which implies that the membrane serves as a perfect reflector to all types of external perturbations. Hence, the settling of external normal matter would slide freely on the surfaces of the SMDEO, and therefore, its angular velocity may be relativistic. Assuming the rotational energy, E rot , to dominate over the other reducible energies, e.g. thermal, magnetic, kinetic, etc., then the time scale required for the torus to free of its E rot would be of order:

τ rot = E rot E ˙ rot = 1 2 I Ω 2 E ˙ GW 1 ϵ ell 2 β 0 4 ( M 0 c 2 2 E GW 0 )| M81 = 13.6 ϵ ell 2 β 0 4 s, (7)

which is much longer than the universe’s age for any reasonable choice of ϵ ell 2 β 0 4 . Consequently, The emission of GWs may become effective, only on time scales much longer than the age of the universe, which is in line with the cosmic evolution of the SMDEOs.

Once GWs are generated, they propagate as spacetime ripples with the speed of light, interacting with normal dissipative matter, ideal fluids, DEOs, and spacetimes at the backgrounds. It was argued that the effects of interactions of GWs with normal viscous matter may peak when the wavelengths of the GWs, λ GW , are comparable to the sizes of the traversed objects. Here, the effects of squeezing-and-stretching become significant, which, according to the second law of thermodynamics, is the work done by the GWs, and therefore, their energies should decrease (see [26], and the references therein).

Another effective absorber of GE is the spacetime itself. To clarify the point, we propose the following Gedanken experiment: Assume we are given an isolated motionless compact object embedded in its own spacetime. Furthermore, assume that at a particular instant of time, the central core of the object underwent a phase transition into a false vacuum state or, equivalently, into a DEO. The process is equivalent to an abrupt disappearance of a certain amount of gravitational mass. This yields a deficient in gravitational energy and therefore the topology of the embedding curved spacetime must adapt to the new situation by emitting gravitational waves, whose effects are then to flatten the spacetime locally and globally as illustrated in Figure 3. Hence, the effect of emission of GWs is to transport positive energy to the negative potential energy, practically making the embedding spacetime less curved.

Figure 3. A schematic description of the change of the gravitational potential of a massive neutron star with a core made of supranuclear dense matter. At a certain instant of time the matter undergoes an abrupt phase transition into SuSu-state, where the core becomes trapped in a false vacuum state, thereby triggering a burst of gravitational energy, leaving the system with less gravitational energy and, therefore to flatter spacetime.

It should be noted that the squeeze-and-stretch effect triggered by GWs doesn’t apply to the incompressible SuSu-cores inside NSs, which may serve as perfect GW-reflectors. As NSs make roughly one percent of objects in galaxies, then the resulting successive reflections GWs should trigger self-interactions, which in combination with the loss of energy due to interaction with the normal matter and spacetime, gives rise to a spatially and temporarily varying energy gradient, or equivalently, to the formation of a force f GW .

In the present study, we consider the interactions of GWs with the ambient media as well as the surrounding spacetimes, and use them to derive a damping force for GWs. Indeed, recently it was argued that GWs may damp when their wavelengths coincide with the sizes of the traversed objects [26] [27].

It turns out that this may become significant as GWs generated at the centres of galaxies must traverse billions of astrophysical objects during their propagation outward, which in turn collectively act as an effective damping mechanism.

The loss of energy from the central SMDEO-Torus system via GWs is equivalent to extracting gravitational mass, which leads to lower values of the covariant derivatives of the metric coefficients, g μν,σ and therefore to a reduced Ricci scalar. In the limit of extracting the whole enclosed mass via GWs, then g μν M0 η μν , which is equivalent to re-distribute the mass content of the concerned object over an infinite volume.

Applying conservation of GW-energy E GW and using the spherical coordinate system:

d dt ( E GW )+ F GW =ϵ m ˙ ( r,t ) c 2 , (8)

where F GW =c( E GW / A( r ) ) is the flux of GWs through the surface area A( r ) , ϵ is a cumulative slowly varying function with distance. m ˙ ( r,t )=ρ( r ) V ˙ ( r,t ) is the growth rate of the dynamical mass traversed by the outward-propagating

GWs, i.e. V ˙ ( r,t )= d dt ( 4π r 2 dr ) , and ρ( r ) is a given density distribution of

objects in the galaxy. When t-integrating the equation over the spherical shell between the source R in and an arbitrary outer radius r=ct , we obtain:

E GW ( r ) E GW ( R 0 )=ϵ c 2 ×4π R 0 r ρ r 2 dr =ϵm( r ) c 2 . (9)

Here, r= R G corresponds to the radius enclosing the total mass of the galaxy M G .

In this case, the spatially varying gravitational energy due to the emission of GWs from the SMDEO-Torus region gives rise to the following force, f GW , and acceleration a GW :

f GW =( E GW n) E GW ( r ) E GW ( R 0 ) r = ϵm( r ) c 2 r a GW = ϵ c 2 r m( r ) M G . (10)

Thus the rotations of objects in galaxies is subject to an additional force generated by the gravitational waves from the torus, which, however, becomes

relevant at high distances from the their centers as both m( r ) M G and m( r ) r

increase with the radius.

It turns out that reasonable fits with the current observational data may be achieved, if the ϵ -function has the following form:

ϵ= ϵ 0 ( m( r ) M G ) β , (11)

where ϵ 0 is a small constant-coefficient and constant value, respectively. Physically, this non-linear dependence of ϵ on m( r ) is due repeated inte- ractions of GWs with the same objects due to reflections by DEO-cores. Hence, the rotation curve of objects throughout the entire galaxy reads:

V φ 2 = Gm( r ) r +ϵ c 2 [ m( r ) M G ] β 2 = 1 2 R Sch ( r ) r + ϵ 0 [ m( r ) M G ] 1+β . (12)

One posibility to constraint ϵ is to use galaxy observations. Let r f , be the

critical radius at which V φ 2 is fully determined by the enclosed mass, i.e. Gm( r ) r .

In the case of M81, we may insert V φ ( r f )250 km/s and M( r f )=2.5× 10 11 M , to obtain r f =17.11 kpc.

Noting that the gravitational acceleration g~1/ r 2 decreases much faster than a GW ~1/r , we expect both accelerations to be comparable at r= r f , i.e.:

V φ 2 r f GM( r ) r f 2 ϵ c 2 r f . (13)

In this case, we find:

β φ 2 ( r= r f )=ϵ=O( 10 6 )=const. (14)

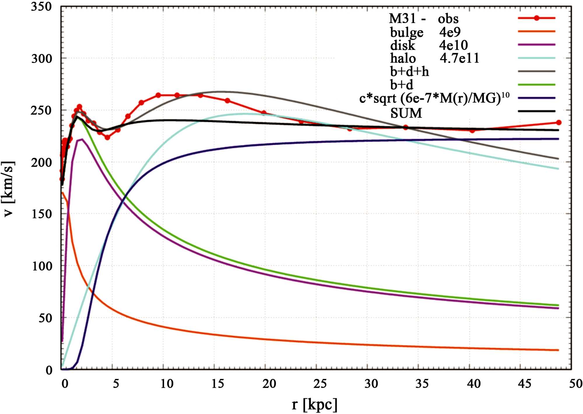
In Figure 4 we show the rotation curves for the main two cases: 1) When the galaxy components consist of a bulge, a massive disk, a central SMBH and massive dark matter halo (gray line); 2) When the dark matter halo is replaced by the force due to GWs (black color). Both cases are contrasted with the observational data (red connected-cycles). Here, we use the available observational rotational velocity data [28] under the so-called “maximum disk” approximation based on the Miyamoto-Nagai disk mass distribution models [29]. Obviously, the effect of GWs throughout the galaxy is similar to that of DM. However, it is relatively weak in intermediate regions, though it converges asymptotically to a constant value in the outermost parts of the galaxy, where the gravitational potential gradient vanishes radially.

Figure 4. The rotational velocity versus radius are plotted for the two cases: 1) When the galaxy consist of a bulge, a disk, a central BH and dark matter halo (gray line); 2) When the dark matter halo is replaced by the force due to GWs (black color). Both cases are contrasted with the observational data (red connected-cycles) of M31.

Based thereon, we conclude that for r r f :

  • The rotational energy per mass, E rot is constant.

  • The topology of spacetime should be flat.

Clearly, the energy of a bunch of gravitational waves would not be sufficient, though a powerful source of GWs over a sufficiently long period of time may do the work. Hence, we require that:

E ˙ GW ( A f disk A f sph ) τ change W curvedflat , (15)

where W curvedflat is the work needed to flatten the curved spacetime in the outer region r r f , where the bulk of masses of spiral galaxies are contained2.

Here A f disk =2π r f H f d is the inner cross-section area of the galactic disk at r f , and A f disk =4π r f 2 is the surface area of the sphere at r f . Substituting H f d =1 kpc, and r f =10 kpc, R out =50 kpc, and ϵ ell 2 β 0 6 = 10 22 , we obtain:

E ˙ GW ( A f disk A f sph ) τ change =( 2.3× 10 38 erg/s )×( 1 20 ) τ change W curvedflat . (16)

The effect of the extended massive disk is crucial for the GWs to flatten the curvature of spacetime within a passage of time comparable to the universe’s age. Here, ϵ depends crucially on the properties of each galaxy, namely on the density distribution of objects, its total mass and age, and the cosmic evolution and activities

of the torus. This may be emphasized in re-writing ϵ as: ϵ= 1 2 R Sch G r f , where R Sch G

is the dynamical Schwarzschild radius of the galaxy, which increases with the mass.

We note that Eq.(14) agrees well with the Tully-Fischer relation [4] [30] [31]:

β φ 4 ( r r f )= β φ 4 ( r f )= ϵ 2 = 1 2 R Sch G ( R Sch G r f 2 )= a 0 M G M G , (17)

where a 0 is a small constant value.

The Effects of Repeated Glitchings

The continuous and intensive loss of energy from the torus via GWs and other efficient cooling processes are expected to facilitate a phase transition of normal matter at the base, i.e. inside the boundary layer -BL, of the torus into a degenerate phase and subsequently increase its density up to the maximum compressibility limit, where it becomes of order ρ3 ρ 0 . Similar to glitching pulsars, once the rotational frequency of the matter inside the BL falls below or becomes comparable to Ω DEO , then a glitch event should occur (see Figure 3 in [15]): The rest rotational energy should be abruptly deposited into the ambient medium, thereby triggering an sudden spin-up of the matter of the torus, and enabling the massive DEO to engulf the BL instantly. Hence, the SMDEO increases its rest mass and size. Furthermore, a glitch event is associated with a topological change of the spacetime embedding the boundary layer from a curved into a flat one, thereby giving rise to the free gravitational energy that can be estimated using the energy theorem [32]:

Δ E ADM = 1 16π S in S BL d 2 S j ( x k g jk x j g kk )0.1 M BL c 2 (18)

Here, the domain of integration, D , is bounded by the inner spherical surface at R in , i.e. the surface of the SMDEO, whereas the outer surface , S BL , is the one that separates the BL from the overlying compressible and dissipative matter of the torus. In the last approximation, the high compactness of the BL is taken into account. The integral simply states that by measuring the curvature of spacetime, we may read off the embedded amount of gravitational mass. However, this doesn’t apply for SuSu-matter, which is hidden in a false vacuum and embedded by a flat spacetime, and therefore undetectable by outside observers [21]. Here, the mass-energy of a SuSu-core should have its confined fields decoupled from the ambient space and time. In the present case, SuSu-cores fall in this category and may safely be treated as quantized quantum fields confined and undetectable by outside observers.

On the other hand, as quantum entities, the time-dependent interactions between the BL and the SMDEO obey the quantum rules, and specifically the Onsager-Feynman quantization equation in superfluidity [15]:

d dt ( Vdl )= d dt ( SΩ )=2π m N ˙ . (19)

Here V,,S,Ω,,m, N ˙ denote the dominant rotational velocity, line-element of the enclosing curve, the enclosed surface area, the reduced Planck constant, the mass of the superfluid particle pair and the rate at which vortex lines are ejected out of the system, respectively.

Unlike simultaneous effects in the microscopic world, reactions on macroscopic scales generally evolve sequentially. Thus, the increase of “S” and decrease of Ω most likely proceed sequentially rather than in parallel. Therefore, the coefficient on the RHS of the equation should be adjusted to the present macroscopic case. Here we split the equation into the two sequential processes:

i: Ω old N Ω new , ii: S old S new ( Ω new Ω old ). (20)

The first equation states that the system slows first its rotational velocity from old high value into the lower value by ejecting a certain number “N” of vortices into the ambient medium, whereas the second equation describes the triggered action by the massive DEO: it engulfs the BL, thereby increasing its mass and size by the factor Ω new / Ω old . We may now use the second equation, in order to to deduce the initial mass of SuSu-cores in pulsars, depending on the current observables, i.e.:

S in = α 0 S now ( Ω now Ω in ) M in = α 0 M now ( Ω now Ω in ) 3/2 , (21)

where α 0 is a constant of order unity. Based on the numerical calculation, the current SuSu-cores of the Crab and Vela pulsars are predicted to be in the mass-ranges: [ 0.125,0.175 ] M and [ 0.55,0.66 ] M , respectively.

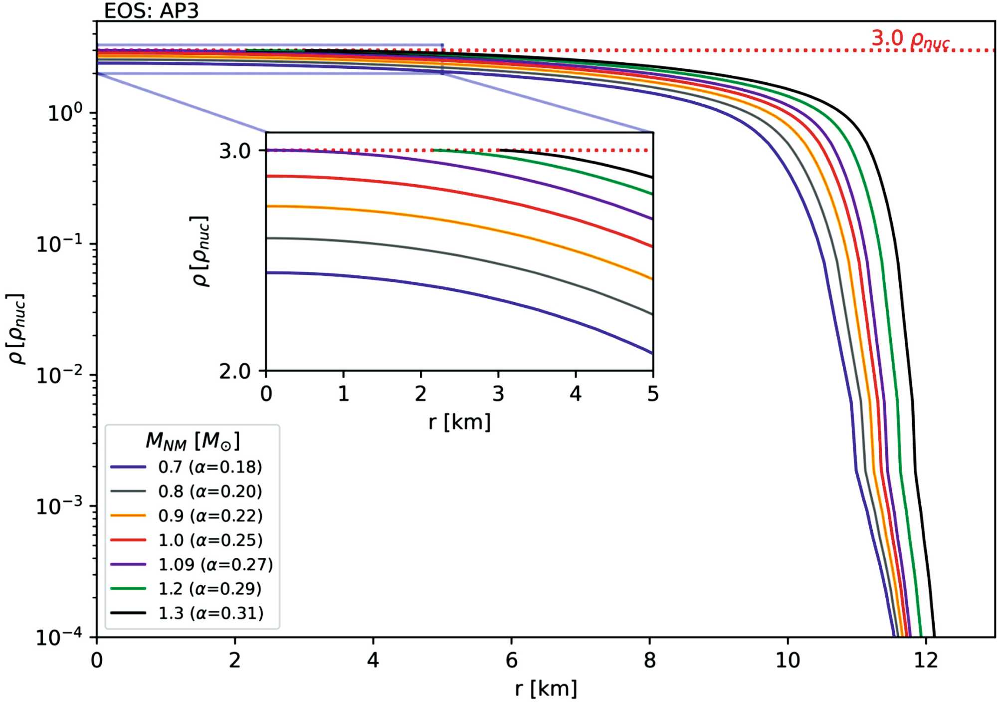
Inserting the initial frequency Ω in =1540 s 1 [33], and the current observational values of both pulsars: Ω Crab now =190 s 1 and Ω Vela now =70 s 1 , we conclude that pulsars, in general, should be born with an embryonic SuSu-core of M SuSu in =0.005 M . Also, our numerical calculations predict that pulsars must be more massive than the lower critical limit of M M cr =1.07 to facilitate the formation of embryonic SuSu-cores (Figure 5).

(a) (b)

Figure 5. Radii of pulsars versus masses for three different critical densities, at which SuSu-cores form, using a large variety of EOSs. The radial distribution of the density inside pulsars using the EOS: AP3. Only pulsars born with masses larger than 1.09 M are capable of developing SuSu-cores with the critical density of ρ cr =3 ρ 0 .

Based thereon, it is reasonable to assume that the radial width of equatorial belts at the base of the torus containing degenerate matter must be at least R min 12 km in order to compress the matter up to the maximum compressibility limit of 3 ρ 0 .

An important counterargument is that the torus may disintegrate into spherical objects gravitationally bound to their self-gravity. However, as the matter of the torus is coherently sliding over the surface of the SMDEO with high angular velocities, the disintegration process here would require the development of counter velocities, which are unlikely under the here-governing physical conditions.

Therefore, we may convert the spherical shapes of SuSu-cores in pulsars into tori surrounding SMDEO, such as in M81, then the total mass of the SuSu-matter in the boundary layer should be of order:

M BL SuSu ~5× 10 3 M × R Sch R min 10 5 M . (22)

Similar to the well-documented glitch phenomena in several pulsars, the physical conditions of the matter in the BL should adapt to those governing SuSu-matter inside DEOs. Specifically:

  • The matter’s energy in the BL should become irreducible.

  • The matter’s density should reach the maximally compressible limit, 3 ρ 0 , beyond which it goes into the pure incompressible phase.

Once the adaption is accomplished, the central monster engulfs the BL abruptly, thereby increasing its rest mass and size in accord with3 Eqs. (19, 21), whilst freeing both the gravitational and rotational energies of the BL, i.e.:

Δ E glitch free = [ E rot + E GE ] BL = [ 1 2 I Ω 2 +M c 2 ] BL , (23)

though M BL c 2 is the largely dominate over E rot . The freed E rot should diffuse throughout the entire torus, thereby triggering a prompt spin-up of the rotational velocity of the torus, which in turn boosts the energy loss via magnetic dipole and gravitational radiation. The freed E GE free would evoke an expansion/smoothing fronts that propagate throughout the entire embedding spacetime, which, in turn, affect the dynamics of objects in the ambient space and particularly those inside the Lagrangian region L1. Using Eq. (22), the released gravitational energy during a glitch event amounts to roughly:

E GE free ( r= R 0 )=0.1 M BL × c 2 =O( 10 58 )erg. (24)

Although this is a vast amount of energy, only a portion of it will still find its way to the objects around r f =10 kps and beyond, namely:

E GE free ( r= r f )( A f disk A f sph ) N glitch 10 58 erg×( 1 20 ) N glitch W curvedflat . (25)

This energy may considerably flatten the curvature of spacetime around r f , provided the glitch events are sufficiently frequent. The repetitions of glitch events here depend mainly on the rate of normal matter supply from the ambient medium. In the case of M81, and assuming accretion to be the main source of matter, then an accretion rate of order: M ˙ 10 { 5,4 } M / yr (see [28] and [34], and the references therein), would imply that the re-creation time of the massive BL would be of order τ BL Gyr. Recalling that SMDEOs belong to the family of SuSu-cores inside pulsars and that the repetition of glitch events should have been much more frequent in the early times compared to later epochs, we conclude that the effects of glitching on the ambient media and the topology of the embedding spacetimes are cumulative ones over their cosmic evolutions.

While the freed energy, Δ E glitch free , seems to be large, it falls in the category of perturbation due to the vast energy of the bulge. Nevertheless, this energy may still alter the force balance of objects in the Lagrangian-region L1, where objects are loosely bound to the gravitational fields of both the bulge and the central SMDEO-Torus system (Figure 2). The objects in L1 would experience the abrupt release of Δ E glitch free mainly through the sudden reduction of the central gravitational mass of the torus, then the resulting access of centrifugal forces enforce the objects to start drifting outward, thereby transporing energy and angular momentum.

Similar to accretion processes in astrophysical disks, the outward transport of angular momentum is carried out by relatively a small number of the objects, whereas the majority of the objects settle down in the bulge, whilst a much smaller number may fall deeply into the gravitational well of the central system to finally merge with the torus.

The flattening of the spacetime curvature triggered by the abrupt mass-deficient of the central system certainly affects the objects with maximum possible rotational

energy, i.e. where dΩ dr =0 , which is inside the Lagrangian region L1. This serves as

saddle points, where objects gather together to exchange angular momentum; a small part may succeed in migrating outwardly, while the rest continue to be bound to the central torus-bulge system.

To verify our arguments, we carried out massive parallel computations using the modern version of the N-Body code Kepler with 400 k particles (see [35] and [36], for further details). In Figures 6 and Figures 7, we show a series of glitch events having the frequency of one glitch per 100 Myr. A glitch event of the central SMDEO-Torus system perturbs the force balance of the objects inside the Lagrangian L1-region, thereby enabling them to develop outward-oriented motions, which, however, bounce back in this bound in gravitationally bound environments. The process appears to enable objects to alter their trajectories from initially circular to elliptical ones, which, under normal astrophysical conditions, should give rise to momentum exchange and, therefore, an inward and outward drifting of objects, i.e. to disk formation and accretion.

3. Summary & Conclusion

In this article, a new scenario for explaining the origin and evolution of the rotation curves observed in spiral galaxies is presented. The scenario suggests that highly rotating, hot and dense tori inside the equatorial regions around SMDEOs can be considered as extraordinarily powerful sources for the emission of gravitational waves that are capable of altering the topology of the embedding spacetime as well as the dynamics of the rotating objects in the outer regions of spiral galaxies and endow them the observed rotation curves.

The scenario relies mainly on the following arguments (see [9] and [21], for further details):

1) The invisible supermassive objects at the centres of galaxies are not massive BHs, but rather, they are dense tori made of dense normal matter surrounding ultra-massive DEOs.

The latter are fully developed ultra-compact objects that grew through sequential mergers of massive pulsars and neutron stars and are made of the incompressible supranuclear dense superfluids (SuSu-matter): the lowest possible quantum energy state, which is identical to false vacuum, and therefore are undetectable from outside observers.

2) The spacetime embedding astrophysical objects made of SuSu-matter must be flat.

Based thereon, we found that:

  • The spatially asymmetric and temporarily varying mass distribution of the SMDEO-Torus are powerful sources for generating gravitational waves. These are powerful agents for transporting energies and angular momentum to the ambient media.

  • Similar to glitching pulsars, the compressible and dissipative matter of the torus is energetically and rotationally decoupled to the underlying core of SuSu-matter. This enables the matter of the torus to slide almost freely and reach relatively high rotational velocities, which significantly causes energy losses via magnetic dipole and gravitational radiations and the formation of powerful jets.

(a)

(b)

Figure 6. A schematic description of the glitch events of the SMDEO-Torus system (top). Rapid cooling of the matter of the torus via emission of GWs and f magnetic dipole radiation lead to the formation of geometrically thin BL made of maximally compressible supranuclear dense matter, which is then swallowed abruptly by the giant DEO. This action triggers a burst of gravitational energy and to the ejection of rotational energy that affect the dynamics of objects inside the Lagrangian-L1 region. The BL is set to rebuild through accretion, merger and/or tidal disruption of nearby objects on a time scale of roughly 100 Myr. In the lower panel we show the prompt response of the objects inside L1, where both their rational and radial velocities undergo rapid enhancements.

Figure 7. The initial distributions of the angular and radial velocities of objects inside L1, (left and right panels/top). In the middle, we show the effects of glitching on the distributions of both V φ and V rad . Here, glitching alters the force balance exerted on the objects inside L1, causing them to start moving outwardly, whilst the increase of the enclosed mass forces them to change their circular trajectories into elliptically bound ones. The procedure is periodic on the glitching time scale, as shown in the bottom panel, which may explain the irregularities observed in the rotational curves in the innermost regions of galaxies.

  • Similar to glitching pulsars, DEO-Torus systems undergo glitch events, through which DEOs increase their rest masses and volumes abruptly.

  • The prompt conversion of the normal matter of the BL into SuSu-matter, which subsequently is swallowed by the SMDEO, is associated with topological changes of the spacetimes embedding the BL from curved into flat one, and therefore to an abrupt decrease of the gravitational mass of the SMDEO-Torus system.

This, in turn, alters the force balance of the objects in the Lagrangian region, L1, thereby evoking outward-oriented motions of order V r ~ 10 2 V φ .

  • Glitch events are associated with abrupt ejections of rotational and gravitational energies into the ambient media, thereby triggering abrupt spin-up events of the torus. Thanks to both the emission of magnetic dipole E MDR , and gravitational radiation E GR , as well as to the formation of jets, are sufficiently powerful to affect the rotational dynamics of the objects in the bulge and beyond. The energies, E MDR and E GR generated by the SMDEO-Torus system are capable of transferring into the galactic disks via GWs are sufficiently large for altering the rotational dynamics of the objects without invoking dark matter.

  • GWs generated by SMDEO-torus systems shall traverse billions of galaxy objects, thereby squeezing and stretching them: a process through which GWs lose energy. These GWs-matter interactions serve as damping processes that give rise to the formation of the force, f GW , capable of flattening the curved spacetime in the outer regions of spiral galaxies, thereby endowing the objects in these regions the observed flat rotation curves.

Finally, numerical simulations have indicated that the powers of jets in galaxies correlate with the accretion rate, and they may carry away up to 10% of the accreted matter. This correlation should apply to the here-suggested SMDEO-Torus system also. The consequence here is that inactive galaxies displaying weak jets should have low-energy torii and, therefore, are incapable of triggering glitch events, so the emitted GWs are too weak to be tracked by terrestrial detectors.

Furthermore, although the total emitted gravitational radiation, whether through the continuous processes (from the torus) or through the discrete glitch events, are far below the work needed to flatten the curvature in the outer parts of spiral galaxies, they may still accomplish this work within passages of times comparable to the universe’s age. This, however, implies that the concerned galaxies must be much older than just several billion years only, which nicely agrees with the UNIMOUN model, which predicts our universe to be a tinny part of the infinitely large parent universe [9].

Acknowledgements

This work has been financed by the IWR-KAUST cooperation project. We thanks Mr. Wicker for providing the figures related to the solutions of the TOV equation.

NOTES

1The lowest possible local energy state, that may still decay into the true vacuum state governing the infinitely large parent universe.

2The disk in M31 makes roughly 60% of the galaxy’s mass.

3Due to the incompressibility condition.

Conflicts of Interest

The authors declare no conflicts of interest regarding the publication of this paper.

References

[1] Milgrom, M. (2001) MOND: A Pedagogical Review. Acta Physica Polonica B, 32, 3613.
[2] Peebles, P.J.E. (2017) Growth of the Nonbaryonic Dark Matter Theory. Nature Astronomy, 1, Article No. 0057.[CrossRef
[3] Bertone, G. and Hooper, D. (2018) History of Dark Matter. Reviews of Modern Physics, 90, Article ID: 045002.[CrossRef
[4] Haddad, F. and Haddad, N. (2020) A Black Hole inside Dark Matter and the Rotation Curves of Galaxies. arXiv: 2002.12772.
[5] De-Chang, D., Glenn, S. and Dejan, S., (2022) Milky Way and M31 Rotation Curves: ΛCDM vs. MOND. Physical Review D, 105, Article ID: 104067.
[6] Riess, A.G., Casertano, S., Yuan, W., Macri, L.M. and Scolnic, D. (2019) Large Magellanic Cloud Cepheid Standards Provide a 1% Foundation for the Determination of the Hubble Constant and Stronger Evidence for Physics Beyond Λcdm. The Astrophysical Journal, 876, Article 85.[CrossRef
[7] Di Valentino, E., Mena, O., et al. (2021) In the Realm of the Hubble Tension—A Review of Solutions. arXiv: 2103.0118.
[8] Dainotti, M.G., De Simone, B., Schiavone, T., Montani, G., Rinaldi, E. and Lambiase, G. (2021) On the Hubble Constant Tension in the Sne IA Pantheon Sample. The Astrophysical Journal, 912, Article 150.[CrossRef
[9] Hujeirat, A.A. (2023) Foundation of the Unicentric Model of the Observable Universe—UNIMOUN. Journal of Modern Physics, 14, 415-431.[CrossRef
[10] Hujeirat, A. (2023) Hubble Tension versus the Cosmic Evolution of Hubble Parameter in the Unicentric Model of the Observable Universe. Journal of Modern Physics, 14, 183-197.[CrossRef
[11] Hujeirat, A.A. and Wicker, M. (2024) Why the Central Monster in M87 Should Be a Massive DEO Rather than a SMBH? Journal of Modern Physics, 15, 537-549.[CrossRef
[12] Einstein, A., (1918) Sitzungsberichte der Königlich Preussischen Akademie der Wissenschaften zu Berlin. Deutsche Akademie der Wissenschaften zu Berlin, 154-167.
[13] Abbott, B.P., Abbott, R., Abbott, T.D., Acernese, F., Ackley, K., Adams, C., et al. (2019) Properties of the Binary Neutron Star Merger Gw170817. Physical Review X, 9, Article ID: 011001.[CrossRef
[14] Ligo Cooperation (2023) Another Long Hard Look for a Remnant of GW170817.
https://www.ligo.org/science/Publication-GW170817PostMergerLong/index.php
[15] Hujeirat, A.A. (2018) Glitches: The Exact Quantum Signatures of Pulsars Metamorphosis. Journal of Modern Physics, 9, 554-572.[CrossRef
[16] Hujeirat, A.A. and Samtaney, R. (2020) The Remnant of GW170817: A Trapped Neutron Star with a Massive Incompressible Superfluid Core. Journal of Modern Physics, 11, 1785-1798.[CrossRef
[17] Espinoza, C.M., Lyne, A.G., Stappers, B.W. and Kramer, M. (2011) A Study of 315 Glitches in the Rotation of 102 Pulsars. Monthly Notices of the Royal Astronomical Society, 414, 1679-1704.[CrossRef
[18] Roy, J., Gupta, Y. and Lewandowski, W. (2012) Observations of Four Glitches in the Young Pulsar J1833−1034 and Study of Its Glitch Activity. Monthly Notices of the Royal Astronomical Society, 424, 2213-2221.[CrossRef
[19] Ashton, G., Lasky, P.D., Graber, V. and Palfreyman, J. (2019) Rotational Evolution of the Vela Pulsar during the 2016 Glitch. Nature Astronomy, 3, 1143-1148.[CrossRef
[20] Hujeirat, A.A. and Samtaney, R. (2020) How Massive Are the Superfluid Cores in the Crab and Vela Pulsars and Why Their Glitch-Events Are Accompanied with under and Overshootings? Journal of Modern Physics, 11, 395-406.[CrossRef
[21] Hujeirat, A.A. and Wicker, M.M. (2023) Evidence for False Vacuum States Inside the Cores of Massive Pulsars and the Ramification on the Measurements of Their True Masses. Journal of Modern Physics, 14, 1409-1425.[CrossRef
[22] Shapiro, S.L. and Teukolsky, S.A. (1983). Black Holes, White Dwarfs, and Neutron Stars. Wiley. [Google Scholar] [CrossRef
[23] Thorne, K. (1995) Gravitational Waves. arXiv: gr-qc/9506086.
[24] Kenath, A. and Sivaram, C. (2023) Physics of Gravitational Waves. Springer.
[25] Barausse, E. (2023) The Physics of Gravitational Waves. arXiv: 2303.11713.
[26] Bishop, N.T., Kakkat, V., Kubeka, A.S., Naidoo, M. and van der Walt, P.J. (2024) The Interaction of Gravitational Waves with Matter.
https://arxiv.org/abs/2405.07743
[27] Baym, G., Pathik, C.J. and Patil, S.P. (2017) Damping of Gravitational Waves by Matter. arXiv: 1707.05192.
[28] Sofue, Y. (2015) Dark Halos of M31 and the Milky Way. arXiv: astro-ph1504.05368.
[29] Miyamoto, M. and Nagai, R. (1975) Three-Dimensional Models for the Distribution of Mass in Galaxies. Publications of the Astronomical Society of Japan, 27, 533-543.
[30] Tully, R.B. and Fisher, J.R. (1977) A New Method of Determining Distances to Galaxies. Astronomy and Astrophysics, 54, 661-673.
[31] McGaugh, S.S., Schombert, J.M., Bothun, G.D. and de Blok, W.J.G. (2000) The Baryonic Tully-Fisher Relation. The Astrophysical Journal, 533, L99-L102.[CrossRef] [PubMed]
[32] Witten, E. (1984) Cosmic Separation of Phases. Physical Review D, 30, 272-285.[CrossRef
[33] Haensel, P., Lasota, J.P. and Zdunik, J.L. (1999) On the Minimum Period of Uniformly Rotating Neutron Stars. Astronomy and Astrophysics, 344, 151-153.
[34] Garcia, M.R., Hextall, R., Baganoff, F.K., Galache, J., Melia, F., Murray, S.S., et al. (2010) X-Ray and radio Variability of M31*, the Andromeda Galaxy Nuclear Supermassive Black hole. The Astrophysical Journal, 710, 755-763.[CrossRef
[35] Berczik, P., Spurzem, R., Zhong, S., Wang, L., Nitadori, K., Hamada, T., et al. (2013) Up to 700k GPU Cores, Kepler, and the Exascale Future for Simulations of Star Clusters around Black Holes. In: Kunkel, J.M., Ludwig, T. and Meuer, H.W., Eds., Supercomputin, Springer, 13-25.[CrossRef
[36] Li, S., Liu, F.K., Berczik, P., Chen, X. and Spurzem, R. (2012) Interaction of Recoiling Supermassive Black Holes with Stars in Galactic Nuclei. The Astrophysical Journal, 748, Article 65.[CrossRef

Copyright © 2025 by authors and Scientific Research Publishing Inc.

Creative Commons License

This work and the related PDF file are licensed under a Creative Commons Attribution 4.0 International License.