Distribution, Mobility, and Health Risks Assessment of Trace Metals in River Sediments from Intense Agricultural Activity Areas in West Africa

Abstract

The economy of West African countries is mainly based on agriculture. However, the trace metal(loid)s contamination status in rivers is relatively unknown in the region. In this work, 45 surface sediments collected from the Bandama, Comoé, and Bia Rivers in south and south eastern Côte d’Ivoire (West Africa), were analyzed for total metal concentrations and chemical speciation. The results showed that the river sediments were considerably contaminated by Cd and moderately contaminated by As, Cu, Pb, and Zn. Significant spatial variations were observed among the stations but not between the rivers. Metals Cd and Cu were likely to cause more ecological risks. The speciation analysis unravelled that the metal(loid)s partitioned mainly in the residual fraction, with the potential mobile fraction varying from 14% to 28%. The study calls for establishment of strict policies relative to the application of fertilizers and agrochemicals and mining activities to protect the environment and human health risks.

Share and Cite:

Ouattara, A. , Soro, M. , Kouadio, A. , Koné, H. and Trokourey, A. (2024) Distribution, Mobility, and Health Risks Assessment of Trace Metals in River Sediments from Intense Agricultural Activity Areas in West Africa. Journal of Materials Science and Chemical Engineering, 12, 12-42. doi: 10.4236/msce.2024.128002.

1. Introduction

Trace metal(loid) pollution has been a worldwide environmental problem for many years [1]-[5]. Trace metal(loid)s are widespread, potentially toxic, and persistent in aquatic ecosystems [6] [7]. After being transported into aquatic ecosystems, trace metal(loid)s can be absorbed by suspended solids and accumulated in sediments and biomagnified along aquatic food chains [8]. Sediment acts as a sink for trace metal(loid)s, but they can rerelease trace metal(loid)s back into the water column, acting as a source of pollutants and degrading the quality of the aquatic ecosystems [9] [10]. This can occur through sediment resuspension, desorption, reduction or oxidation reactions, and degradation of organic tissues [11]. Therefore, the accumulation of trace metals in sediment is a cause of growing interest and concern. Chronic exposure of living organisms to trace metals can have harmful effects on their metabolism, activity and reproduction. Long-term exposure to trace metals by humans has caused intellectual and developmental disabilities, behavioral problems, hearing loss, learning and attention problems, disruption of visual and motor function, and various cancers. A significant source of trace metal(loid)s in the human diet may originate from higher trophic level aquatic organisms (e.g., predatory fish) providing a linkage between aquatic food webs and human health. Further, interactions associated with chronic exposure to multiple trace metal(loid)s may induce more severe ecosystem and human health consequences than that might be expected from low individual metal concentrations alone [12] [13]. Environmental problems caused by trace metal(loid) pollution in aquatic ecosystems have recently been relatively studied in many areas globally so that procedures for effectively managing these ecosystems can be developed. Moreover, some studies have revealed potential human health risks from exposure to trace metal(loid)s. For example, As may cause cancer (e.g., bladder, kidney, liver, lung, and prostrate) and reproductive damage. Cd has been classified as a Class 1 carcinogen by U.S. EPA, and it is known to be one of the causes of cardiovascular problems [14]-[17]. It is known that the total sediment concentration of a trace metal(loid) is not sufficient for establishing the impact, mobility, availability, and toxicity of trace metal(loid)s in the aquatic environment.

Bioavailability of metal(loid)s depends upon the forms that they adopt in a given environment. Speciation testing is performed to establish the chemical forms in the environment [18]-[20]. Sequential extraction is a well-established approach for the investigation of different forms of trace metals in sediments [21]. Thus, multi-step sequential extraction schemes have been used to estimate the metal bioavailability in sediments and their potential risks to aquatic ecosystems and humans [12] [22]-[24]. Moreover, risk and quality indices are widely used to assess sediment pollution status with metals. Among them, the geochemical indices such as the geoaccumulation index (Igeo), enrichment factor (EF), contamination factor (CF), pollution load index (PLI) allow assessment of metal(loid) contamination levels, while the potential ecological risk index (RI) aims examining the ecological risks posed by metal(loid)s to the environment and humans. Therefore, they appear suitable tools for environmental management [11]. Furthermore, the application of multivariate statistical techniques (PCA, Pearson’s correlation analysis and Cluster analysis) offers a more informative and comprehensive assessment of the state of metal contamination and delineation of natural (geogenic) and/or external (anthropogenic) sources [25].

Trace metal(loid)s contamination surge in aquatic ecosystems usually accompanies rapid economic development [18]. Mining activities, fertilisers and pesticides in agriculture land, industrial activities, urban activities, road traffic, and domestic wastes are the main anthropogenic sources of trace metal(loid)s [14] [26]-[31]. Little attention has been paid to environmental problems caused by heavy metal contamination in sediments rivers in West Africa, especially in agricultural-based economic countries. For example, economic development, especially agricultural development, has recently been continuously and rapidly intensifying in Côte d’Ivoire. South Côte d’Ivoire is the most developed and most densely populated region in Côte d’Ivoire. Therefore, it is important to comprehensively understand metal contamination characteristics in different rivers in this area to provide a reference point for the development of better procedures for controlling and managing trace metal(loid)s in impacted ecosystems.

The objective of this study was to evaluate the trace metal(loid)s pollution status of three rivers in Côte d’Ivoire with the view to understand metal(loid)s mobility, sources, and ecological risks. To obtain this, trace metal(loid)s Al, As, Cd, Cu, Fe, Pb, and Zn concentrations in surface sediments collected from fifteen study areas were determined. The geochemical contamination indexes such as enrichment factors (EF), Geo-accumulation index (Igeo), Contamination factor (CF), and pollution load index (PLI) were calculated to evaluate the degree of contamination and the importance of lithogenic and anthropogenic sources. The sediment quality and potential risks to biota were examined through Sediment quality guidelines (SQGs), the risk assessment code (RAC), and the ecological risk index (RI). Finally, the possible sources of metal(loid)s were determined through multivariate statistical analyses.

2. Materials and Methods

2.1. Description of the Study Areas

Fifteen study stations (Figure 1) in south Côte d’Ivoire affected by agricultural activities were selected along three rivers. The study area covers Sud Comoé, Indénié Djuablin, Mé, l’Agneby-Tiassa and Grands ponts regions. The rivers were the Bandama River (BA), the Comoé River, and the Bia River.

Area 1: The Bandama River is formed by two rivers Bandama white and Bandama red or Marahoué, is the longest river and provides the largest discharge volume in south Côte d’Ivoire. It originates from Boundiali region at an elevation of approximately 400 m and has a length of 1050 km and about 97,000 km2 catchment area. The flow is estimated to be 1645 m3/s in spate (October) and 25 m3/s in (January), (with an average discharge rate of 263 m3/s) [30]. The basin is ecologically sensitive. The Bandama River basin sediment samples were collected from the Bandama River and N’zi River.

Figure 1. Sampling locations of surface sediments collected from Bandama, Comoé and Bia River (Côte d’Ivoire).

Nearly 80 % of the total area located in the high ranges is susceptible to erosion and mass movements. The average rainfall in the basin ranges between 1400 to 2500 mm. The river water is mainly used for agricultural irrigation, hydroelectric power generation, and potable water supply for domestic and industrial uses [14] [30].

Area 2: The Comoé Rivera nd one of its triburay, the Mazan River: The Comoé River, one of the four main rivers systems of the Côte d’Ivoire, originates at the Banfora region in Burkina Faso. With an annual average flow of over 106 m3/s, it traverses about 1160 km through Côte d’Ivoire urban and rural districts, before joining Ebrié Lagoon. The river waters are used for agricultural purposes and fish culture. The Comoé River basin measures about 78,000 km2. The wettest months are May to July and October to December in the study area. Comoé River waters are primarily used for irrigation, household consumption, and electricity generation [30].

Area 3: The Bia River: Nearly 98.2 % of the land area is used for agricultural activities. The Bia River originates from Ghana in north of Chremaso, flows southward through central Ayamé, and discharges into the Atlantic Ocean through Aby Lagoon. The Bia River is about 290 km length. The Bia River is located east Côte d’Ivoire; its annual average water discharge is 104 m3/s.

2.2. Sample Collection and Preparation

Surface sediment samples were collected using a Vann Veen grab between March and October 2016. Five sampling stations were established in each study area, 30 sediments samples were collected from the selected sampling stations. Sediment samples were taken at 0 - 50 cm depth and then immediately transferred into polyethylene bags. Prior to sampling, the polyethylene was washed with 10% HNO3 acid solution and ringed with distilled water. Sediments samples were transported using ice box to the laboratory and preserved in a refrigerator at 4˚C temperature. Sediment samples were dried in a dry and dust-free place at room temperature, ground into fine powder using pestle and mortar before sieving under 63 μm sieve. The samples were then stored in plastic container [10] and shipped to Laboratoire de Chimie Organique Bioorganique Réactivité et Analyse (COBRA), Université de Rouen, France for further analysis. All sampling devices were cleaned by rinsing with pure water and kept in 0.1 M HNO3 (68%, Fischer Scientific) for several days before sampling.

2.3. Physico-Chemical Analysis of River Sediment

Physico-chemical parameters of samples were measured by using different instruments and methods. Total organic carbon (TOC) was determined by loss on ignition (in percentage) of 1.0 g of dried sediments in an oven at 550˚C for 4 h [32]-[34]. The precision of three triplicate analyses of each sample fell within the error range of 5% - 8%. And textural analysis was carried out dry sieving technique [14] for determination of coarser particles.

2.4. Estimation of Trace Metal(loid)s in Sediments

Sediment samples were digested using a microwave-assisted digestion system (Milestone Ethos 1 microwave, Shelton, US), following Method 3051 A described in Kinimo et al. [14]. Approximately 0.5 g of homogenised sediment was introduced into Teflon reactors containing a mixture of 3 mL 68% HNO3 and 9 mL 37% HCl (trace metal grade, Fisher Scientific) and digested [35]. Then, the digestion was performed under high power at programmed temperatures and time intervals: 0 to 10 min, 25˚C to 150˚C; 10 to 15 min, 150˚C; 15 to 20 min, 150˚C to 165˚C; 20 to 25 min, 165˚C; 25 to 30 min, 180˚C. After cooling, the solutions were diluted to 50 mL with 2% HNO3 in Teflon tubes and centrifuged at 4000 rpm for 5min prior analysis of the supernatant. Trace metal(loid)s As, Cd, Pb, Cu, Zn, Fe, and Al were measured using an inductively coupled plasma-optical emission spectrometer (ICP OES Icap 6200, Thermo Fisher, Cambridge, UK).

Three replicates of each sample were analysed and showed errors of less than 6%. Accuracy of the analytical procedures were evaluated through the analysis of the certified reference material CNS301-04-050 (µg/g) Buffalo River (U.S.A), NIST, US, for sediment river. The measured concentrations fell within the range of certified values (Table S1), and the recoveries varied between 98% (As) and 111% (Zn).

2.5. Assessment of Sediment Contamination

In this study, four different indices were used to assess the degree of trace metal (loid)s contamination in the river sediments.

2.5.1. Geo-Accumulation Index (Igeo)

The geo-accumulation index (Igeo) is calculated using the following formula:

I geo  = log 2 ( C n 1.5× B n ) (1)

where, Cn is the measured concentration of the metal (n) in the sediment and Bn is the geochemical background of the metal (n). The factor 1.5 is used for the possible variations of the background data due to lithological variations. Seven classes of the geochemical index have been distinguished. Class 0 (practically unpolluted): Igeo ≤ 0; Class 1 (unpolluted to moderately polluted): 0 < Igeo < 1; Class 2 (moderately polluted): 1 < Igeo < 2; Class 3 (moderately to heavily polluted): 2 < Igeo < 3; Class 4 (heavily polluted): 3 < Igeo < 4; Class 5 (heavily to extremely polluted): 4 < Igeo < 5; Class 6 (extremely polluted): Igeo > 5 [14].

2.5.2. Contamination Factor (CF)

The CF is the ratio obtained by dividing the concentration of each metal in the sediment by baseline or background value. CF for each metal was determined by the following formula [9]:

CF= Measured metal concentration Background concentration of the same metal (2)

Hakanson [9] has provided four grade ratings of sediments based on the CF values where CF < 1 indicates low contamination, 1 < CF < 3 indicates moderate contamination; 3 < CF < 6 signals considerable contamination; and CF > 6 implies very high contamination.

2.5.3. Pollution Load Index (PLI)

PLI for each station was determined as the nth root of the multiplications of the contents (CF metals) following Equation 3 proposed by Tomlinson et al. [36]:

PLI= ( CF 1 × CF 2 × CF 3 ×× CF n ) n (3)

where, CF is the contamination factor and n is the number of metals. A PLI value of > 1 indicates the area is polluted, whereas PLI < 1 indicates no pollution. This index is quickly understood by unskilled personal in order to compare the pollution status of different places.

2.5.4. Enrichment Factors

The EF values of heavy metals in the surface sediment samples were calculated using Equation 1 to provide information on the sources and temporal variations of the metal contaminants in the contributions of the different sources [23].

EF= ( Metal/ Fe )Sample ( Metal/ Fe )Background (4)

In this study, iron (Fe) was used as the reference element for geochemical normalization because of the following reasons: 1) Fe is associated with fine solid surfaces; 2) its geochemistry is similar to that of many trace metals, and 3) its natural concentration tends to be uniform. EF values were interpreted as suggested by Sakan et al., [23] where: EF < 1 indicates no enrichment; EF < 3 means minor enrichment; 3 < EF < 5 points moderate enrichment; 5 < EF < 10 indicates moderately severe enrichment; 10 < EF < 25 implies severe enrichment; 25 < EF < 50 signifies very severe enrichment; and EF >50 suggests extremely severe enrichment.

2.6. Sediment Quality Guidelines

Two sets of sediment quality guidelines were used to estimate the potential for adverse biological effects on organisms from metals present in the river sediments studied. These are ERL (Effects Range Low) and ERM (Effects Range) Medium on the one hand, and TEL (Threshold Effects Level) and PEL (Probable Effects Level) on the other. These guidelines represent two different scales that can be used to assess toxicity and define three ranges of contaminant concentrations. Concentrations below ERL/TEL are rarely associated with adverse effects, whereas concentrations between ERL/TEL and ERM/PEL may be associated with adverse effects, and concentrations above ERM/PEL are associated with toxicity [37] [38].

2.7. Risk Assessment

The ecological risk index ( E r i ) (Equation 5) was calculated to evaluate ecological risks of an individual metal [8]. The comprehensive potential ecological risk index (RI) (Equation 6) was calculated to evaluate harmful effects of all the measured trace metals and metalloids in the environment.

E r i = T r i ×( C i C 0 ) (5)

Following equation was used to calculate the risk index (RI) of sampling sites:

RI= i=1 n ( T r i × C i C 0 ) (6)

Ci is the concentration of metal i in the sediment, C0 is the background concentration of metal i in the UCC given by Wedepohl (1995); T r i is the biological toxicity factor of an individual element, referring to Hakanson (1980). T r i values for As = 10, Cu = Pb = 5, Zn = 1 and Cd = 30. RI is defined as the sum of E r i for all heavy metals. Hakanson (1980) categorised E r i and RI values into five and four potential ecological risk levels, respectively. E r i values < 40 denotes low risk, 40 ≤ E r i < 80 bespeaks moderate risk, 80 ≤ E r i < 160 means considerable risk, 160 ≤ E r i < 320 indicates high risk, E r i ≥ 320 points very high risk. RI values < 150 imply low ecological risk, 150 ≤ RI < 300 points moderate ecological risk, 300 ≤ RI < 600 indicates considerable ecological risk, RI ≥ 600 tells very high ecological risk.

2.8. Sequential Extraction Procedure

In this study As, Cd, Cu, Pb, and Zn were sequentially extracted from fraction of sediments following the optimized BCR sequential extraction procedure. Extraction was performed in duplicate using 1.00 g portions of dried sediment [21] [39] [40]. The BCR procedure fractionates metals into: a) an acid soluble fraction (F1) consisting of exchangeable metals, and metals bound to carbonates, which are easily released to the water column; b) a reducible fraction (F2) which consists of metals bound to iron and manganese oxyhydroxides, which can be released when redox conditions change; c) an oxidizable fraction (F3) that represents the metal bound to organic matter and sulphides, which can be released under oxidizing conditions; and the fourth fraction R, obtained by digestion of the residue from the third fraction extraction, provides an indication of the contents of metals associated with the residual components of the sediment matrix [21] [41]. The detail description of this procedure can be found in Canuto et al. [21]. The recovery rates obtained using the BCR sequential extraction method are presented in Table S2.

2.9. Statistical Analyses

Multivariate statistical analyses including principal component and cluster analyses were performed to estimate geochemical factors controlling trace metals distribution in the sediments. The One Way Analysis of variance (ANOVA) was performed to examine differences among the sites and the activity types. The pairwise multiple comparison procedures were performed using the Tukey Test when the tests of normality and equal variance were positive. The Kruskal-Wallis One Way Analysis of Variance on Ranks was performed when the equal variance test failed. The difference was considered statistically significant at p < 0.05. Statistical analyses were performed with SigmaPlot 12.5, except cluster analysis that was performed with Statistica 7.1 Software.

3. Results and Discussion

3.1. Sediment Characterization

Sediment grain size is an important controlling factor influencing trace metals distribution in river sediments. Fine grain sediment tends to absorb the soluble metal from water and carry them to the bottom sediment [42]. Results of sediment size fractionation showed that the sediments of the rivers were sand dominated with 93.5% to 99.6% sand content (average 96.5 %, 96.4 % and 97.7 %, respectively, for the Bandama, Comoé and Bia Rivers); clay and silt content varied between 0.39%to 6.50 % (average 3.49%, 361% and 2.34%, respectively, for the Bandama, Comoé and Bia Rivers) (Figure S1).

Sediment TOC content was found within a range of 0.54 to 5.8% with an average of (2.41 ± 1.48) %, (2.35 ± 1.58) %, (1.75 ± 0.95) % respectively in the Bandama, Comoé and Bia Rivers (Figure S2). The concentration of OM can be significantly affected by local conditions such as morphology and hydrology of the river as well as the presence of vegetation [43]. The average TOC concentration followed the order Bandama > Comoé > Bia.

3.2. Spatial Distribution of Trace Metal(loid)s in River Sediments

The major (Al and Fe) and traces elements (As, Cd, Cu, Pb and Zn) mean concentrations in the surface sediments in all stations from the three rivers are shown in Figure 2.

Figure 2. Average concentrations of trace metal(loid)s in surface sediments from Bandama, Comoé and Bia River.

Statistical summary and upper continental crust reference values of the metal contents are presented in Table S3.

The concentration of Fe and Al in the river sediment is derived from natural sources such as weathering of parent material. Iron and aluminium concentration in river varied from 3282 to 78633 µg/g and 1227 to 66613 µg/g. The average Fe and Al concentrations in the sediments of the Bandama, Comoé and Bia River were (22911 ± 16114) µg/g, (22793 ± 20490) µg/g and (10264 ± 9089) µg/g, and (22425 ± 19549) µg/g, (15378 ± 18568) µg/g and (11936 ± 14624) µg/g, respectively. Al and Fe are the major elements and they are most abundant metals in all sediments because these metals are common elements in the Earth crust [1]. The average concentration values of Al and Fe are lower than both crustal average and upper continental crust. From this comparison, concentration of Al and Fe concentrations have not been affected by anthropogenic activities.

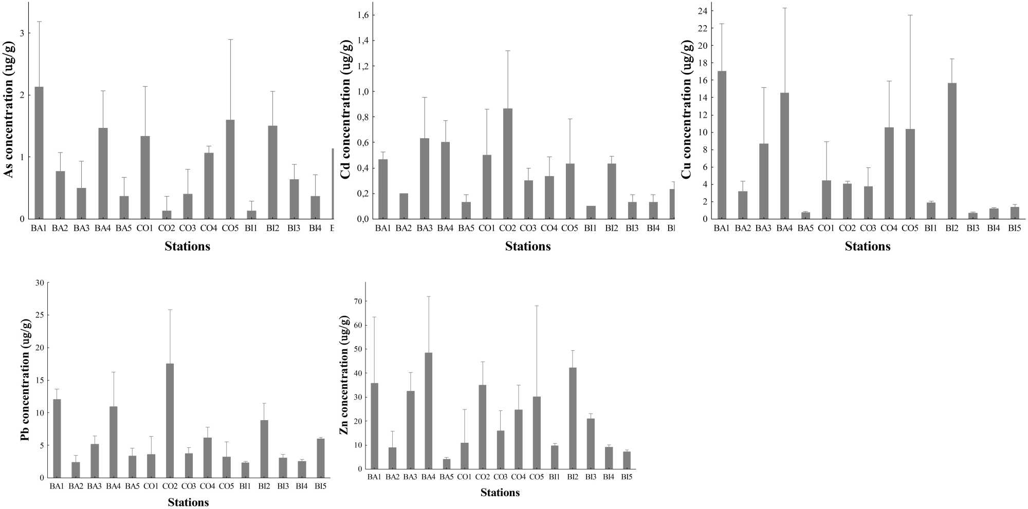
As shown in Figure 2, during the study period, the total concentrations of arsenic, cadmium, lead, zinc, and copper in the three rivers ranged between nd-3.20, 0.10 - 1.30, 1.20 - 26.9, 1.70 - 75.2 and 0.60 - 25.5 µg/g, respectively, with average values of (0.90 ± 0.61) µg/g for arsenic, (0.37 ± 0.22) µg/g for cadmium, (6.06 ± 4.43) µg/g for lead, (22.4 ± 14.2) µg/g for zinc, and (6.54 ± 5.79) µg/g for copper.

The spatial distribution of arsenic was (0.75 ± 0.50) µg/g in Bia River, (0.91 ± 0.56) µg/gin the Comoé River, and (1.05 ± 0.66) μg/g in the Bandama River. Anova did not reveal significant spatial differences between the rivers. Arsenic spatial concentration followed the order: Bandama > Comoé > Bia. The highest arsenic concentration was recorded at station BA1 (3.20 µg/g) in the Bandama River.

The spatial distribution of cadmium was (0.41 ± 0.23) μg/g in the Bandama River, (0.49 ± 0.25) μg/g in the Comoé River and (0.21 ± 0.12) μg/g in the Bia River. Anova did not reveal significant spatial differences between the rivers. Cadmium spatial concentration followed the order: Comoé > Bandama > Bia. The highest cadmium concentration was recorded at station CO2 (1.30 μg/g) in the Comoé River. Application of phosphate fertilizers to agricultural lands, gold mining, and waste disposal could be the main anthropogenic sources of sedimentary cadmium in the study areas because these activities are ongoing along the rivers [14] [30].

The spatial distribution of lead was (6.78 ± 3.94) µg/g in the Bandama River, (6.85 ± 5.44) µg/g in the Comoé River and (4.55 ± 2.52) µg/g in the Bia River. Lead spatial concentration followed the order: Comoé > Bandama >Bia. The highest lead concentration was recorded at station CO2 (26.9 μg/g) in the Comoé River, whereas the lowest lead concentration was observed at station CO5 (1.20 µg/g) in the Comoé River. Lead is one of the potentially hazardous elements in the sediments and it is the least mobile element among the toxic elements. Pb impedes the synthesis of hemoglobin and accumulates within the red cells as well as the bones to give rise to anemia, headache and dizziness [44]. According to Saeedi et al. [45], Pb is one of the most important emissions of vehicles, which may cause air, water and soil pollution. Matache et al. [46] reported that the Pb concentration is being higher when sampling stations are situated in the vicinity of roads with high traffic activities. The elevated Pb concentration may be related to high traffic activities, since the national highways and bridges are situated near most stations. It should also be noticed that gold mining occurring along the rivers could contaminated sediments with lead.

The spatial distribution of copper was (8.83 ± 6.27) μg/g in the Bandama River, (6.62 ± 3.13) μg/g in the Comoé River and (4.17 ± 5.75) μg/g in the Bia River. Anova did not reveal significant spatial differences between the rivers. Copper spatial trend followed the order: Bandama > Comoé >Bia. The highest copper concentration was recorded at station BA4 (25.5 μg/g) in the Bandama River, whereas the lowest copper concentration was observed at stations BA5 and BI3 (0.60 µg/g) in the Bandama and Bia Rivers, respectively. Copper can be retained in polluted sediments by precipitation, exchange and specific adsorption mechanisms. Cu can easily complex with organic matters because of the easy formation of high stability constants of organic-Cu compounds. According to Sundaray et al. [47], for Cu, organic matter is the major scavenger among the non-lithogeneous in the river sediment. This is significantly reflected by the distribution of organic matter in the polluted stations of the river sediments. Zhai et al. [48] suggested that agrochemicals (especially phosphorite fertilizers) and residential waste are the major source of the Cu in the environment. The high concentration of copper at BA4 in the Bandama River may be due to the high content of organic matter along with residential wastes and also agrochemicals.

The spatial distribution of zinc was (25.9 ± 16.8) µg/g in the Bandama River, (23.4 ± 8.86) µg/g in the Comoé River and (17.9 ± 13.1) µg/g in the Bia River. Anova did not reveal significant spatial differences between the rivers. Zinc spatial trend followed the order: Bandama > Comoé > Bia. The highest zinc concentration was recorded at station BA4 (75.2 μg/g) in the Bandama River, whereas the lowest zinc concentration was observed at station CO1 (1.70 µg/g) in the Comoé River. Sediments are the primarily sink for Zn. It is preferentially associated with fine grained particle or is absorbed by the clay minerals [44]. Zinc is one of the trace metals that are potentially dangerous for the biosphere in certain concentration. Krishna and Govil [49] pointed out that higher concentration of Zn causes hematological disorders. The main sources of Zn in the study area could be agrochemicals, gold mining and transport.

The contamination ranking of trace metal(loid)s was Zn > Cu > Pb > As > Cd in the Bandama River, Zn > Pb > Cu > As > Cd in the Comoé River and the Bia River. The percentages of trace metals contents exceeding the UCC values were 20% in the Bandama River and 13.33% in the Comoé River for arsenic, 86.67% in the Bandama and Comoé Rivers and 53.33% in the Bia River for cadmium, 6.67% in the Comoé River for lead, 26.66% in the Bandama River and 13.33% in the Comoé and Bia Rivers for copper and 13.33%, 6.67% in Bandama and Comoé River for zinc, respectively, indicating these metal pollutions came from anthropogenic activities. High level of As may be attributed to the input of arsenical herbicides and insecticide or tin mining activities within the rivers. Cd as main material to produce chemical additive of insecticides, herbicides, and fungicides, which could be discharged into the natural environment during application. The concentrations of trace metal occurred in the three rivers might be caused by different anthropogenic activities such as agricultural activities and hydraulic conditions. The highest level of trace metals appeared in mixt stations which were located near from agricultural and urban areas. Trace metals such as As, Cd, Cu and Zn are used as feed additives in insecticides, herbicides, and fungicides [30].

3.3. Application of Sediment Quality Guidelines

Some of the trace metal(loid) occurs naturally, while other has been introduced through man-made activities into the sediments. Very low concentrations of most metals are required nutrients for living organisms, but in excess concentrations, metal may be harmful. In order to predict the excess concentrations of trace metal(loid)s and its toxicity in the present sediments, a comparative study has been made with Threshold Effective Level (TEL), Probable Effective Level (PEL), Effect Range Low (ERL) and Effect Range Medium (ERM).

The incidence of toxicity was determined among samples in which none of the substances equalled or exceeded the ERL concentrations, in which one or increasing numbers of substances exceeded ERL concentrations, but none exceeded any ERM, and in which one or increasing numbers of substances exceeded ERM concentrations [10] [50].

Based on ERL/ERM and TEL/PEL comparisons, no or rare biological effects may occur due to As, Cd, Cu, Pb, and Zn concentrations, since the values were lower than the ERLs in the sediments of the Bandama, Comoé, and Bia Rivers. However, 6.67% of the samples in the Comoé River may cause rarely biological effects due to Cd with concentration ranged between ERL/ERM (Table S3).

When compared to the TEL/PEL the concentrations of As, Pb and Zn are above TEL with 100% of samples. In case of Cd and Cu, 86.67% of samples are above TEL, while, 13.33% of samples ranged between TEL/PEL, may be occasionally biological effect in Bandama River. In Comoé and Bia River 100% and 93% in Comoé River and 93.33% and 73.33% in Bia River of samples fall in below TEL. While, 6.67% for Cd of samples in Comoé River and 6.67% for Cu and 26.67% for Cd fall in the range between TEL and PEL (Table S3).

The measured metal contents are compared with other rivers from different parts of world (Table S4).

3.4. Assessment of Sediment Contamination by Calculating Some Indices

Contamination factors (CF)

The results of contamination factors (CF) are presented in Figure 3. The CF values for As, Cu, Pb and Zn were varied between zero and three indicating that sediments were low to moderate contaminated by these trace metals in three rivers.

Overall, these results indicate that the river sediments were lowlily contaminated to very highly contaminated in the metal(loid)s. The highest CF values were found at site CO2 and BA3 and BI2. The average highest CF value showed that river was very highly polluted by Cd.

Figure 3. Trace metal(loid) contamination factor distribution of surface sediments.

Geoaccumulation indices (Igeo)

The variation of geo-accumulation index (Igeo) is presented in Figure 4.

Sediments of all rivers are unpolluted by Zn. Pb showed unpolluted in all sample sites of Bandama and Bia River, unpolluted in 93.33 % of the sampling sites of Comoé River but showed unpolluted to moderately in 6.67 % of the sampling sites of Comoé River. All sediment of Comoé and Bia River are unpolluted by As, 93.33% sediment of Bandama are unpolluted and 6.67 % are unpolluted to moderately polluted by As. Cu in Bia sediments showed no pollution, no pollution in 13.33% and 93.33% sample sediment of Bandama and Comoé Rivers respectively, no pollution to moderately pollution in 13.33% and 6.67% of sample sediment in Bandama and Comoé River respectively and moderately pollution in 46.67 % of sample sediment in Bandama River. Values of Igeo for Cd showed no pollution, no pollution to moderately pollution, moderately pollution, moderately to heavily pollution and heavily pollution in all sample sites (Figure 4). Overall, the results indicate that the river sediments are unpolluted to heavily polluted; sediments were heavily contaminated in Cd. Cd showed the highest accumulation at site CO2, BA3 and BI2, suggesting the influence of anthropogenic activities to the metals contamination.

Enrichment factors

The EF is a normalization technique that is widely used to identify the proportion of a metal derived from natural environmental sources and the proportion of the metal derived from anthropogenic activities [51] [52]. The EF for each metal was calculated, and is shown in Figure 5 to determine the anthropogenic influences on the trace metal(loid) concentrations in surface sediments in the rivers that were studied in the study areas. From this figure, the enrichment levels of all samples in trace metals for each river are follow:

Figure 4. Trace metal(loid) géoaccumulation index distribution of surface sediments.

No enrichment: As (66.67%), Pb (86.67%), Cu (66.67%) and Zn (86.67%) in the Bandama River, As (66.67%), Pb (93.33%), Cu (73.33%) and Zn (80%) in the Comoé River and As (40%), Pb (66.67%), Cu (80%) and Zn (33.33%) in the Bia River. Minor enrichment: As (33.33%), Pb (13.33%), Cu (33.33%) and Zn (13.33%) in the Bandama River, As (33.33%), Pb (6.67%), Cu (26.67%) and Zn (20%) in the Comoé River and As (60%), Pb (33.33%), Cu (20%) and Zn (66.67%) in the Bia River. Moderate enrichment: Cd (46.67%) in Bandama, Cd (13.33%) in the Comoé River and Cd (20%) in the Bia River. Moderately severe enrichment; Cd (46.67%) in the Bandama River, Cd (60%) in the Comoé River and Cd (66.67%) in the Bia River. Severe enrichment; Cd (6.67%) in the Bandama River, Cd (20%) in the Comoé River and Cd (13.33%) in the Bia River. Very severe enrichment: Cd (6.67%) in the Comoé River.

Additionally, an EF 0.5 and 1.5 suggests that the metal may be entirely derived from crustal materials and natural weathering processes. However, an EF higher than 1.5 suggests that a significant proportion of the metal originates from anthropogenic processes [51]-[53]. The Cd concentrations in the sediments from the rivers in the study areas were found to be anthropogenically enriched in the trace metal(loid)s that were analysed at most of the study stations (EF > 1.5).

Figure 5. Trace metal(loid) enrichment factor distribution of surface sediments.

PLI.

The pollution load index (PLI) ranged from 0.00 to 1.69 (Figure S3). According to the values PLI, the pollution levels for all samples sediment of each river are follow; Not polluted: Bandama (73.33%), Comoé (93.33%) and Bia (80%). Moderately polluted Bandama (26.67%), Comoé (6.67%) and Bia (20%). These results indicate that the rivers are unpolluted to moderately polluted.

In general, the results showed that the sites CO2 in Comoé River, BA3 in Bandama River and BI2 in Bia River were highly polluted by trace metal mainly by Cd. These areas were located in highly agricultural land with semi-urbanized area which receives directly receives untreated domestic sewage, agricultural runoff, urban runoff, and wastes from construction of residential and commercial areas. And, pollution level was found at most of agricultural sites for all river and non-pollution level at non-agricultural sites based on the calculated mean risk indices. It is generally known that Cd as the chemical additive of insecticides, herbicides, and fungicides, which could be discharged into the natural environment during application or life span. High Cd concentration in sediments might be attributed to the anthropogenic activities particularly treatment from the fertilizers insecticides, herbicides, and fungicides in agricultural.

3.5. Multivariate Statistical Analyses

Pearson’s correlation analysis

In order to establish relationships between metals and determine their common sources in the River, a Pearson correlation matrix was performed on sedimentary metal(loid)s concentrations in each river (Table 1).

A significant correlation coefficient between two metals means that they are likely to share common sources [54].

%TOC was significantly correlated with Cu (r = 0.90; p < 0.05; N = 15), Pb (r = 0.90; p < 0.05; N = 15), and As (r = 0.99; p < 0.05; N = 15) in the Bandama River, and with Cd (r = 0.89; p < 0.05; N = 15) and Cu (r = 0.93; p < 0.05; N = 15) in the Bia River, indicating that the spatial distributions of these metals were controlled by organic matter.

Fe was significantly correlated with Cd (r = 0.99; p < 0.05; N = 15) and Zn (r = 0.98; p < 0.05; N = 15) in the Bandama River, Cd (r = 0.97; p < 0.05; N = 15) in the Comoé River, and with Cd (r = 0.97; p < 0.05; N = 15), Cu (r = 0.98; p < 0.05; N = 15), Pb (r = 0.91; p < 0.05; N = 15), and Zn (r = 0.93; p < 0.05; N = 15) in the Bia River. Al was significantly correlated with Cd (r = 0.99; p < 0.05; N = 15) and Zn (r = 0.95; p < 0.05; N = 15) in the Bandama River, with Cu (r = 0.97; p < 0.05; N = 15) in the Comoé River, and with Cd (r = 0.97; p < 0.05; N = 15), Cu (r = 0.98; p < 0.05; N = 15), Pb (r = 0.93; p < 0.05; N = 15), and Zn (r = 0.88; p < 0.05; N = 15) in the Bia River. The significant correlations of Fe and Al with these trace metals indicates that the elements were derived from lithogenic sources.

Table 1. Pearson correlation of trace elements, sand, silt, clay, and % TOC in the study area.

Bandama

Cd

Cu

Pb

Zn

Al

Fe

As

%TOC

% Sand

%(clay + silt)

Cd

1.00

Cu

0.77

1.00

Pb

0.64

0.96

1.00

Zn

0.92

0.91

0.85

1.00

Al

0.95

0.83

0.78

0.98

1.00

Fe

0.99

0.83

0.74

0.95

0.97

1.00

As

0.39

0.89

0.91

0.65

0.51

0.48

1.00

TOC

0.53

0.90

0.90

0.67

0.58

0.62

0.90

1.00

% sand

−0.92

−0.93

−0.86

−1.00

−0.97

−0.95

−0.69

−0.70

1.0

%(clay + silt)

0.92

0.93

0.86

1.00

0.97

0.95

0.69

0.70

−1.0

1.0

Comoé

As

Cd

Cu

Pb

Zn

Al

Fe

%TOC

%sable

%(clay + silt)

As

1.00

Cd

−0.45

1.00

Cu

0.66

−0.40

1.00

Pb

−0.71

0.89

−0.33

1.00

Zn

−0.23

0.57

0.35

0.68

1.00

Al

0.56

−0.54

0.97

−0.38

0.28

1.00

Fe

−0.40

0.97

−0.54

0.78

0.35

−0.69

1.00

%TOC

0.44

−0.03

0.85

−0.02

0.71

0.78

−0.22

1.00

%sand

0.25

−0.19

−0.44

−0.53

−0.58

−0.47

−0.02

−0.36

1.0

%(clay + silt)

−0.25

0.19

0.44

0.53

0.58

0.47

0.02

0.36

−1.0

1.0

Bia

As

Cd

Cu

Pb

Zn

Al

Fe

%TOC

%sand

%(clay + silt)

As

1.00

Cd

0.93

1.00

Cu

0.73

0.93

1.00

Pb

0.97

0.98

0.85

1.00

Zn

0.68

0.82

0.91

0.73

1.00

Al

0.83

0.97

0.98

0.93

0.88

1.00

Fe

0.83

0.97

0.98

0.91

0.93

0.99

1.00

%TOC

0.69

0.89

0.93

0.85

0.70

0.94

0.89

1.00

%sand

−0.76

−0.93

−0.99

−0.85

−0.95

−0.98

−0.99

−0.89

1.0

%(clay + silt)

0.76

0.93

0.99

0.85

0.95

0.98

0.99

0.89

−1.0

1.0

All trace metals showed significant correlation with pair (clay + silt) in the Bandama and Bia Rivers, indicating that the distribution of these elements was controlled by clay and silt in the sediments and can derived from human activities.

Cluster analysis

Cluster analysis (CA) was performed on the river sediment metal(oid)dataset to group the similar sampling sites (spatial variability). Spatial CA generated a dendrogram (Figure 6).

where all fifteen sampling sites on the river were grouped into three statistically significant clusters. Cluster 1 (BA1, BA4 and BI2) sites were located in a high pollution region, which receives metallic wastewater discharges from agricultural activities. Cluster 2 (BA2, BI1, BI4, CO1, BI5, BA5, CO3 and BI3) sites were in low pollution region. Cluster 3 (BA3, CO5 and CO4) sites were in a region of a

Figure 6. Hierarchical cluster analysis of the sampling stations of rivers.

moderate pollution. Cluster 4 (CO2) site was in a region of relatively high pollution. This indicates that these sites are subjected to metal(loid) sources in the areas.

Factor analysis

The Principal Component Analysis (PCA) applied to trace metal concentrations in the Bandama, Comoé, and Bia Rivers showed two significant components for the Bandama and Bia river sand three significant components for the Comoé River (Table 2), accounting for 96.08, 95.58 and 96.15% of the total variances of information contained in the original dataset in the Bandama, Comoé and Bia Rivers, respectively.

Table 2. Factor analysis (Principal component) of the studied parameters in the rivers.

Bandama

Comoé

Bia

Fact. 1

Fact. 2

Fact. 1

Fact. 2

Fact. 3

Fact. 1

Fact. 2

Cd

0.88

0.42

−0.78

−0.26

−0.44

0.88

−0.42

Cu

0.98

−0.19

0.86

0.15

−0.48

0.98

−0.11

Pb

0.93

−0.32

−0.41

−0.89

−0.15

0.97

0.25

Zn

0.98

0.21

0.99

−0.07

−0.1

0.95

−0.29

Al

0.93

0.33

0.6

−0.63

−0.39

0.88

0.33

Fe

0.93

0.3

−0.45

−0.89

0.05

0.99

0.06

As

0.77

−0.54

0.77

0.35

−0.48

0.99

0.11

%TOC

0.82

−0.55

−0.12

−0.84

−0.48

0.91

0.08

%sand

−0.98

−0.17

−0.51

0.76

−0.33

−0.97

−0.23

%(clay + silt)

0.98

0.17

0.51

−0.76

0.33

0.97

0.23

Eigenvalue

8.48

2.08

4.91

4.16

1.44

9.48

1.1

Cumulative %

77.13

96.08

44.68

82.52

95.58

86.15

96.15

The element Fe showed high loadings with elements Cd, Pb, Cu, As, Zn, and Al on factor 1 in the Bandama and Bia Rivers and with the elements Pb and Al on factor 2 in the Comoé River. Fe is naturally abundant in the Earth’s crust and is generally insensitive to inputs from anthropogenic sources in the environment [55] [56]. Consequently, the association of Fe with elements provides information about their geological origin, mainly through alteration processes. In addition, this association with element Fe probably suggests that Fe oxides and oxyhydroxides drive the distributions of Cd, Pb, Cu, As, and Zn in the Bandama and Bia Rivers and Pb in Comoe River. Finally, the elements As and pH grouped with high loadings on factor 2 in the Bandama River, the elements Pb, Al and Fe, and TOC%, pair (clay + silt) showed high loadings on factor 2 in the Comoé River. This indicates that the clay, silt content and organic matter play a significant role to distribution of these metals in river. These groupings suggest As inputs in the Bandama River and Pb in the Comoé River result from anthropogenic activities, such as fertilizers and pesticides, road traffic, and domestic wastes [57].

3.6. Partitioning of Trace Metals in the Sediments

Chemical fractionation is very useful for distinguishing metals with lithogenic origins from those with anthropogenic origins. Metals from anthropogenic sources are mainly contained in the earlier extractions, while those from lithogenic sources are present in the residual fraction [58].

The distributions of different metal fractions are graphically shown in Figure 7. Cd was predominantly found into the residual fraction, accounting for 80.10, 85.51, and 79.47 % of the total content in the Bandama, Comoé, and Bia Rivers, respectively. Then, Cd showed high percentages in the reducible fraction, where the elements are associated with manganese and iron oxides and hydroxides [40].

Figure 7. Fractionation of As, Cd, Cu, Pb, and Zn in sediments from the Rivers.

The reducible fraction represented 9.34, 6.35, and 10.56 % of the total content in the Bandama, Comoé, and Bia Rivers, respectively. The acid soluble made up 6.64, 5.63, and 6.15 %of the total content in Bandama, Comoé, and Bia Rivers, respectively, while the oxidizable constituted 3.92, 2.50, and 3.83 % of the total content respectively in the Bandama, Comoé, and Bia Rivers.

As was primarily found in the residual fraction (69.20, 75.33 and 63.17% of the total content in the Bandama, Comoé and Bia Rivers, respectively), followed by the reducible fraction (18.07, 13.38 and 25.15 % in the Bandama, Comoé, and Bia Rivers, respectively).

Then, came the acid soluble fraction (9.13, 7.26 and 8.75% in the Bandama, Comoé and Bia Rivers, respectively) and the oxidizable fraction (3.59, 4.02 and 2.93 in the Bandama, Comoé and Bia Rivers, respectively).

Pb was found mainly found in the residual fraction (75.94, 77.14, and 74.69 %of the total content in the Bandama, Comoé, and Bia Rivers, respectively) and the oxidizable fraction (11.57, 11.08, and 13.59 % in Bandama, Comoé, and Bia Rivers, respectively), followed by the reducible fraction (8.90, 7.76, and 8.80 % in Bandama, Comoé, and Bia Rivers, respectively) and the acid soluble fraction (3.59, 4.02, and 2.93 % in Bandama, Comoé, and Bia Rivers, respectively).

Zn was mainly found in the residual fraction (74.18, 76.16, and 80.66 % of the total content in the Bandama, Comoé, and Bia Rivers, respectively); then, in the oxidizable fraction (15.97, 14.07, and 12.94 %of the total content in the Bandama, Comoé, and Bia Rivers, respectively) followed by the acid reductible fraction (5.10, 5.11, and 3.66 % of the total content in the Bandama, Comoé, and Bia River, respectively) and the acid soluble fraction(4.75, 4.66, and 2.74 % of the total content in the Bandama, Comoé, and Bia Rivers, respectively).

Cu was primarily found in the residual fraction (73.02, 73.76, and 72.35 % of the total content in the Bandama, Comoé and BiaRivers, respectively), followed by the oxidizable fraction (11.60, 15.51, and 19.59 % in the Bandama, Comoé, and Bia Rivers, respectively). Then, camethe reducible fraction (10.63, 6.07 % in the Comoé and BiaRivers, respectively) and the acid soluble fraction (4.74 and 4.66 % in the Comoé and Bia Rivers, respectively). The acid soluble Cu fraction represented 4.83 % of the total content in the Bandama River and the reductible Cu fraction accounted for 3.22 % of the total content in the Bandama River. Cu showed a greater content in the oxidizable fraction compared to the other metals in the Comoé and Bia Rivers.

The sequential extraction technique also enables to identify metals of natural origin from those derived from anthropogenic sources and to predict possible metal impact on biota in aquatic ecosystems. The metals present in the potential mobile fraction (carbonates, Fe and Mn oxides, organic matter, and sulfides) can be considered as a potion from anthropogenic activities. This mobile fraction sensitive to small changes in environmental conditions and readily becomes bioavailable and toxic to biota. Elevated concentrations of metals in the residual fraction indicate that sediments are relatively unpolluted, and that the elements derive mainly from lithogenic origins [21].

The percentages of each metal extracted in the most labile fractions (F1 + F2 + F3) have been calculated. The decreasing order of mobility was: As (30.79 %) > Pb (27.06 %) > Zn (25.82 %) > Zn (25.65 %) > Cd (19.90 %) in the Bandama River; Cu (28.95 %) > As (24.67 %) > Zn (23.84 %) > Pb (22.86 %) > Cd (14.49 %) the Comoé River; and As (36.82 %) > Pb (33.51 %) > Cu (27.60 %) > Cd (20.53%) > Zn (19.34%) in the Bia River. All trace metal(loid)s showed higher percentages in the inert fraction (>70% of the total metal content) indicating that a large portion of the metals was lithogenic source and not of concern. The results showed that a part of trace metals derive from lithogenic origins (30% of the total metal content) such as agricultural activities, mainly activities in rivers catchments. The rivers receive discharges from municipal wastewaters and agricultural runoff. These effluents contribute to the inputs of metals into the region’s aquatic systems. However, Cd showed a relatively high percentage in the acid soluble and reducible fractions. This suggests that a great portion of Cd is highly mobile suggesting a high pollution by Cd; thus, Cd constitutes an environmental risk.

3.7. Sediment Risk Assessment

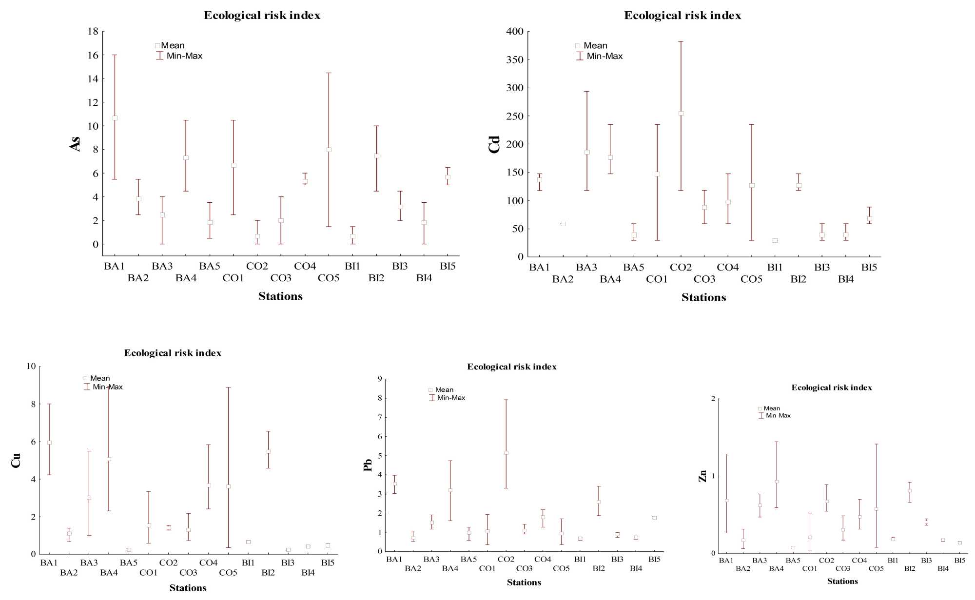
In the absence of local guideline values, the ecological risks posed by trace metal(loid)s and arsenic in surface sediments were assessed using the potential ecological risk index for a single element (Eir) and for all the elements (PERI). The ecological risk index results are presented in Figure S4.

The trace metal(loid)s such as As, Cu, Pb, and Zn presented very low risks with average values of Eir < 40, only 2.22% of sediments samples presented moderate risks for As (Eir = 75). The risk levels of cadmium for samples collected in each rivers are as follow: Moderate risk: 86.67% in the Bandama, 73.33% in the Comoé, and 80% in the Bia Rivers. Considerable risk: 13.33% in the Bandama, 13.33% in the Comoé, and 20% in the Bia Rivers. High risk: 1.67% in the Comoé River and very high risk (6.67%) in the Comoé River. RI values (Figure 8) of sediments collected in the Bandama, Comoé, and Bia Rivers varied between 30 - 297, 32 - 393 and 30 - 160, respectively. The results suggest low to moderate metal(loid) risks to biota in the Bandama and Bia Rivers and low to considerable high risks to biota in the Comoé River.

Risk assessment code (RAC)

Fractioning metals is of critical importance in estimating their potential toxicity and mobility [59]. The fractions introduced by anthropogenic activities are typified by the adsorptive, exchangeable and bound to carbonate fractions, which are weakly bonded metals that could equilibrate with the aqueous phase and thus become more rapidly bioavailable.

The reactivity of sediments was evaluated by applying the criteria of the risk assessment code.

The RAC is a scale used to assess potential mobility and risk, based on the percentage of exchangeable and carbonate-bound metal in the sediment [21] [47]. Sediments can be classified as presenting no risk (<1%), low risk (1% - 10%),

Figure 8. Risks index of trace metal(loid).

medium risk (11% - 30%), high risk (31% - 50%), and very high risk (>50%) to the ecosystem [60]. Figure 9 illustrates the results of the risk factor analysis, with values for the five trace metals given as percentages for the fraction soluble in acid (%F1).

Figure 9. Risk assessment codes (RAC) for As, Cd, Cu, Pb, and Zn in sediments from the Rivers.

The RAC results showed low risk for Cu, Cd and Zn and low to medium risk for As and Pb. The highest RAC values for As were found at sites BA3, BA4, BA5, CO4, CO5, BI3 and BI4, respectively and Pb manifested low to medium risk at sites BA2, BI1, BI3 and BI5.

4. Conclusion

The present study focused on river sediment contamination status in metal(loid)s As, Cu, Zn, Cd, and Pbin historical agriculture areas in Cote d’Ivoire. The three rivers sampled namely the Bandama, Comoé, and Bia Rivers were lowlily contaminated to moderately contaminated in As, Cu, Zn, and Pb and very highly contaminated in Cd. Agriculture, mining activities, road traffics were the main anthropogenic sources of pollution. The spatial distributions of the metal(loid)s were controlled by organic matter and clay and silt. The metal(loid)s showed higher percentages in the inert fraction (>70% of the total metal content) indicating that a large portion of the metals was from lithogenic source and not of concern. However, Cd showed a relatively high percentage in the acid-soluble and reducible fractions. The results revealed low to moderate metal(loid) risks to biota in the Bandama and Bia Rivers and low to considerable high risks to biota in the Comoé River. Strict policies relative to the application of fertilizers and agrochemicals and mining activities should be established in West Africa to protect the environment and human health risks.

Acknowledgements

The authors would like to thank the Head of the Department of Science and Technology at Alassane Ouattara University for his encouragement and support. They would also like to thank Professor Stéphana Marcotte of the Laboratoire de Chimie Organique Bio-organique Réactivité et Analyse COBRA from University of Rouen. Special thanks go to the reviewers for their critical contribution.

Supplementary

Table S1. Analytical results of the certified reference material CNS301-04-050 (µg/g) Buffalo River (U.S.A), NIST, US, used in this study.

Trace metals

Concentration measured

Reference value

Recovery (%)

Al (µg/g)

11147 ± 220

3760 - 18000

102

As (µg/g)

15.5 ± 0.2

10.9 - 18.3

98

Cd (µg/g)

36.8 ± 0.1

31.6 - 39.6

99

Cu (µg/g)

44.3 ± 0.7

37.6 - 50.8

102

Fe (µg/g)

11918 ± 368

37.6 - 50.8

108

Pb (µg/g)

77.8 ± 2.1

71.8 - 93.4

101

Zn (µg/g)

91.2 ± 4.0

70.9 - 107

111

Table S2. Mean recoveries (n =3) of standard sediment reference material BCR-701 (Lake Sediment) by applying BCR sequential extraction method.

Fraction 1 (%)

Fraction 2 (%)

Fraction 3 (%)

Residual fraction (%)

Recovery (%)

As

90 ± 5

100 ± 3

108 ± 6

107 ± 6

100 ± 8.59

Cd

103 ± 3

104 ± 2

95 ± 8

103 ± 5

101 ± 3.83

Cu

97 ± 4

99 ± 7

98 ± 4

108 ± 2

103 ± 8.15

Pb

118 ± 5

106 ± 3

91 ± 4

89 ± 2

101 ± 2.53

Zn

99 ± 5

98 ± 6

107 ± 2

105 ± 5

104 ± 4.74

Table S3. Descriptive analysis for selected trace metal(loid)s in the sediment (µg/g).

As

Cd

Cu

Pb

Zn

Fe

Al

Bandama

Min

nd

0.2

1.90

1.80

3.2

6902

1227

Max

3.2

1

25.50

12.30

75.2

48,349

54,424

Mean

1.05

0.41

8.83

6.78

25.94

22,911

22,425

SD

0.86

0.25

8.15

4.65

22.50

16,114

19,549

Comoé

Min

nd

0.1

1.70

1.20

1.7

7432

4162

Max

2.9

1.3

25.40

26.90

73.6

78,633

34,768

Mean

0.91

0.49

6.62

6.85

23.38

22,793

10,264

SD

0.83

0.34

6.56

6.62

18.87

20,490

9089

Bia

Min

nd

0.1

0.60

2.00

9

2232

4371

Max

2

0.5

18.70

11.60

47.9

66,613

55,896

Mean

0.75

0.21

4.17

4.55

17.86

15,378

11,936

SD

0.59

0.13

6.05

2.80

13.89

18,568

14,624

UCC

2

0.102

14.3

17

71

30,890

77,440

ERL

8.2

1.2

34

46.7

150

ERM

70

9.6

270

218

410

TEL

7.24

0.68

18.7

35

124

PEL

41.6

4.21

108

91.3

271

UCC: upper continental crust; ERL, effect range low; ERM, effect range median; TEL, threshold effect level; PEL, probable effect level.

Table S4. Comparison of metal concentrations in the Bandama River, Comoé River and Bia River sediments from different studies.

Rivers

As

Cd

Cu

Pb

Zn

Reference

Bandama

0.00 - 3.20

0.10 - 1.00

0.70 - 25.50

1.80 - 13.50

3.90 - 75.20

This study

Comoé

0.00 - 2.90

0.10 - 1.30

1 - 25.40

1.20 - 26.90

4.10 - 73.60

This study

Bia

0.02 - 2.00

0.10 - 0.50

0.70 - 18.70

2.40 - 11.60

7.10 - 47.90

This study

Jinjiang

3.26 - 14.0

0.28 - 1.38

11.4 - 66.5

13.2 - 60.9

56.0 - 241

Liu et al., 2018

Yamuna

6.09 - 43.2

18.2 - 128.4

Kumar et al., 2004

BM

130 - 150

35 - 75

85 - 185

Akcay et al., 2003

Gediz

108 - 152

105 - 140

140 - 180

Akcay et al., 2003

Turag

0 - 0.80

46.30 - 60

28.30 - 36.40

94.60 - 190.10

Banu et al., 2013

Korotoa

2.6 - 52

0.26 - 2.8

35 - 118

36 - 83

Islam et al., 2015

Langat

4.47 - 30.0

2.24 - 14.84

5.57 - 55.71

12.26 - 74.70

Lim et al., 2013

Vaigai

0.65 - 1.52

16 - 96.08

28.28 - 375.2

39.24 - 418.8

Paramasivam et al., 2015

Gascogne

0.11 - 0.79

11.25 - 29.62

16.52 - 41.94

55.46 - 140.59

N'guessan et al., 2009

Liucha

0.054 - 0.291

19.37 - 29.65

6.15 - 15.40

52.65 - 114.33

Tang et al., 2013

Dongbao

0.61 - 1.33

825 - 2937

47.8 - 96.5

286 - 725

Wu et al., 2016

Suoxu

0.09 - 0.38

14 - 92.1

19.6 - 35.9

20 - 35.2

Yuan et al., 2015

Figure S1. Sediment size fractionation in the surface sediment.

Figure S2. Average values of %TOC in sediment of rivers.

Figure S3. Trace metal(loid) pollution load index distribution of surface sediments.

Figure S4. Ecological Risks of trace metal(loid).

Conflicts of Interest

The authors declare no conflicts of interest regarding the publication of this paper.

References

[1] Iksandar, I.K. and Keeney, D.R. (1974) Concentration of Heavy Metals in Sediment Cores from Selected Wisconsin Lakes. Environmental Science & Technology, 8, 165-170.[CrossRef
[2] Allen‐Gil, S.M., Gubala, C.P., Landers, D.H., Lasorsa, B.K., Crecelius, E.A. and Curtis, L.R. (1997) Heavy Metal Accumulation in Sediment and Freshwater Fish in U.S. Arctic Lakes. Environmental Toxicology and Chemistry, 16, 733-741.[CrossRef
[3] Kim, I.S., Kang, K.H., Johnson-Green, P. and Lee, E.J. (2003) Investigation of Heavy Metal Accumulation in Polygonum Thunbergii for Phytoextraction. Environmental Pollution, 126, 235-243.[CrossRef] [PubMed]
[4] Ma, Z., Chen, K., Yuan, Z., Bi, J. and Huang, L. (2013) Ecological Risk Assessment of Heavy Metals in Surface Sediments of Six Major Chinese Freshwater Lakes. Journal of Environmental Quality, 42, 341-350.[CrossRef] [PubMed]
[5] El Morabet, R., Barhazi, L., Bouhafa, S., Dahim, M.A., Khan, R.A. and Dahim, A.M. (2024) Water Quality, Heavy Metal Contamination and Health Risk Assessment of Surface Water Bodies of Mohammedia Prefecture, Morocco. Environmental Chemistry and Ecotoxicology, 6, 33-41.[CrossRef
[6] Taweel, A., Shuhaimi-Othman, M. and Ahmad, A.K. (2013) Assessment of Heavy Metals in Tilapia Fish (Oreochromis niloticus) from the Langat River and Engineering Lake in Bangi, Malaysia, and Evaluation of the Health Risk from Tilapia Consumption. Ecotoxicology and Environmental Safety, 93, 45-51.[CrossRef] [PubMed]
[7] MacDonald, D.D., Ingersoll, C.G. and Berger, T.A. (2000) Development and Evaluation of Consensus-Based Sediment Quality Guidelines for Freshwater Ecosystems. Archives of Environmental Contamination and Toxicology, 39, 20-31.[CrossRef] [PubMed]
[8] Ouattara, A.A., Yao, K.M., Kinimo, K.C. and Trokourey, A. (2020) Assessment and Bioaccumulation of Arsenic and Trace Metals in Two Commercial Fish Species Collected from Three Rivers of Côte D’ivoire and Health Risks. Microchemical Journal, 154, Article ID: 104604.[CrossRef
[9] Hakanson, L. (1980) An Ecological Risk Index for Aquatic Pollution Control a Sedimentological Approach. Water Research, 14, 975-1001.[CrossRef
[10] Suresh, G., Sutharsan, P., Ramasamy, V. and Venkatachalapathy, R. (2012) Assessment of Spatial Distribution and Potential Ecological Risk of the Heavy Metals in Relation to Granulometric Contents of Veeranam Lake Sediments, India. Ecotoxicology and Environmental Safety, 84, 117-124.[CrossRef] [PubMed]
[11] Liao, J., Ru, X., Xie, B., Zhang, W., Wu, H., Wu, C., et al. (2017) Multi-phase Distribution and Comprehensive Ecological Risk Assessment of Heavy Metal Pollutants in a River Affected by Acid Mine Drainage. Ecotoxicology and Environmental Safety, 141, 75-84.[CrossRef] [PubMed]
[12] Xia, F., Qu, L., Wang, T., Luo, L., Chen, H., Dahlgren, R.A., et al. (2018) Distribution and Source Analysis of Heavy Metal Pollutants in Sediments of a Rapid Developing Urban River System. Chemosphere, 207, 218-228.[CrossRef] [PubMed]
[13] Sahu, A.K., Dung, M.S.D., Sahoo, S.K., Mir, S.A., Nayak, B. and Baitharu, I. (2023) Ecological and Human Health Risk Associated with Heavy Metals in Sediments and Bioaccumulation in Some Commercially Important Fishes in Mahanadi River, Odisha, India. Environmental Chemistry and Ecotoxicology, 5, 168-177.[CrossRef
[14] Kinimo, K.C., Yao, K.M., Marcotte, S., Kouassi, N.L.B. and Trokourey, A. (2018) Preliminary Data on Arsenic and Trace Metals Concentrations in Wetlands around Artisanal and Industrial Mining Areas (Cote d’Ivoire, West Africa). Data in Brief, 18, 1987-1994. [Google Scholar] [CrossRef] [PubMed]
[15] Karak, T., Bhattacharyya, P., Kumar Paul, R. and Das, D.K. (2013) Metal Accumulation, Biochemical Response and Yield of Indian Mustard Grown in Soil Amended with Rural Roadside Pond Sediment. Ecotoxicology and Environmental Safety, 92, 161-173.[CrossRef] [PubMed]
[16] Buggy, C.J. and Tobin, J.M. (2008) Seasonal and Spatial Distribution of Metals in Surface Sediment of an Urban Estuary. Environmental Pollution, 155, 308-319.[CrossRef] [PubMed]
[17] Jiang, M., Zeng, G., Zhang, C., Ma, X., Chen, M., Zhang, J., et al. (2013) Assessment of Heavy Metal Contamination in the Surrounding Soils and Surface Sediments in Xiawangang River, Qingshuitang District. PLOS ONE, 8, e71176.[CrossRef] [PubMed]
[18] Gao, X. and Chen, C.A. (2012) Heavy Metal Pollution Status in Surface Sediments of the Coastal Bohai Bay. Water Research, 46, 1901-1911.[CrossRef] [PubMed]
[19] Pejman, A., Nabi Bidhendi, G., Ardestani, M., Saeedi, M. and Baghvand, A. (2015) A New Index for Assessing Heavy Metals Contamination in Sediments: A Case Study. Ecological Indicators, 58, 365-373.[CrossRef
[20] Wojtkowska, M., Bogacki, J. and Witeska, A. (2016) Assessment of the Hazard Posed by Metal Forms in Water and Sediments. Science of the Total Environment, 551, 387-392.[CrossRef] [PubMed]
[21] Canuto, F.A.B., Garcia, C.A.B., Alves, J.P.H. and Passos, E.A. (2012) Mobility and Ecological Risk Assessment of Trace Metals in Polluted Estuarine Sediments Using a Sequential Extraction Scheme. Environmental Monitoring and Assessment, 185, 6173-6185.[CrossRef] [PubMed]
[22] Zhang, G., Bai, J., Xiao, R., Zhao, Q., Jia, J., Cui, B., et al. (2017) Heavy Metal Fractions and Ecological Risk Assessment in Sediments from Urban, Rural and Reclamation-Affected Rivers of the Pearl River Estuary, China. Chemosphere, 184, 278-288.[CrossRef] [PubMed]
[23] Sakan, S., Popović, A., Anđelković, I. and Đorđević, D. (2015) Aquatic Sediments Pollution Estimate Using the Metal Fractionation, Secondary Phase Enrichment Factor Calculation, and Used Statistical Methods. Environmental Geochemistry and Health, 38, 855-867.[CrossRef] [PubMed]
[24] Duodu, G.O., Goonetilleke, A. and Ayoko, G.A. (2017) Potential Bioavailability Assessment, Source Apportionment and Ecological Risk of Heavy Metals in the Sediment of Brisbane River Estuary, Australia. Marine Pollution Bulletin, 117, 523-531.[CrossRef] [PubMed]
[25] Rodríguez-Espinosa, P.F., Shruti, V.C., Jonathan, M.P. and Martinez-Tavera, E. (2018) Metal Concentrations and Their Potential Ecological Risks in Fluvial Sediments of Atoyac River Basin, Central Mexico: Volcanic and Anthropogenic Influences. Ecotoxicology and Environmental Safety, 148, 1020-1033.[CrossRef
[26] Donkor, A.K., Bonzongo, J.J., Nartey, V.K. and Adotey, D.K. (2005) Heavy Metals in Sediments of the Gold Mining Impacted Pra River Basin, Ghana, West Africa. Soil and Sediment Contamination: An International Journal, 14, 479-503.[CrossRef
[27] Diop, C., Dewaelé, D., Diop, M., Touré, A., Cabral, M., Cazier, F., et al. (2014) Assessment of Contamination, Distribution and Chemical Speciation of Trace Metals in Water Column in the Dakar Coast and the Saint Louis Estuary from Senegal, West Africa. Marine Pollution Bulletin, 86, 539-546.[CrossRef] [PubMed]
[28] Niane, B., Moritz, R., Guédron, S., Ngom, P.M., Pfeifer, H.R., Mall, I., et al. (2014) Effect of Recent Artisanal Small-Scale Gold Mining on the Contamination of Surface River Sediment: Case of Gambia River, Kedougou Region, Southeastern Senegal. Journal of Geochemical Exploration, 144, 517-527.[CrossRef
[29] Gbogbo, F. and Otoo, S.D. (2015) The Concentrations of Five Heavy Metals in Components of an Economically Important Urban Coastal Wetland in Ghana: Public Health and Phytoremediation Implications. Environmental Monitoring and Assessment, 187, Article No. 655.[CrossRef] [PubMed]
[30] Ouattara, A.A., Yao, K.M., Soro, M.P., Diaco, T. and Trokourey, A. (2018) Arsenic and Trace Metals in Three West African Rivers: Concentrations, Partitioning, and Distribution in Particle-Size Fractions. Archives of Environmental Contamination and Toxicology, 75, 449-463.[CrossRef] [PubMed]
[31] Kouassi, N.L.B., Yao, K.M., Sangare, N., Trokourey, A. and Metongo, B.S. (2018) The Mobility of the Trace Metals Copper, Zinc, Lead, Cobalt, and Nickel in Tropical Estuarine Sediments, Ebrie Lagoon, Côte D’ivoire. Journal of Soils and Sediments, 19, 929-944.[CrossRef
[32] Carbonell-Barrachina, A.A., Jugsujinda, A., Burlo, F., Delaune, R.D. and Patrick, W.H. (2000) Arsenic Chemistry in Municipal Sewage Sludge as Affected by Redox Potential and pH. Water Research, 34, 216-224.[CrossRef
[33] Nelson, D.W. and Sommers, L.E. (2018) Total Carbon, Organic Carbon, and Organic Matter. In: Sparks, D.L., et al., Methods of Soil Analysis: Part 3 Chemical Methods, Soil Science Society of America, American Society of Agronomy, 961-1010.[CrossRef
[34] Touch, N., Hibino, T., Takata, H. and Yamaji, S. (2017) Loss on Ignition-Based Indices for Evaluating Organic Matter Characteristics of Littoral Sediments. Pedosphere, 27, 978-984.[CrossRef
[35] Bettinelli, M., Beone, G.M., Spezia, S. and Baffi, C. (2000) Determination of Heavy Metals in Soils and Sediments by Microwave-Assisted Digestion and Inductively Coupled Plasma Optical Emission Spectrometry Analysis. Analytica Chimica Acta, 424, 289-296.[CrossRef
[36] Tomlinson, D.L., Wilson, J.G., Harris, C.R. and Jeffrey, D.W. (1980) Problems in the Assessment of Heavy-Metal Levels in Estuaries and the Formation of a Pollution Index. Helgoländer Meeresuntersuchungen, 33, 566-575.[CrossRef
[37] Ingersoll, C.G., Haverland, P.S., Brunson, E.L., Canfield, T.J., James Dwyer, F., Henke, C.E., et al. (1996) Calculation and Evaluation of Sediment Effect Concentrations for the Amphipod Hyalella Azteca and the Midge Chironomus Riparius. Journal of Great Lakes Research, 22, 602-623.[CrossRef
[38] Long, E.R., Field, L.J. and MacDonald, D.D. (1998) Predicting Toxicity in Marine Sediments with Numerical Sediment Quality Guidelines. Environmental Toxicology and Chemistry, 17, 714-727.[CrossRef
[39] Passos, E.D.A., Alves, J.C., dos Santos, I.S., Alves, J.D.P.H., Garcia, C.A.B. and Spinola Costa, A.C. (2010) Assessment of Trace Metals Contamination in Estuarine Sediments Using a Sequential Extraction Technique and Principal Component Analysis. Microchemical Journal, 96, 50-57.[CrossRef
[40] Passos, E.D.A., Alves, J.D.P.H., Garcia, C.A.B. and Costa, A.C.S. (2011) Metal Fractionation in Sediments of the Sergipe River, Northeast, Brazil. Journal of the Brazilian Chemical Society, 22, 828-835.[CrossRef
[41] Rauret, G., López-Sánchez, J.F., Sahuquillo, A., Rubio, R., Davidson, C., Ure, A., et al. (1999) Improvement of the BCR Three Step Sequential Extraction Procedure Prior to the Certification of New Sediment and Soil Reference Materials. Journal of Environmental Monitoring, 1, 57-61.[CrossRef] [PubMed]
[42] Kumar, S.B., Padhi, R.K., Mohanty, A.K. and Satpathy, K.K. (2017) Elemental Distribution and Trace Metal Contamination in the Surface Sediment of South East Coast of India. Marine Pollution Bulletin, 114, 1164-1170.[CrossRef] [PubMed]
[43] Gurung, B., Race, M., Fabbricino, M., Komínková, D., Libralato, G., Siciliano, A., et al. (2018) Assessment of Metal Pollution in the Lambro Creek (Italy). Ecotoxicology and Environmental Safety, 148, 754-762. [Google Scholar] [CrossRef] [PubMed]
[44] Paramasivam, K., Ramasamy, V. and Suresh, G. (2015) Impact of Sediment Characteristics on the Heavy Metal Concentration and Their Ecological Risk Level of Surface Sediments of Vaigai River, Tamilnadu, India. Spectrochimica Acta Part A: Molecular and Biomolecular Spectroscopy, 137, 397-407.[CrossRef] [PubMed]
[45] Saeedi, M., Hosseinzadeh, M., Jamshidi, A. and Pajooheshfar, S.P. (2008) Assessment of Heavy Metals Contamination and Leaching Characteristics in Highway Side Soils, Iran. Environmental Monitoring and Assessment, 151, 231-241.[CrossRef] [PubMed]
[46] Matache, M.L., David, I.G., Matache, M. and Ropota, M. (2008) Seasonal Variation in Trace Metals Concentrations in the Ialomita River, Romania. Environmental Monitoring and Assessment, 153, 273-279.[CrossRef] [PubMed]
[47] Sundaray, S.K., Nayak, B.B., Lin, S. and Bhatta, D. (2011) Geochemical Speciation and Risk Assessment of Heavy Metals in the River Estuarine Sediments—A Case Study: Mahanadi Basin, India. Journal of Hazardous Materials, 186, 1837-1846.[CrossRef] [PubMed]
[48] Zhai, M., Kampunzu, H.A.B., Modisi, M.P. and Totolo, O. (2003) Distribution of Heavy Metals in Gaborone Urban Soils (Botswana) and Its Relationship to Soil Pollution and Bedrock Composition. Environmental Geology, 45, 171-180.[CrossRef
[49] Krishna, A.K. and Govil, P.K. (2004) Heavy Metal Contamination of Soil around Pali Industrial Area, Rajasthan, India. Environmental Geology, 47, 38-44.[CrossRef
[50] Pekey, H., Karakaş, D., Ayberk, S., Tolun, L. and Bakoǧlu, M. (2004) Ecological Risk Assessment Using Trace Elements from Surface Sediments of İzmit Bay (Northeastern Marmara Sea) Turkey. Marine Pollution Bulletin, 48, 946-953.[CrossRef] [PubMed]
[51] Tang, W., Zhao, Y., Wang, C., Shan, B. and Cui, J. (2013) Heavy Metal Contamination of Overlying Waters and Bed Sediments of Haihe Basin in China. Ecotoxicology and Environmental Safety, 98, 317-323.[CrossRef] [PubMed]
[52] Menge, D.N.L., Hedin, L.O. and Pacala, S.W. (2012) Nitrogen and Phosphorus Limitation over Long-Term Ecosystem Development in Terrestrial Ecosystems. PLOS ONE, 7, e42045.[CrossRef] [PubMed]
[53] Zhang, J. and Liu, C.L. (2002) Riverine Composition and Estuarine Geochemistry of Particulate Metals in China—Weathering Features, Anthropogenic Impact and Chemical Fluxes. Estuarine, Coastal and Shelf Science, 54, 1051-1070.[CrossRef
[54] Suresh, G., Ramasamy, V., Meenakshisundaram, V., Venkatachalapathy, R. and Ponnusamy, V. (2011) Influence of Mineralogical and Heavy Metal Composition on Natural Radionuclide Concentrations in the River Sediments. Applied Radiation and Isotopes, 69, 1466-1474.[CrossRef] [PubMed]
[55] Chakraborty, S., Chakraborty, P. and Nath, B.N. (2015) Lead Distribution in Coastal and Estuarine Sediments around India. Marine Pollution Bulletin, 97, 36-46.[CrossRef] [PubMed]
[56] Saleem, M., Iqbal, J. and Shah, M.H. (2015) Geochemical Speciation, Anthropogenic Contamination, Risk Assessment and Source Identification of Selected Metals in Freshwater Sediments—A Case Study from Mangla Lake, Pakistan. Environmental Nanotechnology, Monitoring & Management, 4, 27-36.[CrossRef
[57] Bodin, N., N’Gom-Kâ, R., Kâ, S., Thiaw, O.T., Tito de Morais, L., Le Loc’h, F., et al. (2013) Assessment of Trace Metal Contamination in Mangrove Ecosystems from Senegal, West Africa. Chemosphere, 90, 150-157.[CrossRef] [PubMed]
[58] Rubio, B., Nombela, M.A. and Vilas, F. (2000) Geochemistry of Major and Trace Elements in Sediments of the Ria De Vigo (NW Spain): An Assessment of Metal Pollution. Marine Pollution Bulletin, 40, 968-980.[CrossRef
[59] Maiz, I., Arambarri, I., Garcia, R. and Millán, E. (2000) Evaluation of Heavy Metal Availability in Polluted Soils by Two Sequential Extraction Procedures Using Factor Analysis. Environmental Pollution, 110, 3-9.[CrossRef] [PubMed]
[60] Jain, C.K. (2004) Metal Fractionation Study on Bed Sediments of River Yamuna, India. Water Research, 38, 569-578.[CrossRef] [PubMed]

Copyright © 2025 by authors and Scientific Research Publishing Inc.

Creative Commons License

This work and the related PDF file are licensed under a Creative Commons Attribution 4.0 International License.