Liberal Democracy in Eclipse: The Economy Post-February 2020, Nourished by Four Odds—Disease Phobia, Profanity in the Media, Unethical Profit Seekers and Tail Risk ()
1. Introduction
“Foul words is but foul wind, and foul wind is but foul breath, and foul breath is noisome; therefore I will depart unkissed”—An Excerpt from Shakespeare’s Much Ado about Nothing
Economic science is centered on the controversies among different schools of thought. Contradictory views or disagreements have even been discovered in the political-economic discourse post-June 2020 in respect of the effects of the recent economic recession in a liberal democracy, a deliberative democracy, an egalitarian democracy and a participatory democracy. For example, some scholars have speculated that a large part of the tail risk has well been understood, and collectively, the world has the wherewithal—experience, expertise, and resources—to manage the same (see Mishra, 2020 ). Conversely, some others argued that the said economic recession has been the deepest since the Great Depression (1929-39) (Gopinath, 2020a & 2020b; Salvatore, 2021; Stiglitz, 2021b) . The stance of the latter group was potentially correct. However, I have to admit that I lack a thorough comprehension of the matter and hence cannot confirm the same in the tenet of an overabundance of information: some information is correct and some is not, rendering it difficult to find trustworthy information. There has been a discrepancy found even in the death toll from COVID-19 maintained by the leading repositories of COVID-19 data. The mass media was witnessed to downplay numbers.
Several undesired events with dire consequences occurred during the pandemic and the government took a slew of measures that perhaps had not been adequately researched. A few of those events are listed. i) During February 20 to April 7, 2020, stock market indexes around the globe plummeted because of unbridled fears about the spread of the coronavirus. The event is referred to as the coronavirus crash of 2020. Post-April 7, 2020, a mysterious surge in cases of insider trading and volume traders’ participation has been discovered. ii) March-December 2020: certain media reports on COVID-related statistics/information were contradictory, some had been crafted to earn populist advantages, and some had triggered everlasting controversies on social media. iii) Since March 2020, several incidents of non-adherence to the guidelines/fair practice code by banks/non-banking financial institutions (NBFIs) have been reported in liberal democracies, and the central bank and the government have been uncompromising in taking punitive action. For example, in Russia, the cases of revoking the licences of banks/other financial institutions during March-September 2020 on account of violating federal banking laws have been substantial. iv) June 2022: Sri Lanka had been earmarked for sovereign default on external debt, with unprecedented levels of inflation exceeding 40%. v) April 15, 2020: immediately after the 21-day nationwide lockdown in India until April 14, 2020, the government of India (GOI) and the Reserve Bank of India (RBI) jointly decided to implement the mega-merger plan, announced previously, of ten PSU banks into four banking behemoths. vi) February-September 2020: PipeChina, a state-owned oil, gas, and infrastructure company established in March 2020, acquired a part of PetroChina and Sinopec, two leading state-owned oil and gas companies in China, with a very high deal value of greater than $59 billion. vii) May 26, 2021: the farmers’ union in India commemorated May 26, 2021, as a ‘Black Day’ to mark the end of six months of their protest against three controversial farm bills approved by two houses of the Indian Parliament. The farm bills, those that were brought to facilitate farmers in barrier-free trading of agro products, have been withdrawn in November 2021. The events in Indian parliamentary democracy since its inception have occurred once in a blue moon. viii) January-October 2020: international tourist arrivals fell 72% globally during January-October 2020 over the same period a year ago. The travel and tourism fraternities in liberal democracies have observed “Black Days” during this time. Further, there is no denying the fact that, as stated in Majumder (2023) , the disaster had given rise to extraordinary circumstances attributed to non-cooperation, coronaphobia, work-place conflicts, violation of contractual terms, techno piracy, political satire, and several maladaptive coping strategies post-March 25, 2020, which were inconspicuous before the date.
This was an economic crisis that, unlike any other economic crisis on earth, was not foretold by an economist/a company professional/a market researcher, even a few days before it occurred. Value-at-risk (VaR)/expected shortfall (ES) wrongly assessed the risk evolved out of the black swan event1, as stated in the post-February 2020 intellectual discourse. Tail risk measures failed to identify and control systemic fault lines in the economy, as commented on by many modern-day scholars in in-house journals/conference proceedings/journals that publish research articles for hefty fees and do not offer peer evaluation. Furthermore, the methodology was criticised for being replete with cognitive bias. Cognitive biases can creep into the process through the adoption of heuristics in model formulation. We produce evidence that the adoption of heuristics to simplify the framework affects model performance. The rest of the paper is organised as follows. Section 2 demonstrates new fault lines that were discussed during an academic debate held recently. Section 3 presents counter headwinds against extant regulatory prescriptions for market risk. Section 4 describes the concept of subjectivity in risk measures. A critical analysis of conventional tail risk measures in light of subjectivity is incorporated in this section. VaR/ES with the model-based risk tolerance level are illustrated in Section 5. The data description is given in Section 6 and empirical results are presented in Section 7. Section 8 provides a retrospective evaluation of policies during 2020-22 and policy recommendations by scholars followed by concluding remarks in Section 9.
2. New Fault Lines-Opposing Arguments and Disagreements during an Academic Debate2
Arguments can be factually, morally, or logically flawed. They could be crafted as incongruous, oxymoronic, or one-sided (Madison, 2020) . Therefore, the efficient way of presenting important socio-economic issues would perhaps be in substantiation-rebuttal style. A step further towards making this foreknowledge meaningful, Roland (2020) added that economic science is centered on the controversy between two opposite schools of thought, and the subject has made progress with rational debates, disagreements and discussions. In that vein, an academic debate on how the COVID-19 pandemic affected public policies in liberal democracies was organised by the University of Calcutta. Prof. Neeta Majumder (Economist X) and I (Economist Y) had took part in that debate. Ideas and opinions by the invitees and panelists were thought-provoking and different from the countless usual monologues furnishing one-sided views on managing risks evolved from extreme events, which are partly controllable or totally beyond control. Also, the said debate was different from the numerous habitual post-pandemic discussions, consisting of awfully fabricated remarks, e.g., “Value-at-Risk wrongly assessed the risks”, “Risk models-at-risk”, “Methods Matter: getting ready for a new battle”, “Model risk of risk models”, “The emperor has no clothes”, “common law impossibility”, “Act of God”, etc., shared regularly as educational podcasts on social media. The confusing and dizzying array of remarks has been the post-pandemic tenet of socio-political discourse. Further, noncooperation, disease phobia, workplace conflicts, violations of contractual terms and frivolous lawsuits, which have not been topics in the realm of mainstream economics, have been brought to light as the crux of the pitfalls. A select portion of the debate is given below.
Significant advancement in the field of Economics, as accentuated by Economist X, has often been ushered in a state of disorder or chaos appearing unexpectedly in the horizon. ‘Blame Game’ or ascribing blame to plenipotentiary ministers of another interest group as the wrongdoer or the planner of the untoward commotion was the worst part of the post-February 2020 disaster, rather good that modern philosophers and economists welcomed such an exceptional situation because such a flurry of change that was unfolded over a year had never happened earlier, undeniably leaving a great scope for innovation. She went on providing more exposition in her monologue: the crisis began with a deadly disease, triggering a severe contraction in the real economy, and then propagated rapidly across economies.
The editors of the newspapers often cited legendary economists, policymakers, novelists, scientists and statesmen to ascribe the negative impacts of those events. Charles Dickens’s “A Tale of Two Cities” was purposefully framed by an

Box 1. Odd phrasing and odd events during the great lockdown.
editor of a reputed newspaper as “A tale of political offence”, “A tale of severe alcoholism”, “A tale of love jihad”. These three phrases were found in three different days of the publication of a leading English newspaper3 in India during April 2020. Amid unusual and exigent circumstances, the government and the central bank deployed unconventional monetary policies aggressively to stimulate economic activity and shore up confidence. Nonetheless, there were political competitions among different interest groups/lobbies. There was a lobby group in India, proactive to subvert the public interest, voiced a dissimilar ethos in their election campaign poster in September 2020: “Any invention, either scientific-technological, socio-political, or vaccine, is a creative process and seldom attracts gigantic funding, and also the stance of unconventional monetary policy, which was viewed as norm-bursting two years ago, has turned customary now”.
Unfortunately, policies those that are non-standard precipitated controversies among local economists and ideological tussles among political interest groups (Kennedy & Dodge, 2020) . A survey based on newspaper articles during April-June 2020, as referred to in the Appendix, reveals the fact that there has been a significant increase in the exposure to profanity in the media. A short transcript from the Bulletin, Reserve Bank of India (2020a) may be an illustration that embodies the “aggressive” unconventional policies during April-June 2020, “Unprecedented policy offensive was launched on the platform of extraordinary monetary policy accommodation in which the policy repo rate has been lowered by 115 bps since March 2020, taking the size of cumulative rate cuts to 250 bps since February 2019. In the event, the entire term structure of interest rates has softened in sync with the monetary policy stance, and liquidity constraints have been dissipated before they could morph into solvency concerns in the financial system”. The unconventional “quantitative easing” policy, aggressive bank mergers and acquisitions (M&A), aggressive tax reforms, and aggressive enforcement of cancellation of registrations adopted by the policymaker/regulator in many liberal democracies were guided by the need to restore normalcy in financial markets, overcome the deep distress of the banking sector and boost consumer confidence. However, being unorthodox, these measures are seldom conflicting and perhaps not worthy of being recommended in certain cases (Mishra & Rajan, 2016) .
The great lockdown led to the concept of “working from home (WFH)” for employees. In the new work environment, meetings/conferences have changed from in-person gatherings to virtual platforms. Economist X made an effort to illuminate the problem: “Once, I4 happened to ask one of my subordinate staff working in my department in the Reserve Bank of India, Mumbai, ‘Sir, you were observed not to have attended office even for a day in the last five months since the announcement of lockdown on March 23, 2020’. Unabashedly, he replied, ‘It is a work from home environment, Madam, and I shall come only on request’. After 15 days, incidentally, I met the same aged staff at Mahabaleshwar (263 km away from Mumbai). I inquired of him, ‘Sir, work from home is applicable if you are staying in the same city’. He replied, ‘Madam, I have come here to take care of my son’s health issues’. I could not understand why he had come to a hill station to take care of his son’s health issues. It is possible that some people select hill stations to rejuvenate their minds”. Paradoxically, compensation paid to employees in public sector enterprises is mostly protected. In a liberal-democratic system, employment contracts in public sector enterprises are frequently informal contracts in the sense that the provision of the monetary penalty/punishment in contractual terms is unclear in the case that the subordinates are not fully loyal and have easy excuses for avoiding work. In economic theory, the problem was depicted as a game between an efficient boss and an irresponsible subordinate who can fabricate many realistic excuses to shirk work. It was easy to rationalise an excuse in certain circumstances. If the subordinate could prove that he/she was truly sincere but could not do justice to his/her work due to inevitable hindrances evolved in exigent circumstances, the boss would lose the game. The inevitable hindrances during the great lockdown have been.
The excuses made by the subordinate staff have been difficult to be verified if done deliberately for avoiding works. When the incapacity to work has been propagated among junior- to mid-level employees by and large, the same could be seen as a hidden unemployment. It has been difficult to distinguish if the hidden unemployment is the forced unemployment induced by the pandemic or due to the fact that employees were unfaithful and had many excuses for neglecting work. If there remains a large segment of the active workforce whose marginal contribution to the firm’s profit is insignificant, the situation would distort the smooth running of a business. Notwithstanding the fact that the total wages paid to unloyal government and public sector employees would have been a minor percentage of the national income, the adverse effect on the economy was significant. This was a form of disguised unemployment in the sector, which caused imbalances as a ripple effect in interdependent sectors, viz., business, manufacturing and service sectors.

Box 2. The hindrances during the great lockdown.
![]()
Table 1. The Kurtosis based on daily losses* on stock indices.
Note: According to the V-Dem liberal democracy index 2022, India and UK are higher ranked, while the US, Brazil and Russia are relatively lower ranked liberal democracy. China’s system of government was described as a “people’s democratic dictatorship”.*our sample period has been from December 20, 1990 to February 16, 2017. ** Kurtosis = μ4/σ4 where μ4 is the fourth central moment and σ is the standard deviation. Source of data: Bloomberg.
Economist X pointed out that on certain occasions, wrong signals were prompted by the government in the way of publishing macroeconomic indicators/graphs/ratios in the newspaper or social media in a manner that hinders a clear understanding of macro fundamentals. The kurtosis based on daily losses on the Shanghai-SE index for the period December 20, 1990 to February 16, 2017 has been calculated as 151.05 whereas kurtoses of the other stock market indices have been less than 46 (Table 1). The data’s statistical properties for the Shanghai-SE index were startling. The rest of the debate is given in the Appendix.
3. Counter Headwinds against Extant Regulatory Prescriptions for Market Risk
Conceding the fact that the debate presented in Section 2 was unrivaled, the post-debate arguments ended up being diverted from rationality due to a few comments juxtaposing issues that were heinous and triggered unwarranted behavior of the audience. A doctoral student asked the discussion panel, “Is the Berkowitz & O’brien (2002) -type model for analysing the performance of the Value-at-Risk measure for banks in the USA suitable for banks in emerging market countries?” A panel member5 replied, “Problems with the model are: when the authors published their paper in the Journal of Finance in 2002, they did not have any clue how fatal the subprime mortgage crisis of 2007-08 would be. The model failed in assessing the risk, and the recession was the severe most in the history of the United States. Therefore, the research in this line might not be helpful in identifying and controlling systemic fault lines in the economy, and without doubt there was an invisible hand or God’s hand behind the black swan event”. A literature survey done by me has identified some additional references substantiating the standpoint that research on tail risk measures is largely unworthy. Daníelsson (2002) reported some major shortcomings in the analytical framework. Arguments by Boucher et al. (2014) , “The experience from the global financial crisis (2007-09) has raised serious concerns about the accuracy of standard risk measures as tools for the quantification of extreme downward risks. A key reason for this is that risk measures are subject to a model risk”, supported the said standpoint. The out-of-sample forecast performance of VaR/ES for crisis-stricken financial markets has been poor, as argued by many scholars. Few of them resonated more profoundly with the idea that VaR violations have little relevance to bankruptcy, financial crashes, or systemic failures (Daníelsson, 2002; Kakade, Jain, & Mishra, 2022; Majumder, 2023) . Majumder (2016 & 2018) argued that selecting a risk tolerance level with an onerous approach seldom calibrates substantially high market risk capital, which would not have been conducive to the financial firm’s profitability. While post-2010 regulations for Value-at-Risk have been the risk tolerance level of 99th percentile or even higher on certain occasions, it is difficult to justify convincingly the arguments by scholars reported above and also the issue raised in Kerkhof & Melenberg (2004) , “How small should the probability level associated with VaR be?” It is equally difficult to justify unpremeditated remarks in relation to tail measures shared as educational podcasts post-February 2020 on social media or published by post-pandemic scholars in predatory journals.
Estimating P&L distribution accurately using the sample data have had been a challenge for researchers. Simulations, either from some standard distributions or historical data, have long been a popular route to VaR. According to a survey by Perignon & Smith (2010) , 73% of banks among a sample of 60 US, Canadian and large international banks during 1996-2005 reported that their VaR computation was based on historical simulation. This method, however, faces criticism on the absence of assumptions about the dependence structure of returns (Manganelli & Engle, 2004) . Conversely, volatility models, e.g., ARCH and GARCH models, can capture the empirical regularity of time-varying volatility evident in the returns of most financial time series and hence provide better VaR forecasts (Mabrouk & Saadi, 2012) . The conditional autoregressive Value-at-Risk (CAViaR) model was adopted by Wu et al. (2022) for 28 select stock indices across emerging and developed stock markets for measuring tail risk for pandemic-stricken markets. Some researchers suggested that VaR could be measured more accurately through estimating only the tail part of the distribution using the statistical theory of extremes. This method, as emphasised in many empirical studies, frequently yields better estimates of VaR, particularly at higher quantiles (McNeil & Frey, 2000; Chan & Gray, 2006; Byström, 2004) . The reason might be that the theoretical foundation for the extreme value theory (EVT) allows modeling with some untenable but common empirical features present in the time series data, e.g., asymmetry, heteroscedasticity, peakedness, heavy tail, etc., which might lead to improving the VaR estimate. The model, however, might be inappropriate to capture unusual flux or uncommon empirical features, or black swans. Critically, black swans or extreme outliers that have been omitted commonly in the process of fitting models to data can lead the economy to collapse like a tasher ghor6 in the ripple effect of those events.
4. Change Thy Glasses—Rational Decisions Were Not Always Optimal
Ever since the pre-Markowitz era, it have had been a challenge for scholars to construct a mathematically profound risk measure to be fitted well to erratic market data. Some of the primitive risk measures were the margin of safety, the variance of return (or loss), the CAPM beta, the probability of default, etc. According to Szegö (2002) , measuring risks is equivalent to establishing a correspondence between the space (V) of random variables and a non-negative real number, i.e.,
. This correspondence could be with or without binding conditions. Artzner et al. (1999) proposed binding conditions, viz., monotonicity, subadditivity, positive homogeneity and translation invariance, that make the risk measure (ρ) coherent. In practice, certain kinds of risk measures require setting restrictions on the domain, V. For example, in tail-related risk measures, the domain of the function is restricted to the upper tail with a pre-specified size. The procedure of setting the domain may induce subjectivity in risk measures (Majumder, 2023) . Subjectivity can be induced during the estimation stage as well. We can classify subjectivity according to its occurrence at different levels.
4.1. Are VaR and ES Subjective Risk Measures?
According to Jorion (2002) , “VaR measures the worst expected loss over a given horizon under normal market conditions at a given level of confidence”. More formally, p%VaR describes the quantile (x) of the projected distribution of loss, Lt, and p%ES is the expected loss greater than p%VaR:
(1)
For given ‘p’, equation (1) generates a single, summary statistical measure of possible portfolio losses. Subjectivity in p%VaR (or p%ES) is embedded in individual choices of the parameter ‘p’ in Equation (1).
Subjectivity in the definition: frequently, the domain of assessing risks is not derived from a suitable quantitative process or model but determined by the judgment of the risk modeler. The modeler creates his own subjective reality from perception, value judgment and recommendations made by external regulators. The procedure, unfortunately, has been subject to cognitive bias. There have been a number of instances, as stated in Eliaz, Spiegler, & Weiss (2021) , that implementation of an “ill-fitting” risk model was replete with selection bias. There were few instances, viz., empirical evidence reported in Shaik & Padmakumari (2022) , of statistical models fitting well to the historical data that were not apt to capture uncommon empirical irregularities, e.g., jumps, abnormal skewness/kurtosis, etc., occurred due to a regime switch. Therefore, the predictive performance of the model was unsatisfactory. Selecting a model that is mathematically correct, however, inappropriate to capture the unusual flux of financial markets is subject to selection bias.
Subjectivity during estimation: subjective decisions are essential at the estimation stage, particularly in the choice of the look-back period, the selection of proxy indices, the rules for handling missing data, etc.
4.2. Disadvantages in Using a Subjective Risk Measure
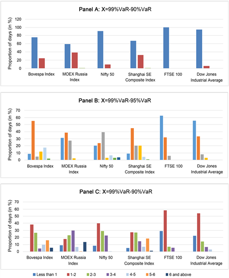
Using equity market data we have formed an example below to illustrate how heterogeneous choices of the parameter ‘p’ may result in a substantial variation in VaR estimates. Daily VaR using historical simulation based on rolling windows of fixed length of 500 trading days has been computed on daily losses based on six indices as in Figure 1. The proportion7 of days (in %), for which the VaR difference, (99%VaR - 95%VaR) or (99%VaR - 90%VaR), lies in the higher class intervals, e.g., 2-3, 3-4 or 4-5 or even more, is not insignificant for each index (Figure 1). On some occasions, the same is more than 10% or even more than 20%. Therefore, it is possible to discover a number of scenarios where we can find that a minor variation in choices of the risk tolerance level resulting in a significant variation in the VaR estimates. In those cases, the change in the risk tolerance level may attract substantial additional risk capital for a financial firm. Paradoxically, improper setting of the tolerance level is unavoidable in the present practice. It is worth quoting Majumder (2016) , “The existing rule-based strategy to set this parameter is hardly backed by quantitative techniques, and therefore the procedure may be subject to human bias”.
5. VaR and ES with the Model-Based Risk Tolerance Level
5.1. Behavior of Losses Exceeding a High Threshold
Let
be a sample of n independent realisations of a random variable, X, representing the loss with distribution function,
, having a finite or infinite right endpoint (x0). We are interested in investigating the behavior of this distribution exceeding a high threshold, u. In the line of Hogg & Klugman (1984) , the distribution function (
) of the truncated loss (
) (truncated at the point u) can be defined as:
Based on
, we can define the distribution function of the excess losses over a high threshold, u:
(2)
![]()
Figure 1. The proportion of days (in %) that the VaR difference lies in the class interval. The sample set for each indices has been given in Section 6.
Balkema & de Haan (1974) and Pickands (1975) showed that, for a large class of distributions, the generalised Pareto distribution (GPD) is the limiting distribution for the distribution of the excess, as the threshold (u) tends to the right endpoint. Therefore, we can find a positive measurable function
,
(3)
where the distribution function of a two-parameter GPD with the shape parameter (ξ) and the scale parameter (
) has the following representation:
where
,
when
and
when
. (3) holds if
and only if F belongs to the maximum domain of attraction of a generalised extreme value distribution (GEV) (H) (McNeil & Frey, 2000) . Equation (3) could also be represented in terms of the three-parameter GPD. In this case, for
, the distribution function of the three-parameter GPD can be expressed as a limiting distribution function of the excess. With the shape parameter, ξ, the location parameter, u, and the scale parameter, σ, the distribution function of the three-parameter GPD has the following representation:
where
,
when
, and
when
.
This representation gives a theoretical ground to claim that there exists a threshold, the data above which exhibits generalised Pareto behavior.
5.2. Identifying the Tail Region
Equations (2) and (3) together with the three parameter representation of GPD could be simplified as:
Setting
(4)
The right hand side of equation (4) can be simplified to a distribution function of a GPD, with the shape parameter, ξ, the location parameter,
, and the scale parameter,
:
(5)
where
and
Hence, if we can fit a GPD to the conditional distribution of the excess losses over a threshold, the same can also be fitted to the unconditional distribution of the excess losses over a certain threshold, and these two thresholds would be different (see Reiss & Thomas, 1997 ). The methodologies for estimating the threshold for the conditional loss distribution (
) and the threshold for the original loss distribution (
) are provided in Majumder (2018) .
5.3. Measuring Tail Risks
For a small quantile of order P,
, equation (4) can be rewritten as:
(6)
VaRp is the pth quantile of the distribution, FX(.). Therefore,
(7)
Equations (6) and (7) reveal that when the distributional form of the underlying distribution, F(x), is known, p and VaRp can be estimated simultaneously. Value-at-Risk to be resulted by solving (6) and (7) does not require ex-ante setting of the tolerance probability. Majumder (2016, 2018, & 2023) has named the new VaR measure as non-subjective8 VaR (or VaRN-S) and the new ES measure as non-subjective ES (or ESN-S). For given (or estimated) ‘p’ and VaRp, an estimate of ESN-S can be obtained by using equation (1).
F(x) is modeled by the Filtered Historical Simulation (FHS), which was first proposed in Barone-Adesi et al. (1999) and extended in Barone-Adesi et al. (2008) , a semi-parametric approach that combines a GARCH-type structure with a nonparametric specification of the probability distribution of the asset return (or loss). FHS retains the nonparametric nature of the model by ameliorating the historical simulation model with the circular block bootstrap (CBBHS). The bootstrapped standardised residuals are then used to generate the time path of the asset return (or loss). We, however, depart from the Barone-Adesi et al. (2008) -type FHS model in the line of suggestions by Lehtinen & Kuorikoskit (2007) and Majumder (2023) that any computational algorithm, to be solved by the computer, e.g., the simulation techniques using Gaussian/Uniform random numbers or pseudorandom numbers, may generate non-robust estimates, particularly in the case of a non-Gaussian heavy-tailed probability distribution. It is relevant to quote from Majumder (2023) , “Random numbers supplied by the computer, a legitimate tool in economic modeling, generated by some mathematical formulae/algorithm are not random in the true sense. While artificially generating data by algorithms for random number generation, it is deemed reasonable that one or two data points situated far away from the sample mean are omitted. The extreme outliers, excluded during the course of executing the replication algorithm, could be unusual observations that do not result during the normal course of trading in financial markets, or could be events that occur once or twice in a hundred years or even more. A graphical comparison of bootstrapped standardised residuals with nonbootstrapped standardised residuals reveals that the nature of the two series is different, specifically at higher quantiles”. The CBBHS associated with the basic FHS model is, therefore, excluded from our model.
6. Data Description
Our sample period (T) has been from September 23, 1997 to July 29, 2021 for the BOVESPA Index, from October 9, 1990 to July 30, 2021 for the NIFTY50, from October 9, 1990 to July 30, 2021 for the MOEX Russia Index, from December 20, 1990 to July 30, 2021 for the Shanghai SE Composite index, from January 3, 1980 to July 29, 2021 for the Dow Jones Industrial Average, and from January 3, 1984 to July 30, 2021 for the FTSE100, and excludes nontrading days. The total number of days, in T, for the BOVESPA index is 6730, for the MICEX index is 5469, for the Nifty50 is 6979, for the Shanghai SE Composite Index is 6478, for the FTSE100 is 9012 and for the Dow Jones Industrial Average Index is 9982. T has been split up into two parts: A is the training set, consisting of T1 trading days, on which we fit our model to get initial estimates of parameters, and B is the test data set, consisting of T2 trading days, which is used to assess the performance of the model. T1 is taken as T/2 rounds down to the nearest integer. Initial forecasts are computed based on A, and then daily rolling window forecasts of these risk measures are estimated by expanding the upper bound of the time window by one day while keeping the window size same. The COVID scenario includes days post-March 25, 2020. We have computed the number of days where the actual portfolio loss breaches the estimated VaR (or ES) based on a sample of T2 trading days. However, for the purpose of comparison, uniformity was achieved in presenting the data by making the total number of days across six portfolios 10,000 (see Table 2).
7. Empirical Results
The statistical accuracy of VaR- and ES-forecasts is examined through the backtesting procedure, a method that helps compute VaR/ES violation rates. The number of violations in 10,000 days for six stock market indices for the full sample and the COVID scenario is reported in Table 2. For VaR at the 99% level, the violation rate, calculated as a percentage of the number of violations to total violations, goes beyond 1% for all 12 cases under consideration. Out of 12 cases, in 6 cases, the violation rate is high enough at more than 5%, and in 1 case, the violation rate goes beyond 10%. For VaR at the 95% level, out of 12 cases under consideration, in 11 cases, the violation rate exceeds 5%. The expected violation rate, however, has been 5%. For VaR at the 90% level, out of 12 cases, the violation rate exceeds 10% in 9 cases. Similar phenomena have been observed for ES at the 99%, 95% and 90% levels. The DGP9-actual and the DGP-estimated differs, the detail analysis kept excluded from the report in our paper albeit, specifically at higher quantiles. The rationale for such a deviation might be: a) parameter instability, and/or b) untenable features present in the extreme tail part. If the DGP-estimated has been recalibrated on each occasion, as in our model, the possibility of unstable model parameters owing to the limitations of keeping the risk model static over the testing period will not arise. However, the best-fit model would not be the perfect model, specifically if b) occurs. Contrarily, in the case of VaRN-S, it can be observed that out of the total 12 cases, the violation rate exceeds 10% in 3 cases and lies in-between 0.05% - 10% in 9 cases. The estimated probability levels for VaRN-S lie in-between 0.05 - 0.10, kept excluded from our analyses albeit, which is in the line of findings by Majumder (2016 & 2018) . Similar phenomena have been observed for . There are, however, anomalies in the existing framework due to the following reasons: i) post-2010 regulations for VaR/ES, as alluded to in Majumder (2023) , have been made onerous; ii) going towards the extreme right end of the distributions of losses can result in a greater deviation between the DGP-actual and the DGP-estimated above a certain threshold level; and iii) if a financial firm chooses a low-risk environment, it strategically expects lower returns.
![]()
Table 2. The number of days the actual portfolio loss breaches the estimated VaR/ES.
Note: The total number of days is 10,000.
8. A Retrospective Evaluation of Policies during 2020-22 and Some Policy Recommendations from Published Research Papers
Economics is the subject centered around controversies between two opposite schools of thought, such as the classical-Keynesian controversy, the Keynesian-monetarist controversy, the modernist-primitivist controversy, the formalist-substantivist controversy, etc. In a liberal-democratic system, economic policies are formed in a way largely analogous to the one described above, in that policy actions have been grounded in rational debates, disagreements, opposing arguments, and conflicts among policy researchers belonging to two or more groups having divergent opinions or beliefs. In contrast, an autocratic or non-democratic system is a state-controlled regime wherein principles adopted by the authoritarian leader are commonly followed by citizens. Researchers belonging to the research wing of finance departments of public sector enterprises publish research articles supporting the very school of thought or ideology primarily in in-house journals. The research papers used for the policy-making process were witnessed to be of low quality.
The post-February 2020 disaster had given rise to extraordinary circumstances, and liberal democratic constitutionalism has been metamorphosed because of events, plenty in number, not experienced hitherto, e.g., curfew, self-curfew, janata curfew, lockdown, nakabandi, home isolation for COVID-19, police raids over corporate greenwashing claims, etc. Paradoxically, there was no explicit provision in the constitution for grounds for the proclamation of pandemic-triggered emergencies, and therefore the plenipotentiary enjoyed absolute prerogative in declaring those emergencies many times wherever he wanted owing to the critical circumstances that evolved. The literature on the subject has put particular emphasis on the fact that they were not emergencies in as true a sense as to destabilise the foundation of liberal democratic constitutionalism, but paradoxically, there is hardly any paper available explaining the rules and processes that differentiate those emergencies (Majumder, 2021; Aaltola, 2022; Greene, 2020) . Among a few references, it is worth quoting The Economic Times (2020) , which describes the features of the ‘Great Lockdown’: “This is like a curfew, and far stricter than the ‘Janata Curfew’”. Those emergencies were, however, important due to the reason that they operated to catalyse a sort of indistinctness in the legal system and create an odd sort of governance in a constitutional setup that had undergone a social, political and economic metamorphosis. We should not be surprised when senior power elites have a profound affinity for selecting from a coterie of advisers, some of whom were merely incompetent in disaster management, in the replacement of government personnel. Their affinity bias affected the quality of public services (Akhtari et al., 2022) . Some opportunist editors of newspapers used to publish commentaries on impromptu speech/false narratives by politicians and pundits on account of the increase in newspapers’ sales. An upsurge in sales of one or two newspaper publishing companies was witnessed post-February 2020, critically, albeit an immoral act. Some scholars have speculated that the democratic credentials of some liberal democracies are being eroded. For example, India has now been believed to be drifting into the realm of ‘electoral autocracy’ with a steady decline in democracy indices, as alluded to in Economic and Political Weekly (2021a & 2021b) and Singh (2023) .
Notwithstanding the fact that financial markets are the pulsing heart of cognitive capitalism, erratic stock markets post-February 2020 were unfairly considered by many speculators to be an opportunity to earn an abnormal return. When emotions take over, markets are no longer efficient, and they can remain so for longer than anyone can predict (Majumder, 2021) . The cognitive development of the malign influence of risk gamblers that prevented market prices from converging to their fundamental values has had disruptive consequences for keeping markets inefficient for a prolonged period of time (Choi, 2021) . Post-February 2020 financial market data was not trustworthy due to the mysterious surge in cases of insider trading and volume traders’ participation and potential pitfalls, viz., imperfect knowledge and gaps in regulations to organise a systematic probe for scams/unlawful activities. In certain cases, the publication of historical time series has been discontinued on account of either unreliable data or problems with the dissemination standard. For example, in the case of India, while aggregated data is available, bilateral data on remittance flows has been discontinued to publish post-2017. The aggregates are calibrated by adding the bilateral figures of remittance inflows (or outflows) and are still being published, as alluded to in Pradhan (2023) . The fact was that some data post-February 2020 was sacrosanct and some was flawed, rendering it difficult to find trustworthy data. The unavailability of data, however, has been detrimental to the development of regulatory policies. As pointed out in Section 2 and Appendix, it has been discovered that the historical dataset in the distant past was occasionally used in publications/policy background papers, making the quality of the policy research further low.
The choice of proxy variables in macroeconomic modelling and the weights assigned to different items in price index construction were frequently replete with selection bias. For example, in India, the total weight of 25 major agricultural commodities, included in the computation of the Minimum Support Price (MSP), has been around 45% in the CPI commodity basket during the period January 2018 to June 2021. The total weight of the remaining 274 items in the basket was around 55%. One school of thought emerged recently as an austere counterpoint to the NSO’s10 stance that unduly higher weights have been assigned to a few commodities, and some other important commodities have been assigned inconsequential weights by the nodal agency. The methodology includes patchworks of statistics applied to the raw data and many other complex techniques as well, as stated in the NSO’s discourse. Notwithstanding the nodal agency’s claim that index numbers have been quantified prudently, it is apparent that ‘cherry picking’ of a few agricultural commodities could introduce selection bias. Critics made it a point, perhaps not led by ultracrepidarianism, that a leading component of CPI inflation in India was regulated. Inflation expectation surveys in liberal democracies were frequently conducted among respondents who were mostly middle- to lower-class in socio-economic strata. The effective literacy rate in that population group, as per the data presented in Pathania (2020) , has been low. Since respondents from rural areas have frequently been controlled by local elites, systematic lowering in prices by respondents has been a persistent problem. The response rate for surveys, computed as the total response received as a percentage of total canvassed entities, has frequently been less than 25% during the pandemic, as reported in the socio-political discourse.
In the face of COVID-19-related hullabaloo, as pointed out in the debate in Section 2, the government and the central bank adopted several measures, including those that are ‘aggressive’ and ‘unconventional’, to stimulate economic activity and shore up confidence. Nonetheless, there were political competitions among different interest groups/lobbies (Eguia & Xefteris, 2021) . Frequently, conflicts during high-level meetings, conflicts originated from violations of contractual terms, workplace conflicts and family conflicts were mismanaged and cost mounted. The circumstances were described in Bitar & Tarazi (2022) as the ‘golden rule’ enforced by government officials. The political game was, on several occasions, turned into an ‘Evil Game’ when foul words were used by politicians and pundits in their speeches, some bureaucrats were given charge sheets on trivial grounds, and some award winners were demoted/imprisoned/asked to leave the country. There was evidence that victimised elites filed lawsuits against the administrator/regulator for violating their fundamental rights. In a political economy bearingfeatures of both autocratic as well as democratic systems, fraudsters who put forth researching weird pseudoscientific theories in economics and data science, as exemplified in the anecdote about Mr. Share Khan in the Appendix, were ever more latent to be detected. Some of them had violated contractual terms in an innovative way, some were maintaining records on the ministry’s website and there was no physical existence of their companies, and some were making money by promoting unauthorised payment gateways or by selling products through ubiquitous, unregulated and enticing websites. There had been quite a number of incidentswhere robotic process automation, chatbots, cloud computing, and similar applications utilised to enhance customer service in banking were misused. Unsolicited commercial calls were made saying “on behalf of the bank”. Paradoxically, the line had been specially crafted in communication by bankers on account of not disclosing the telecaller’s identity to the banking customer. In some cases, unfortunately, the telecaller had been a third-party entity who was playing an ‘Indecent Game’ since the fraudster was well-informed that the majority of the customers were financially illiterate or semiliterate. Even if some were financially literate, they were not digitally literate. It had been hardly found any customer who would be both financially literate as well as digitally literate. The fraudster-in-camouflage created operational risk for the principal as well, which transformed into reputational risk over time for a customer-centric business.
The intra-system fraudulent activities surfacing in a democracy were anathema to law enforcement officials who had become proactive in detecting the scams/frauds. Their investigative success hinged on their credibility, and in certain cases, they were awarded by ministers. Unfortunately, those accomplishments were at the cost of something that was not known beforehand. For example, it has been reported on a few occasions that a honcho was convicted inappropriately and imprisoned. There was evidence that the same man, quite atypically, filed a lawsuit against the administrator/regulator for violating his fundamental rights. In this confused political environment, law enforcement officials got more preference for getting fiscal support compared to a manufacturer, a wholesaler, a professor, a teacher, or a researcher. Furthermore, while going with suggestions by the IMF during late February to early May 2020 of coordinated actions by monetary and fiscal authorities, the fiscal authority of many liberal democracies not only created an avenue for additional funds aggressively to provide fiscal support to endure a growing disease burden but also provided some intelligent directives as well, which were in the line of establishing its superiority over the monetary authority. Critically, the political system in many liberal democracies turned into an apparent autocratic system for a prolonged period, although not denying that their democratic constitutionalism was operating through legislative, executive, and judicial institutions of governance and channels of legal command. The new system was not a prototype of an autocracy. However, without a shadow of a doubt, the same was influenced by the ingredients of the autocracy. On the one hand, some odd events, as previously alluded to in Box 1 & Box 2, disrupted the normal life flow, and on the other, hindrances in conducting democratic activities in an electoral democracy, viz., conducting physical meetings, canvassing, formation of the constitutional body, etc., affected free and fair elections. In some cases, electoral forms were present, but the substance of an election was missing since canvassing and counting of votes were not proper. A large number of voters were reluctant to cast their vote due to coronaphobia. The elections, in certain cases, were not competitive, and the electoral situation was highly compromised. Occasionally, formalities in the formation of the constitutional bodies were not done, and they were formed with the approval of the supreme leader/constitutional head. There has been a prominent possibility of inappropriate deployment of constitutional power.
Similar to an autocratic system, law enforcement officials were privileged in getting fiscal support and other benefits. It was observed that militaries, policemen, fire service professionals, security officials, and health care service professionals had got quicker promotions. Unlike a typical autocratic system, however, healthcare service professionals and medical researchers were getting preference in receiving government grants in the form of fiscal subsidies, aids, tax incentives, exemption of bank loans, etc. The financial stability was challenged due to turbulence in financial markets, abnormal rise in prices of some healthcare sector stocks for short period of time, which, however, did not commensurate with the financial health and fundamentals of the company such as earnings, book value and price to earnings ratio, etc., disguised unemployment in the government and the public sector and the bankruptcy of innumerable small and medium sized financial institutions/private companies. Unjust policies for creating avenues aggressively for additional funds to endure the growing disease burden, higher service costs during the universal lockdown and escalated costs related to intra-state conflict resolution including litigation costs, which were not known beforehand, led to an expenditure at an unmanageable level. Mergers and acquisitions (M&A) during March-July 2020, since the acquisition process, instead of creating synergy, had potentially triggered many unusual bottlenecks, were unjust strategies. We put more emphasis on incidents of M&A during the great lockdown, for instance, the acquisition by M/s PipeChina of a part of M/s PetroChina and M/s Sinopec, as demonstrated in the introduction, because, during the period, telephone and utility services, legal and financial services, travel and lodging services, and transportation services have been more expensive than usual. Freight transportation interstate or cross-border had become difficult due to exigencies that evolved amid the great lockdown on account of rising panic among workers being infected at work. Expenses for the same had been abnormally high. The fact remains that imprudent decisions were moronic due to odd hindrances.
During the early pandemic months, the government was concerned about the health and safety of the citizens. The civic body formed had segregated businesses as favourable and unfavourable to infections and health hazards. Street food selling was not permitted to commence business since such types of businesses were considered unfavourable in respect of the community’s health. A widespread phenomenon was observed in the citizens’ common bad habits towards maladaptive practices of celebrating alcohol as a way to drown sorrow in hard times. In some high-income countries in North America and Europe, alcohol was declared—implicitly or explicitly—to be an ‘essential good’ (Neufeld et al., 2020) . Subsequently, sales and delivery services for alcohol in many liberal democracies were included in the list of essential services. There is no denying that, as argued by Neufeld et al. (2020) and many others, alcohol was used as a disinfectant. It might be undeniable as well that unlicensed retail businesses, for example, fast food sellers, were not supportive of revenue generation by the government, whereas the liquor business was greatly supportive of the same. Local power elites had become strict, unexpectedly post-February 2020, and uncompromising in taking fines from citizens for contravention of tax norms/traffic rules/COVID-19 health and safety protocols. They were witnessed to be intransigent, even towards any appeal for remission. The downside of regulations has been that it is difficult to understand whether regulators’ policy actions were in good faith, i.e., crafted to protect the health and basic human rights of citizens, or deceptive, i.e., for deficit financing through numerous minuscule non-tax revenues. There were instances of public protests post-June 2020 against the conjoint “ethnocentric” policies, viz., the unjust system of post-February 2020 regulations and disparity in awarding punishment.
Certain data/information that is available on Google/Wikipedia has not been updated regularly. The age of senior leaders and top-notch bureaucrats was an example of the same. A survey based on resources available on the internet was carried out by the author to identify the difference between the apparent age visible in Google/Wikipedia and the actual age provided in the curriculum vitae or any other authentic document of a sample of 350 senior leaders and topnotch bureaucrats. There was a prominent discrepancy between the two ages. Surprisingly, the age visible in the Google/Wikipedia resources was, in most of the cases, 3-12 years less than the actual age. Even though these data were preliminary and further study was warranted, the pattern is irrefutable. The issue that was brought up in the introduction and worth restating has been. In the tenet of an overabundance of information, some information is sacrosanct and some is flawed, rendering it difficult to find trustworthy information. Further, in the anecdote about the former chief minister of age 70 in the debate referred to in Section 2, the minister’s enthusiasm to serve the nation even in unusual and exigent circumstances is well portrayed, albeit there remained a significant risk of worsening the elderly’s health. The fact that the issue was controversial notwithstanding, decision making by a senior leader would have been replete with pervasive cognitive biases, primarily related to the ‘age’. In an excerpt from the above debate, Economist Y emphasised that plenipotentiaries in federal democracies, lawmakers, and corporate CEOs are frequently observed to be older people (age above 50), and few among them are very old (age above 70), and some are more veteran. However, people of different age groups living in the same neighbourhood have prominent diversity in nature, e.g., sense of community, social cohesion, activity patterns, attitudes and lifestyles, behaviours and identity, etc. (Stolle & Harrell, 2013; Wise & Noble, 2016). Even when elected representatives were able to garner support from citizens due to their knowledge and hard work, they got a timorous image due to cognitive and behavioural factors, particularly during- and post-the ‘GreatLockdown’. Economic policies were wrapped in misunderstanding caused by false consensus bias of the plenipotentiaries. More explicitly, false consensus bias was the result of plenipotentiaries’ false memory and sharing the false memory among multiple people via speeches/media podcasts, which is referred to as a type of ‘Mandela effect’11. Due to the presence of false consensus bias and policy implementation deadlines tied to the requirements of disaster management, a very senior leader frequently went with second-best solutions in policymaking. Economic models, which are simplified and by and large generate correct results, were frequently used for policy formulation.
Macroeconomic models used for policymaking, for example, statistical models for forecasting/nowcasting, the dynamic stochastic general equilibrium models (DSGE), asset pricing models, etc., frequently were of ‘poor basis’ for policy formulation due to the model’s impractical assumptions, selection bias, misspecification, misestimation, and/or publication bias (for details, see Brodeur, Abel, Cook, & Heyes, 2020; Stiglitz, 2021a; Majumder, 2021; Eliaz, Spiegler, & Weiss, 2021 ). Additionally, bias due to i) having a preference in drawing empirical results using voluminous data compiled by a computational package with massive computational power over an econometric model fitted with limited data, or ii) using survey data with a lack of randomness in sampling resulted in long-persistent adverse consequences (Greene et al., 2021) . Further, opaque bureaucratic communications, as stated in Kim & Kreps (2020) and Majumder (2021) , have resulted in a great deal of public confusion and misunderstanding. The cooperative banks/NBFIs/insurance companies could not secure the ‘benefits’ conferred by the regulator because of the unwanted legitimates, those that were cunning in the government gazettes/sectoral regulators’ circulars. The griever frequently questioned the legitimacy of certain provisions and the logical coherence of placing them in isolated sentences in different paragraphs. Apologists for the griever, while calling out its abuses and corruption, pointed out that the essence of constitutionalism in a democracy is not merely to shape and condition the nature of majorities but as well to manage the risk of inappropriate deployment of constitutional power amid critical circumstances.
Asset prices in pandemic-stricken financial markets have been more erratic than they usually are. Corporate CEOs could not price their portfolios accurately based on the risk-return dynamics. On some occasions, the consultancy firm appointed by them explored sophisticated techniques to capture the properties of heteroscedastic financial market data. Example includes the jump-diffusion process, the mathematical fractals, and the stable distribution. Decision rules calibrated were seldom inappropriate to capture the unusual flux of financial markets induced by the pandemic. CEOs were concerned with quick policy implementation on a deadline. Deadlines had been tied to the requirements of disaster management and were stricter than usual, and therefore, no research paper, no backtesting, no scenario generation, no stress testing, and no case study analysis were possible to be done. Decision rules calibrated have been used for investment decisions, insurance decisions, or in the case of the securitization of home mortgages and other assets. In the case of securitization, notwithstanding that top managers had incentives to repackage illiquid assets and their associated cash flows into marketable securities, unfortunately, some assets in the pool were good assets. Escalated costs have made the business vulnerable in the long term. Strategic decision biases have resulted in imbalances as a ripple effect in interdependent industries/sectors.
Prominently, interdependence between the financial sector and the real sector slackened, primarily because of uncoordinated policies, noncooperation during their implementation, and heightened enmity between the peer organisations. Fear and anxiety have percolated among the management of small-scale enterprises due to the disruption of the production flow and possibility of industrial espionage. Monetary and fiscal policies were formulated considering trends in common indicators of the real and the financial sectors, however, indicators of the financial sector included for policy research were limited to a few indices, either the benchmark stock market index or any indices formed based on a countable set of large companies. Paradoxically, those large companies managed a financial turnaround post-pandemic whereas countless small and medium companies had gone bankrupt during the great lockdown. There is no denying that pandemic induced discriminatory restrictions across businesses had made lopsided informal sector with informal workers significantly jobless, halted, income frozen and savings eroded. Informal workers expected to write-off their loans taken from commercial banks and the government sanctioned direct economic aids in the way to waive-off the sector’s loanburden. The policy was supported by the opposition party. As stated in Aaltola (2022) , fear has spread among the common people because vaccines were not fully effective in controlling the deadly disease. The pharmaceutical companies’ press releases on surveys conducted by them on the effectiveness of COVID-19 vaccines frequently asserted emphatically that vaccines invented by them were effective in preventing the disease in more than 90% of cases; however, one body of thinking emerged post-June 2021 as a counterpoint to the pharmaceutical companies’ apparently justifiable stance in the line that their surveys were subject to sampling bias. The contextual reference might be the controversial statement by Sir David Spiegelhalter, an influential British statistician and newspaper columnist, in the socio-political discourse that the majority of COVID deaths occurred in the vaccinated group, not in the unvaccinated group of the population. Unfortunately, unexpected and unplanned expenses escalated to an unimaginable level. Many liberal democracies failed to manage risks evolved out of black swans.
Nevertheless, scholars recommended policies to counter headwinds to a positive long-term outlook. a) A sustainable and inclusive path towards restructuring debt obligations, infrastructure and education spending, a robust international corporate tax regime, and a better trade and intellectual property regime were suggested in Rogoff (2021) and Stiglitz (2021b) . b) Mixes of unconventional monetary and fiscal instruments conditional on different business cycle shocks could be effective, as suggested in Seidl & Seyrich (2023) . A cost-benefit analysis before implementing macroeconomic policies was suggested in Gopinath (2020a & 2020b) . c) Periodic consistency checking of the accounting of macro-economic aggregates and flagging anomalous data points, which could be introduced due to non-sampling errors in primary surveys or improper synchronisation of theory and techniques in the process of decoupling while migrating from a physical to a virtual environment, have been suggested in Majumder (2021) and Joshi & Patel (2021) . d) Opaque communications inoffice noting/gazettes/circulars, as stated in the debate in Section 2, have resulted in a great deal of public confusion and misunderstanding. Coordinated actions to present bureaucratic communications in an uncomplicated way may reduce bureaucratic inefficiency (Kim & Kreps (2020) and Majumder (2021) . e) A growing fondness for fabricated news, scandal-mongering, sensationalism, viral news, fake news, etc., led to confusion and fear. Cultural assimilation, i.e., the process of assimilating a wicked culture into a salutary culture, was suggested in Greene et al. (2021) , Ognyanova et al. (2020) and Pennycook & Rand (2021) . f) An intuitive misspecification test for economic models could disqualify those that were not well grounded (Eliaz, Spiegler & Weiss, 2021; Stiglitz, 2021a) . g) When the bureaucracy is not shielded from the political process, the “quality-enhancing” motives for politically motivated replacements of bureaucrats may improve the quality of public services, as suggested in Akhtari et al. (2022) .
9. Concluding Remarks
Never in a million years had high-profile seniors, e.g., leaders, top-notch bureaucrats, corporate CEOs, etc., imagined that a rare economic disaster would occur in 2020. They were, therefore, not trained on how to execute democratic activities, macroeconomic policies, prudential regulations for banks, agreements/contracts/MOUs, etc., smoothly and how to improve overall efficiency in the circumstances of extreme uncertainty. It is undeniable that old age was not favourable to learn new things. Elites were frequently engaged in political-, legal-, or B2C/B2B business related-conflicts. Due to a low level of risk literacy, the bourgeois, excluding the company’s owners and CEOs, were misguided by regulations imposed by senior power elites. The result was that the middle managers were wallowing around with expenditures of the wrong sort.
The risk resulting from the ‘black swan’ in the financial sector, or tail risk in finance, is the possibility of fortuitous large financial losses due to extremely unlikely or newsworthy outlier events having domino impacts of unimaginable proportions. While tracing the deepening fault lines in the world economy during 2003-2010, Rajan (2010) argued, “Tail risks are difficult to control. They are hard to recognise before the fact, even for those who are taking them”. Some scholars added that the risk evolved out of any unforeseen extreme event beyond the control of proficient risk managers is deemed to be an “Act of God” (Majumder, 2021) . Post-pandemic scholars, however, recommended policies/measures, as described in our paper, to facilitate counter headwinds to a positive long-term outlook. In addition, this paper proposes policies as outlined below.
The form of disguised unemployment in the government and public sectors, addressed in the debate in Section 2 and Majumder (2021) , caused imbalances as a ripple effect in interdependent sectors, viz., the business, services and manufacturing sectors. It is easy for junior- to mid-level employees to rationalise excuses to shirk work in certain circumstances. For instance, a pandemic-affected economy. The provision of monetary penalties for minor breaches in the contractual terms of an employment contract could improve the working environment. Amid unusual circumstances, when private information about problems in the government sector was divulged, some corporate CEOs permitted unethical means of money-making, for example, a) fudging or cooking data/information, b) designing a number of uncanny bottlenecks intelligently so that the beneficiary/client would not be able to submit his claim easily, c) frivolous lawsuits, and d) manipulating financial instruments, viz., a cheque, a loan guarantee, a bank guarantee, or a letter of credit, for self-interest. However, these heinous activities posed a substantial amount of risk to the business. Senior managers, who play an important role in shaping corporate policies and have permitted unethical practices, seldom earned bad reputations for incentivising corrupt strategies. In the long run, these actions could have a detrimental effect on the credit rating of their companies. Cultural assimilation is the process of creating a social milieu in which a wicked culture is completely assimilated into a salutary culture.
Policy researchers seldom select models with unrealistic assumptions, an obsolete model, or a model founded on populist ideology. For example, the dividend discount model for stock valuation would perhaps be the right model for efficient markets, however, deemed “wrong” for pandemic-stricken financial markets (for details, see Majumder, 2021 ). Model misspecifications can even be discovered in tail risk models. Anomalies may be due to the following reasons. a) It may happen that the risk manager was not able to speculate on the risk appetite of his financial firm accurately because the submission timeline of his report was tied to the requirements of disaster management. Henceforth, the tradeoff between model performance and a tight timeline has been balanced by employing a naïve estimator, quick forecasts, or non-algorithmic tools (heuristics) to simplify the framework. b) The model assumes that black swan events are extreme observations from the loss distribution. Nevertheless, extreme events, those that occur once or twice in a hundred years or even more, are hardly frivolous in attributing observations from a loss distribution different from the original one, having uncommon empirical features, e.g., jumps, a high level of skewness/kurtosis, etc. The distributional pattern of the stock market data was metamorphosed post-February 2020, which was verified by statistical techniques, viz., the Hurst exponent as employed by Choi (2021) , the coefficient of variation (CV) based on VaR forecasts as employed in Majumder (2023) , and Q-Q plots as stated in the debate referred to in Section 2, although the aforesaid econometric analyses did not have a concrete base due to the smaller sample size and erratic financial market data. c) Estimating the threshold and the risk tolerance level associated with the VaR/ES from the sample using a methodology, where simulation is required to be used, could be a source of additional model risk. Simulations, simple or complex, found in statistics textbooks, commonly use Gaussian/Uniform random numbers or pseudo-random numbers generated by some complex algorithms, to be solved by the computer, which could lead to non-robust estimates, particularly in the case of a non-Gaussian heavy-tailed probability distribution (Majumder, 2023) . It is deemed reasonable that the shape of the loss distribution constructed could be transfigured with a relatively smoothened shape, which, however, is inappropriate to capture uncommon empirical features in the tail part. The formulation of the tail risk model in this paper would help in reducing the ‘bias’ evolved from a conjoint stream of policies, viz., i) onerous post-February 2020 regulations, ii) regulatory compliance tied to the requirements of submission within a short timeline, and iii) the selection of a risk model that did not have a good fit, specifically at higher quantiles.
Our research is motivated by the well-known postulate of the black swan that demonstrates severe limitations to our learning from observations or experience. Unlike existing economic models that rely exclusively upon historical data, experimental data, or qualitative data, individually or in combination, this paper suggests: while managing tail risk, it is necessary to give importance to the fact that one or two data points belonging to the furthest end of the tail could be omitted during the process of generating data artificially.
Acknowledgements
The author is grateful to Prof. Raghuram Rajan, Katherine Dusar Miller Distinguished Professor of Finance at University of Chicago Booth School of Business and former Governor of Reserve bank of India for his insightful comments. He is also thankful to Prof. Romar Correa, former Director, University of Mumbai, and Prof. Kalyan Das, Associate Professor in Economics, A.C. College of Commerce, Jalpaiguri, West Bengal for their valuable comments and discussions. In addition, he wishes to thank Dr. Chitro Majumdar, Managing Director, R-square RiskLab for inspiration.
Appendix
A Short Transcript of the Select Portion of the Debate Referred to in Section 2
12The name is not disclosed.
Economist X made an effort to illuminate problems in post-February 2020 policymaking, “I am surprised when central banks of many developing countries explored unorthodox roots in monetary policy, however, the time gap between two consecutive major policy actions was less than one and a half months. It is similar to think that the time gap between a heavy breakfast and a heavy dinner was less than eight hours, although a workable nutritious meal had been taken at the lunch, dysentery occurred. A student in the master’s in economics class had questioned, ‘Madam, why don’t central bank policymakers give adequate time to transmit the change in the value of the monetary policy instrument made by them to affect real output and inflation?’. I personally do not find merit in recent actions by policymakers of the central bank. However, I was diplomatic when I answered his question, ‘Theories of the transmission process continue to be framed, and the effects may crisscross or dissipate. In the dynamics of long, variable, and uncertain time lags in the transmission process, it is critical to differentiate between policy programmes and policy actions, and it is also critical to speculate precisely how far the selected lag length for monetary policy decisions to impact output growth or inflation is consistent with the true transmission lag. We have frequently observed that a policy measure taken today is countered by the opposite position tomorrow, even before the impact of the former gets shaped. It is also a fact that policymakers in emerging market economies post-September 2020 were frantic to bring the economy back to the pre-pandemic growth trajectory’. Frequently, too many techniques for optimisation and algorithms for forecasting available in scientific computing packages could confuse present-day policymakers in choosing the best among many. Since 2012, their interest was centred on nowcasting methods, which are simplified, by and large generate correct results and help in quick policyimplementation on a deadline. An anti-regulatory lobby group in India purposefully described policies implemented based on nowcasting methods as ‘politicalised implementation’. I asked one of my friends12, who was a 70-year-old opposition leader trying to get more seats in the next election, ‘Sir, you are above 70 and now you are also infected by the deadly disease; how do you serve the nation?’. He replied, ‘You are right, Professor, I am not only infected but also having severe stomach infections. At this moment, it is not possible for me to serve the nation, and I need special treatment from doctors. However, I promised while taking oath as a chief minister eight years ago that I would serve the nation, and this promise is my “sakti”. When I serve for others, I feel the same zeal as it was on the day of oath, and more importantly, Sir, after recovery, I have to attend two important summits to be held abroad in the next six months’. I felt he was sufficiently weak at this moment, but salute his zeal”.
Economist Y explicitly refuted, “I am incapable to appreciate the use of the term, ‘politicalised implementation’, by Economist X because the nowcasts are generally cross verified with the model-based forecasts”. Nowcasting models, as demystified by him, exploit data/information that are published early and at higher frequencies than the target variable in order to obtain an early estimate before the release of official economic projections (see Bańbura et al., 2013 ). For example, in nowcasting GDP, ‘hard’ data, such as industrial production, is often combined with ‘soft’ data obtained from primary surveys in the line of getting sound and reliable projections. Because in liberal democracies in India, the UK, Brazil, Russia, the USA, and many others after the global financial crisis (2007-10), policymakers were more concerned about macroeconomic stability, legitimate requirements of the number of meetings for framing monetary policy had been increased significantly. Present-day policymakers rely more on nowcasting techniques compared to their previous generation counterparts for economic projections.
Economist X argued that the reality is pivoted on a contrasting assessment stating that there have been a significant number of cases post-February 2020 where cross verifications of nowcasts were not done due to a strict timeline for reporting. She went on providing more exposition in her monologue. In some liberal democracies, she emphasised, where non-compliance had long been substantial, regulatory guidelines for banks/NBFIs were made onerous, unexpectedly post-February 2020, by the banking regulator. The regulator was uncompromising in issuing show-cause orders, imposing heavy monetary penalties, or even cancelling the registration of any regulated entity in the case of breach of any provisions/ or contravention of certain directions. Unfortunately, in spite of many good deeds, leaders had earned bad reputations due to their affinity bias. Implicit rivalry and a noncooperative attitude towards the outgroup were intensified, even in the process of sanctioning emergency relief/aids/fiscal support/loan-waiver-like plan as a part of post-February 2020 disaster management. In-group favouritism had even been found through innovative methods, for example, by using statements that obfuscated the main issue in bureaucratic communications. Opaque communications in office noting/gazettes/circulars were difficult to understand and interpret by the illiterate or semiliterate CEOs/directors/heads of small companies/cooperative banks/NBFIs who belonged to the anti-regulatory lobby group. Sometimes it was difficult to overcome technical glitches made deliberately. Trade credit, as accentuated by Economist X, a business-to-business (B2B) agreement entered upon to facilitate a customer purchasing goods or services without paying cash up front, is widely used by public sector enterprises in liberal democracies as a source of short-term financing. In the aftermath of the global financial recession (2007-09), unfortunately, non-payment of dues within the discount period to the ‘good’ suppliers or service providers by government or public sector companies and simultaneously imposing stringent regulatory measures by policymakers/regulators introduced fragility into the sector. Creating some sort of uncanny bottleneck purposefully in the legitimate payment procedure has frequently been fatal to the economy. Human civilisation was shaped by informal agreements as well as formal contracts, micro- and macro-economic policies, and, at the same time, impacted by some unexpected shifts in policy. The undesired event with dire consequences generates a high order of financial stress, and, more surprisingly, amid abnormal circumstances, deceitful practices, e.g., breach of financial contracts, exploitation of the law, etc., tend to become customary. This leads to the corrosion of the moral values of the citizen, and causes fall of a nation due to an economic collapse (Schluter, 1994; Hausmann, 2014) .
In India, as argued by Economist X, the provision coverage ratio (PCR), the ratio of provisioning to gross non-performing assets (NPAs), of banks was reported to have markedly improved from October 2019 to November 2019. She, by referring to a statement by Dinesh Kumar Khara, a renowned market researcher and newspaper columnist, that says, “The banking system is now strong enough to face the economic challenges of the ecosystem. The banks will be in a position to support the growth in the economy to a greater extent”, unfolded the fact that the major reduction in NPAs reported in The Economic Times and other financial dailies was a misinterpretation (see The Economic Times, 2019). The statement, she argued, which aptly epitomised the incident of significant reductions in NPAs and marked improvements in the financial health of Indian banks, was wrong in the direction that the improvement in the ratio has been the outcome of the capital infusion by government during the period or earlier. The cooperative banks lobby, however, accused government for infusing capital into the sector in a subliminal manner. Inflation expectation surveys in developing countries, she asserted, were frequently conducted among respondents who were mostly middle to lower class in socio-economic strata and functionally illiterate in the stream of economics, namely, the commodity and asset price inflation and their supply and demand side factors. They were often found to be strongly influenced by village power elites and also affected by post-recession financial misfortune. It cannot be denied that the acquiescent response is the undesirable response. It is also undeniable that policy researchers seldom select models with unrealistic assumptions, an obsolete model, or a model founded on populist ideology. For example, the dividend discount model for stock valuation used in many liberal democracies, including India, would perhaps be the right model for efficient markets, however, deemed “wrong” for pandemic-stricken financial markets (see Bulletin, Reserve Bank of India, 2020b ). Economics has quite an extensive role in a multitude of contexts, particularly in the distribution and the redistribution of wealth. Marshall’s description of economics was, “An engine for the discovery of concrete truth” (Marshall, 1890) . Friedman had endorsed the above description and emphasised that the study of economics was not solely a ‘Mathematical Game’, but rather should empower individuals to comprehend how the real world operates. Different objectives, however, may lead to different treatments of the subject. Unfortunately, if the economist’s intension is to popularise a specific type of model/econometric technique at the wrong time, economics will generate negative utility instead of securing social welfare. Economist X expounded that sometimes two high-powered regulatory bodies/policymakers had a tussle over the modalities of or time for implementing a policy. For example, the clash between the Governor of the Reserve Bank of India (RBI) and a bench of three judges constituted in the Supreme Court of India for re-examining the policies related to virtual currency trading in India. The restrictions imposed by the RBI on virtual currency trading were set aside by the Supreme Court bench on March 4, 2020 on grounds of disproportionality. The policy adopted by RBI on April 6, 2018 was disproportionate due to the fact that virtual currencies were not prohibited in the country. On the other end of the spectrum, the RBI Governor argued that lifting the ban on cryptocurrency trading in a recessionary phase of the economy was an imprudent decision because of the following reasons: 1) cryptocurrencies are not legal tender in any jurisdiction and are unregulated digital currencies and therefore there are fair possibilities that trading of cryptocurrencies would promote illegal activities, such as money laundering, bizarre banned witchcraft games, etc., 2) treading of cryptocurrency will lead to a further rise of FOREX volatility in a turbulent situation of markets, 3) the risk of unforeseen events will be escalated because there is a possibility that grey market (or dark market) for exchanging such currencies could be developed, and 4) the overall risk of the banking sector will increase. The event was described in the financial newspapers on March 5, 2020 in India as a ‘policy paradox’. Bizarrely, a survey based on newspaper articles during April-June 2020 conducted by students of political economy at the University of Calcutta revealed the fact that non-cooperative attitude or implicit rivalry between two leading policymaking bodies of India, the RBI and the Supreme Court, with respect to implementation of other policies connected with the external sector was observed. Competitions and conflicts were often fatal to the economy.
Economist Y expressed unwillingness to subscribe to the school of thought holding that government and the central bank were predominantly responsible for the great lockdown of 2020 and the abysmal economic recession that followed. Macroeconomic modeling has been a challenging task, even for the most proficient modeler. Theorizing economic ideas in an effective way would essentially depend on how good the underlying economic variables, considering factors like data quality, political regime, historical antecedents, socio-geo-political characteristics, regime switch, etc., can explain the recurring relationship among those variables. Besides this, the modeler creates his own subjective reality from his perception and value judgment. Nonetheless, notwithstanding that society’s utility is the sum of all economic agents’ utilities, individual’s utility and the social planner’s utility are commonly not collinear. Agreements or contracts among two or more economic agents have had been the basis of providing a congenial working environment, which were the set of rules/terms/responsibilities to carry out activities/business smoothly, and when the same is legally enforceable, a legally binding document delineating the terms, viz., the rights and the obligations, is maintained, the same is referred to as a ‘contract’. The general rules of a contract stipulate that parties involved are bound by the terms of the contract, and, in the case of a breach, the party breaching the contract has to compensate other parties for damages caused. If the contract could not have been executed because of an unforeseen extreme event beyond the control of both the parties/“Act of God”, courts of the common law would not be applicable to such cases. This was explained in the famous Surrey music hall case which was also known as the judgement of Taylor v Caldwell (1863) . Caidwell (the defendant) had entered into a contract with Taylor (the plaintiff) on June 1861, by which he agreed to let Tailor to have the use of ‘The Surrey Gardens and Music Hall’ for four days for the purpose of organising four grand concerts. After making the agreement, and before the date of the event, the music hall was burned in a deadly fire. The burning of the hall rendered the contractual obligation impossible to fulfil and the contract was automatically frustrated because of the occurrence of a rare event. The destruction of the music hall was the fault of neither party. Since, there was no clause within the contract that allocated risks due to incalculable probabilities, the law of “common law impossibility” or “Act of God” was applied and both parties were freed from obligation. The same would perhaps be inapplicable for contracts/agreements/MOUs found implausible due to many odd hindrances that evolved as tiny obstacles, albeit plenty in number, during the great lockdown. However, many contracts/agreements/MOUs were rendered null and void post-March 25, 2020, and the economy had entered a deep recession.
With the increase in complexity of insurance markets, insurance policies introduced post-2012 have been hybrid in nature, combining accident- or health- or life-insurance with investments. The hybrid benefits of these policies made it hard for buyers to understand about their payouts, premiums, claims ratio, loss reserve, etc. Economist Y expressed that he was motivated by a famous saying, widely attributed to Albert Einstein: “Everything must be made as simple as possible, but not one bit simpler”. The idea it expresses might be the right expression and is relevant to address the problems of the insurance firm keen on promoting hybrid financial products. An insurance agent in B.B.D. Bagh, Kolkata, was trying to cajole a senior woman by saying that insurance products are always considered to be a safe haven for investment in an uncertain time. The agent was educating the prospective client about features and benefits of the hybrid insurance policy, however, he had restrained himself from educating, perhaps due to self-interest that could be related to a lopsided commission-plan by the insurance company across instruments, about the term Insurance plan, the primitive insurance policy of the insurance company. This discriminative marketing strategy induces a discrepancy in the sales, product-wise, due to the reason that the same might not be driven by forces of supply and demand. In the case of the misfortunate event, during the period of economic downturn, when the financial health of insurance companies was not sound, it rendered to have been extremely difficult to secure accidental benefits for a widow, who was a legitimate insuree in our case, enclosing required and certified documents within the timeline. Requirements of documents, for example, a death certificate, photos of the accident spot, a police verification report, a postmortem report if her spouse was not infected by COVID-19 and other deadly diseases, the address proof, the identity proof, etc., authorised by a government bureaucrat serving as a notary public, have grown over time and made it difficult for the insuree to submit the claim. As a part of the process, the insurance firm has the right to suggest certification of all necessary documents, and upload the same on the company’s website in a smaller-sized PDF. Unfortunately, the widow got thwarted by bottlenecks, namely, upload requirements with a file size limit, unclear hCAPTHA, unclear reCAPTCHA, etc., which were perhaps introduced to enhance security in the online submission system. It was extremely difficult to guess if the technology was made to provide better protections for customers or if the company had made it complicated to read by an aged person deliberately. A partial breach of the insurance contract by the insurance firm was witnessed in the line of intelligently designing seemingly justified a number of odd bottlenecks under the knowledge that the policyholder will eventually be laid off when she would find it implausible to meet requirements imposed. The unscrupulous insurance firm was liable to face legal action, but proving the exploitation was a challenge.
The breach of a contract could be in a way that the agent repeatedly tries for self-interest to convince a customer to purchase an insurance policy or a security or a credit card or take a pre-approved loan, and the customer gets convinced to do the same. Economist Y brought out evidence that in 2012, in a populated locality in south Mumbai, a sizable number of investors were convinced by sales executives to purchase an ICICI Wealth Builder-II plan, a newly launched hybrid financial product that combines insurance with investments and was expected to dominate the Public Provident Fund (PPF) and other comparable financial products and also offer tax savings benefits. Paradoxically, the reality was far from what the sales executive demonstrated, and it turned out that the performance of the ICICI Wealth Builder-II was extremely poor over the next seven consecutive years. In this case, the process of entering into a contract can be thought of as a game among three interested players: Player 1 was the customer, who was myself in the present game. Player 2 was the banker, and Player 3 was the sales executive, who had been working for the bank as a third party and intermediated between the bank and customers. In this game, Player 3 would maximise his utility when he earns a maximal commission. Unfortunately, he did the same even by means of an unethical root, namely by manipulating information. He was able to manipulate Player 1 with the help of some charts. Paradoxically, all these charts pertained to the best-performing fund in the sector and were not related to the fund that Player 1 was willing to invest in. Player 2 (the bank) induced moral hazard by offering third-party agents (sales executives) lucrative benefits, including a platform for business promotion inside their branch. Regulations by the central bank and government prevent bankers from switching funds freely from their commercial banking halve to the mutual fund or trading halve and the insurance business halve. However, cleaver bankers are using informal roots to do so. The event can be described as a moral hazard by player 2 and a hidden breach of contract by player 3.
A breach of contract could even be more serious than the previous one when a party willingly uses financial instruments, e.g., cheque, loan guarantee, bank guarantee, letter of credit, etc., for self-interest and exploits the other parties by repeatedly dishonouring those instruments and inviting them for negotiations. The art of bad faith negotiation, as defined in Holsti (1962) , where a party appears to be negotiating but secretly has no intention to compromise, was devised in certain sectors of liberal democracies. Homebuyers in those countries are typically in the middle class in the socio-economic strata, whereas sellers (or builders) of homes have been quite affluent. A case study was presented by economist Y that addressed issues in home seller-buyer contracts in liberal democracies. A reputed builder, M/s Jaycee Homes Ltd., in the western suburb of Mumbai had taken advance booking amount of 30% to 50% of the total cost of the flat from buyers in a pre-launched residential project at Mira Road, Mumbai in 2018 and the project could not have been accomplished due to a cash crunch in the company. In compensation, the builder had given post-dated cheques to buyers that bounced when deposited in the bank. The cleaver builder had previously instructed his banker to stop payment. Subsequently, he invited buyers for negotiations. By citing the economic slowdown, he demonstrated that his business had suffered losses in the preceding six quarters. He was able to manipulate buyers by demonstrating that legal proceedings have always been a long drawn out process and that the lawyer’s fees have been hefty during the lockdown. To avoid all these nagging issues, should the buyer accept a new post-dated cheque which would be a win-win for both parties? Buyers ultimately accepted his proposal. Uncustomarily, a day prior to the date of the cheque, an important phone call was received by the recipient from the drawer’s office, expressing difficulties that had evolved due to the lockdown announced by the state government. The builder once again invited buyers to negotiate. He demonstrated that his company’s position was bad due to the unforeseen extreme event, which was a rare economic disaster. Further, it was an “Act of God” beyond the control of both parties. Therefore, a plot in Hyderabad could be a fairly attractive alternative to a new post-dated cheque, if the buyer accepts the same. The strange fact was that the value of the plot was only 30% of the value of the cheque and also the plot was located in an unpopular area. The builder followed a crooked line in negotiations that imposed aggressive conditions, leaving the buyer with no choice but to agree or walk away. Alternatively, of course, the buyer had to get into a legal battle. In that case, the cleaver builder could say, “The contract was made pre-March 25, 2020, and now the agreed-upon terms and conditions are implausible due to the disaster after that date. The great event that occurred was beyond the control of both parties”.
Economist Y emphasised that leaders, top-notch bureaucrats, and corporate CEOs are frequently observed to be older people (age above 50), and few among them are very old (age above 70), and some are more veteran. However, people of different age groups living in the same neighborhood have prominent diversity in nature, e.g., sense of community, social cohesion, activity patterns, attitudes and lifestyles, behaviors and identity, etc. (Stolle & Harrell, 2013; Wise & Noble, 2016). Sometimes, cognitive factors have given them a timorous image, those that were perils to economic stability especially during a crisis. Seniors, in their different roles, were frequently observed anxious about the health of self/dependants/subordinates/citizens. If the elderly man was the head of the family, he was concerned about his family members’ health. If he was a director of a government-owned institution or the head of the department (HOD) of a public sector enterprise or the CEO of a company, he was worried about the health of his fellow staffers/subordinates. If he happened to be a leader, he fretted over the health conditions of his subjects/citizens. Some renowned physiologists were of the view that worry is an addiction, similar to dependence on nicotine, alcohol, cocaine, etc., and causes loss of consciousness (Fox et al., 2013) . According to Wikipedia, some other prominent old age characteristics are forgetfulness, loss of memory, behavioral sluggishness, etc. In some English novels/proses, these characteristics were depicted as virtuous, and somewhere they were described as negative traits of a human. For example, Robert Lynd, a renowned English author wrote, “But a man who is like a remembering machine is never a wise man”. He argued, “Forgetfulness is a virtue because it shows that the absent-minded man is getting the most in life, and has no time for ordinary things to remember”. He also added, “The present-day statesmen do not have the genius of memory and of intellect combined”. Nonetheless, policies frequently result from the contribution of the old mindset. During the prolonged lockdown, all policies announced were witnessed to focus on combating diseases and eliminating the effects of deadly viruses. For example, The Economic Times (2020) and Mint (2020) reported that “the three-week nationwide lockdown would have been the only way to break the COVID-19 cycle” and “the Reserve Bank of India (RBI) is perhaps the only central bank in the world to have set up a special quarantine facility with its officers, staff, and service providers, numbering about 200, for critical operations to ensure business continuity in banking and financial market operations and payment systems” respectably. Plenipotentiaries’ consensus bias was evident in their disaster management strategies employed to achieve impeccability, ensuring that citizens of their democracy or employees in their apex institution remained unaffected by the scourge.
Economist X elaborated that with the debilitating consequences of the coronavirus spread, some developments emerged that rapidly became serious: 1) some countries imposed stringent export restrictions on pharmaceutical ingredients and drug formulations for meeting the sudden jump in domestic demand, 2) senior leaders, top-notch bureaucrats and corporate CEOs were concerned with quick macroeconomic policy implementation on a deadline (The Economic Times, 2021; Business Standard, 2020) . Deadlines had been tied to the requirements of the disaster management and were stricter than the usual, and therefore, no research paper, no parallel run, no backtesting, no scenario generation, no stress testing, no case study analysis was possible to be done, and 3) costs that could not have been foreseen at the beginning, e.g., exploration costs during lockdown, costs of health vulnerabilities, the expenses associated with resolving conflicts and frivolous lawsuits, maintenance costs of machinery/electronic and electrical equipment during lockdown, the expenses associated with securitization in case the third-party agent was more interested in maximising his fee income, etc., escalated to unmanageable levels and resulted in enormous deficits. Recommendations of the International Monetary Fund (IMF) towards managing the disaster risk were: a) monetary and fiscal authorities should jointly fight to combat the unprecedented crisis, b) flexible regulatory measures to cope with emergencies and lifting trade restrictions for certain products, e.g., medical supplies and medical goods, and c) requirements of cost-benefit analysis before implementing a policy (Gopinath, 2020a & 2020b) . On the other end of the spectrum, young management graduates, who were MCQ brilliant, could answer most of the questions correctly in the stipulated time in an examination, got selected in the entrance exam for bank recruitment or were eligible for promotion in a banking firm. The same was not a problem yet. The problem began during the prolonged lockdown when we found that careerist young bankers were inordinately after the profit and customers registered several grievances indicating that greedy bankers turned into unethical profit seekers. The grievance redressal system was flooded with too many grievances. Economic stress, uncertain markets, misinformation/disinformation/fake news about prices, and increasing risks in international investments frequently led young greedy bankers to tilt in favour of corruption. For ethical seniors, it was hard to distinguish between corrupt and honest functionaries. If the morally bankrupt young bankers become a part of the top management/board of directors, corruption increases and also non-performing loans soar to heights beyond any control, resulting ultimately in bank failure with a commensurate cascading impact on symbiotic financial entities. Therefore, age-specific cognitive bias, e.g., fear of the senior public sector bank employees of 55 years and above and greed of their next-generation counterparts, induced inefficiency in the workplace and fragility in the economy at large. In the public sector, it was more difficult for the boss to punish an established underperformer by the way of reducing salary or removing the staff from employment during lockdown. Further, it was equally difficult to prevent young corrupt bankers from being a part of the top management of the bank or the central bank. Competitions among senior positioned bankers caused rivalry which could create reputational risks for the banking firm. I can cite an instance where bad reputations were earned by a leading banker. The founder-CEO of Yes Bank, Mr. Rana Kapoor, who was the winner of many prestigious banker awards, had a serious tussle with senior-positioned officials and directors in the banking regulatory body. Notwithstanding the fact that EBITDA was Rs. 2,82,520 million, reported PAT was Rs. 17,200 million as of March-end 2019, and the bank had distributed high dividends during 2015-2019, a moratorium and short-term suspension of the bank’s board were declared during the great lockdown.
Profit seekers, who were referred to as “young greedy bankers” earlier in Economist X’s speech, as explained by Economist Y, were third-party agencies employed by the banker to facilitate banking services. Economist Y continued exemplifying: the young contractual employees of those organisations frequently exercised unfair practices such as making unsolicited commercial calls, spamdexing, and promoting financial products of banks by unfair means. Sometimes, during lockdown of 2020-21, it was observed that a company had maintained an address with the ministry’s website as well as on the hoarding signboard and was doing online business. However, mysteriously, another person from some other company had occupied the place and was telling the customers of the pre-existing company, “My office has replaced his office”. It was opaque if the CEO was giving rent/money to the third party for maintaining the hoarding signboard and the address with the ministry or, otherwise, the hoarding signboard/address was kept as it was before out of reluctance. Generally, people do not go for legal proceedings unless no conflict/dispute arises and the company was making money unlawfully utilising the address of the third party. In the case of any legal notice, the CEO would consider the same as a signal of future legal proceedings. On such a rare occasion, the same company would change the address maintained with the ministry and the hoarding signboard in no time. This is a minor violation of the buyer-seller contract because the company was unlawfully utilizing an address of the third party. Occasionally, parties signed a contract or a Memorandum of Understanding (MOU) were unwise about the economic implications of the agreement. In those circumstances, manipulating highly sophisticated statistical techniques/programming techniques/Artificial Intelligence (AI) techniques in an economic model for a policy background paper, published either in an in-house journal or kept unpublished as a proprietary belonging to the principal, carried a substantial amount of risk of model misspecification, which would have long-run negative impacts on the domestic economy or adverse spillover effects on other economies, or both. Prof. Chakraborty of the Indian Institute of Management, Kolkata, shared her experiences interviewing a business leader13. She asked him, “Sir, you have obtained one-day stock price forecasts using a hybrid model with a jump-diffusion process along with expected shortfall (ES) as the measure of risk in place of ‘beta’ in your CAPM-type pricing equation, which was submitted by your consulting firm to your client recently. But do you have any reference papers on this hybrid model?”. He replied, “Madam, we work for the client. Research on theoretical consistency requires a long period of time to complete and is not worthwhile in a competitive environment”.
13The name is not disclosed.
Since March 2020, as narrated by Economist X, the work environment has changed from in-person gatherings to a virtual platform. A virtual platform eliminates the need to travel, but the flip side could be the ‘technical glitches’ that are difficult to verify if genuine or deliberately made. There have been technical issues during virtual meetings/conferences, which could be an innovative, unlawful weapon for conspired businessmen (The Economist, 2019; The Times of India, 2020). By coincidence, it happened to me to listen to a broker, Mr. Sharekhan, who had a small broking firm in the southern suburbs of Kolkata, instructing his fellow staffers, “Payments should work with any QR code or UPI code or VPN and do marketing with ‘Kublaence’. This ‘Kublaence’ has the ability to copy the entire google database”. Mr. Sharekhan further added, “If a client asks about his large capital loss, your possible answer should be, ‘Mutual fund investments are subject to market risk and the investor who cannot bear the risks, he or she should invest only in government bonds’”. Unfortunately, it is extremely difficult to understand for a senior economist how the payment could be made with any QR code or UPI code or VPN and also I couldn’t understand, “What was ‘Kublaence’?”. I guess it could be software/package invented by the team of researchers employed by Mr. Sharekhan. However, in that case, the expected loss from investing in a mutual fund was perhaps not because of market risk. If so, then how was Mr. Sharekhan so confident about the future capital loss before the misfortune event happened and also gave training to his fellow staffers on what they should say in the case of a massive loss in his client’s investments? I was feeling frustrated with my knowledge of orthodox economic theory. With the recent advancements in information technology, for instance, big data analytics and statistical packages that have massive computational power, some changes in economic theory done by market researchers were based on weird pseudoscientific theories in economics, and, unfortunately, conspired Share Khan did extensive research on the intoxicants of economic theory.
On some occasions, it has been observed that a company was acquired by another company in an all-cash deal. However, the question is, “Why the high-valued deal was an all-cash deal?”. For example, M/s Reliance Brands had acquired the iconic toy maker, M/s Hamleys, in June 2019 in all-cash deals. Illegal activities had been legalised by various means namely unlawful complaints related to health/sexual harassment which were not possible or difficult to verify. Frequently, it was discovered that the board of directors was formed not through fair means. During the process of formation of the board various undesirable events were reported, e.g., “hiding of information”, “spreading rumor through social networking sites/newspapers”, “unlawful complaints related to heath/sexual harassment”, “frivolous lawsuits”, “technical glitches”, etc., which were difficult to verify, if genuine or deliberately made. Sometimes it was found that unethical business leaders reduced product prices by means of offer/lottery with the objective of amplify the consumer base. However, the deficiency in the income due to reduction of product prices was makeup by unethical means like piracy, phishing, hacking etc. These conspired acts may attract severe punishment. Entrepreneurs manipulated innovative ways to generate off-balance sheet earnings, for example, sending paid small bills repeatedly to customers with the conspired expectation of that if the customer does not preserve old documents and pay the small outstanding perfunctorily. Sometimes it was observed that if levy charges, e.g., financial charges and late payment charges, were imposed in a month, the same is being continued in the electronically generated credit card statements month after month unless the customer proactively fixes issues. For example, the Standard Chartered Bank, had 100 branches operating in India in 2018, seldom forwarded erroneous credit card statements to its customers and was reluctant to rectify errors (see Majumder, 2021 ). Running banking business in India was not profitable for private and foreign banks post-2016 due to the following reasons: a) fierce competition in the sector, particularly after the decision by the RBI in 2016 of creating specialised segment of banking, viz., small finance banks and payment banks, with an aim towards promoting more vibrant banking sector, b) the regulatory compliance directives were made more onerous, and the regulator was uncompromising in taking punitive actions, including heavy monetary penalties and even cancelling the registration for non-compliance or contravention of certain directions, and c) FOREX volatility. Sometimes legal notices were sent to clients for small disputed outstanding with the aim of that if the same would be preferred to pay to avoid legal conflicts. Notwithstanding the fact that these activities were not conspired activities within the prevailing legislative system, they built up a roguish image in the minds of young employees regarding their elderly boss. This could be the reciprocal cause behind the proliferation of pernicious activities throughout the economy. The pandemic-triggered economic recession of 2020-21 can thus be Christianised as “a vicious cycle of worry, depression and unethical behavior”.
Political science theorists, as commented by Economist Y, are commonly fond of modeling unfair or unscrupulous socio-political issues and making games to manipulate one’s advantage, e.g., ‘blame game’, ‘bureaucratic game’, ‘political game’, ‘legal game’, etc. Nevertheless, three important issues emerged from her speech: a) over 50 is a common age range for leaders, corporate CEOs, and senior government officials, he added. They are not immune to negative traits or biases of their age, b) uncertainty is inherent in the manufacturing of COVID-19 vaccines. It had been unjust to sanction gigantic fund for vaccine research, and c) technology has experienced a regime switch over the past few years, and the orthodox economist who was hitherto skilled only in formulating mathematical models has now put on a cloak of heterodoxy by diversifying into assorted streams like health economics, data science and technology, legal economics, and intoxicants in economics as well. Supplementing the c), Economist Y exemplified that a survey on optimisation techniques available in the three popular computational packages, MATLAB, R, and Python, conducted by students in the Masters in Economics as a part of their yearly project, reported that 27 types of different algorithms are available, some of which are standardised, some of which are complex, having interlinked components, and some of which are purely experimental. All these techniques are not appropriate for fitting all types of econometric models to the data. For example, the grid search algorithm is an experimental method, which can secure predictive accuracy in analysing massive volume of noisy data, yet not a recommended technique for the Filtered Historical Simulation (FHS) model. Unfortunately, policy researchers were frequently tempted in selecting the advanced optimisation method, for example, the grid search method, in fitting economic models including the FHS model. Occasionally, technocrats were skilled in solving optimisation, however were unwise about the basics of complex economic models. For example, Figure A1 reports the methodology used in Roy (2011) . Unfortunately, the paper misinterpreted the basics of Barone-Adesi, Bourgoin and Giannopoulos-type FHS model in the line: i) FHS combines best of MCS and best of HS, and ii) samples are drawn with replacement from the residual series {η^t + 1 − τ; τ = 1, 2,…, m}, where η is the GARCH residuals (Figure A1). The low quality paper used superscript as “^” which is commonly used in programming languages and did not use bootstrapping (sampling with replacement) from the standardised residuals suggested in the basic FHS model.
14The Q-Q plot is available in the full transcript of the debate preserved in the library of the University of Calcutta. We have not included the Q-Q plot in this short transcript of the debate.
After March 2020, as Economist Y argued, there was a prominent regime switch in respect of the business model, management style and work environment. Q-Q plots14 based on two data sets, historical daily data before and after March 25, 2020, revealed that the distributional pattern of the stock market data got changed after this date. Unfortunately, policy directives post-October 2020 were frequently based on econometric analyses of sample data with an end date pre-March 2020 because of the fact that post-March 25, 2020 market data was erratic. It has been discovered that the historical dataset in the distant past was occasionally used in publications or policy background papers, making the quality of the policy research further low. Sometimes, fellow staffers were misguided by the actions of the senior boss and were wallowing around with expenditures of the wrong sort. The senior boss earned bad reputations for incentivizing extremely dull policies, peddling fundamentally flawed or low-quality research used for policymaking, or issuing opaque bureaucratic circulars. The moronic practices, however, had disruptive consequences on financial stability. The economic recession of 2020-21 may be named “Recession due to age-related cognitive bias”.
15The Book of Kings, a part of the Hebrew Bible, describes the Torah, or Law of Moses, in which Deuteronomy was considered supreme agency to set laws, and Levites, who perform subordinate services associated with public worship, were the guardians and interpreters of the law. In the early monarchical period, the king was responsible for the administration of justice, whereas Deuteronomy envisions the king as someone who does not seek to establish himself as the political or legal authority but rather listens to the words of God. It emphasises the legitimacy and rightful nature of the political authority.
At the end, Economist X asserted that there is no denying that the rare economic disaster triggered extraordinary circumstances attributed to non-cooperation, coronaphobia, workplace conflicts, violations of contractual terms and frivolous lawsuits, techno piracy, political satire, and several maladaptive coping strategies post-March 25, 2020, which were inconspicuous before the date. During the early-pandemic period, a sizable portion of the population, the oppressor group, frequently exhibited unexpected behavior, often fueled by alcoholism, filth, or ubiquitous money-making schemes during the lockdown. Their actions plausibly instilled fear among the oppressed segment of the community. Taking into account the defenselessness caused by the disaster of 2020-21 and unorthodox social policy measures by the leaders, it is worthwhile to re-evaluate the moral law, the social law, the terms of a contract, regulatory policies or the legal framework for the new digital economy, and the accounting principles of macro-economic aggregates and their consistency checking. The Deuteronomy-Levites political structure, as described in the Book of Kings15, was the progenitor of the modern electoral democracy that was morphed as a superior political system, perhaps after the French and American revolutions held in the 19th century, to the erstwhile anarchy and ‘mob rule’. Nonetheless, the rare economic disaster was unforeseen and unheard before February 2020 and the plenipotentiaries in liberal democracies were unwise about the variants of corona viruses, nature of infections borne by them and their preventives during the initial phase of the pandemic. However, they had directed citizens to strictly adhere the disease prevention guidelines issued by them. The guidelines were crafted with the belief that a good plan implemented today would be better than a perfect plan implemented tomorrow. The creed that was necessary for macroeconomic policymaking was to build resilience to disaster. It was believed that policies were well grounded, except on rare occasions. Finally, economist X expounded, “This is but a faint sketch of the incalculable disaster, the ‘Indecent Game’ by unethical profit seekers/fraudsters, and the ‘Insane Game’ by leaders/CEOs/directors amid disaster, and we yet to witness more atrocious triumphs of modern infidelity”. She added, “I caution junior faculties and students not to flout COVID-19 norms adopted by power elites. Under no circumstances, even though you feel depressed and frustrated because your spouse was adhering to COVID-19 norms of social distancing and stopped cooking, do not send a legal notice to a celebrity or your boss for any of his/her previous disgraceful statements. As long as you are honest and you articulate what you believe to be true, somebody somewhere will turn into your enemy, whether you like it or not, however, refrain from using foul language while confronting those evil people. A contextual reference to support this could be an excerpt from Shakespeare’s Much Ado about Nothing: ‘Foul words is but foul wind, and foul wind is but foul breath, and foul breath is noisome; therefore, I will depart unkissed’. Avoid posting or publishing derogatory comments, rumors, cartoons, or fabricated political news on social media sites/newspapers. All these uncivilised acts flourished post-March 25, 2020, evidence of which was an increase in court cases for defamation. These acts would potentially make you a COVID-19 intruder, and my warning to young adults is to prevent them from becoming social bandits. Further, do not become a greedy young banker or a profit seeker because short-term profits were earned through an ‘Evil Game’ that is perhaps adverse to your reputation and also the reputations of your prestigious institution”.
NOTES
1The word “black swan” was coined in the Roman poet Juvenal’s (55-127 AD) description of something being as rare as a “black swan” since all historical records for the colour of a swan till that time in Australia have been white. The contextual reference in Taleb (2007) is an invaluable resource for studying the impact of the highly improbable.
2The debate was organised by the University of Calcutta on March 31, 2021. A short transcript of the debate was published in Majumder (2021) . The full transcript is available in the library of the University of Calcutta.
3The name is not disclosed.
4Economist X was previously a Director at the Reserve Bank of India.
5The name is not disclosed.
6‘Tasher Ghor’ is an expression used by the renowned novelist and poet Rabindranath Tagore in a dance drama “Tasher Desh” written in 1933. The meaning of “Tasher Ghor” is “a house of cards”.
7The proportion is computed as a percentage of the days belongs to the class interval to total number of days.
8In this paper, the term ‘subjectivity’ was referred to as the definitional subjectivity, as defined in Section 4, and the term ‘non-subjective’ was used in that context only.
9DGP refers to the data generating process.
10The nodal agency for compiling CPI and GDP.
11The term ‘Mandela Effect’ was coined by internet researcher Fiona Broome. She described an experience where she had a false memory that activist and South African president Nelson Mandela died in prison during the 1980s. The truth is that Mandela died in 2013, after he was out of prison. Elderly people, as experimental evidence published in Bucciol et al. (2021) demonstrates, have commonly been overconfident. It was reported that interventions, viz., lectures on financial knowledge, strengthened their confidence without having a significant effect on knowledge. Seniors have potentially been overconfident about their false memories as well.