Preliminary Phenotypic and SNP-Based Molecular Characterization of Maize (Zea mays L.)-Mexicana (Zea mays SSP. Mexicana) Introgression Lines under Inbred Background of 48-2

Abstract

Wild relatives possess potential genetic diversity for maize (Zea mays L.) improvement. Characterization of maize-mexicana introgression lines (ILs) is of great value to diversify the genetic base and improve the maize germplasm. Four maize-mexicana IL generations, i.e. BC1, BC2, BC3, and RIL, were constructed under the elite inbred background of 48-2, elite inbred line that is widely used in maize breeding in Southwestern China, and were phenotyped in different years and genotyped with 56110 SNPs. The results indicated that 48-2 had higher phenotypic performances than all the characterized ILs on most of the agronomic traits. Compared with other ILs, BC2 individuals exhibited more similar performance to 48-2 on most traits and possessed the highest kernel ratio (66.5%). Population structure and principal component analysis indicated that BC3 individuals gathered closer to 48-2 and exhibited the lowest mexicana-introgression frequency (0.50%), while BC2 (29.06%) and RIL (18.52%) showed higher introgression frequency. The high level of genetic diversity observed in the maize-mexicana ILs demonstrated that Z. mays ssp. mexicana can serve as a potential source for the enrichment of maize germplasm.

Share and Cite:

Maazou, A. , Qiu, J. , Ai, L. , Arabzai, M. , Qian, M. , Gul, H. , Du, X. , Xing, F. , Yan, J. , Zhang, K. , Zhang, Z. , Ma, Q. , Huang, T. , Duan, H. , Xiao, Q. and Liu, Z. (2021) Preliminary Phenotypic and SNP-Based Molecular Characterization of Maize (Zea mays L.)-Mexicana (Zea mays SSP. Mexicana) Introgression Lines under Inbred Background of 48-2. American Journal of Plant Sciences, 12, 1073-1089. doi: 10.4236/ajps.2021.127075.

1. Introduction

Besides being one of the most important cereals worldwide, maize (Zeamays L.) is also known as a model in plant breeding and the studies of genetics, evolution, and domestication [1]. Maize was originally domesticated from teosinte (Z. mays ssp. parviglumis) about 9000 years ago, and its genetic diversity has been greatly reduced because of natural and artificial selections during the domestication and the following breeding and improvement processes [2]. To meet the challenges of increasing demands including faster yields increase, better edible and commercial quality, and improved resistance to biotic and abiotic stresses, maize breeders and researchers tend to extend crosses to the wild relatives to introduce novel and potential alleles and diversify the genetic base of elite breeding materials [3].

In rice and barley, many studies have demonstrated that wild species are useful gene reservoirs for germplasm improvement and candidate allele mining [4] [5]. In the case of maize, alien introgression has been accomplished for improvement of kernel composition, yield and yield-related traits [6] [7] [8] [9].

The wild relatives of maize have also long been recognized for their remarkable potential for resistance to biotic and abiotic stresses [10] [11] [12] [13]. Most of these valuable traits such as strong growth vigor, high protein content in the kernel and notable immune ability or resistance to multiple fungal diseases can be found in highland teosinte, including Zeamays ssp. mexicana(mexicana) [7]. In addition, the same chromosome number of mexicana and maize makes transferring useful genes from mexicana into elite inbred lines to create excellent breeding materials an easy to practice, interesting, and fruitful strategy to improve the quality and tolerance of maize. Introgressive hybridization is considered a successful method to transfer such genes to the chromosomes of maize with minimal amounts of accompanying foreign chromatin [14]. This type of gene transfer is now facilitated by high through-put single nucleotide polymorphism (SNP) markers available in maize [15]. Indeed, the use of SNPs is a powerful approach to analyze the genetic diversity among introgression lines and the distribution of alien alleles on maize chromosomes.

Systematic and integrated phenotypic and DNA-based molecular characterization can provide practical guidance for the selection and mining of potential individuals and alleles from the ILs [15] [16]. Up to now, comprehensive characterizations of maize-mexicana ILs were seldom documented. In the present study, a systematic phenotypic and intensive SNP-based fingerprinting of maize-mexicana ILs were performed to reveal the characteristics of these ILs, provide practical guidance for their application, and allele mining of these lines.

2. Material and Methods

2.1. Plant Materials and Field Trials

In the year 2009, we pollinated 48-2, an elite maize inbred line widely used in China, especially in southwestern regions, with the pollens from Zeamays ssp. mexicana (mexicana) and got the F1 generation. In the following years, we backcrossed some of the F1 individuals with pollens from 48-2 and self-pollinated the remaining F1 plants, and developed series of introgression lines (ILs), including F6 (hereafter recombinant inbred lines, RIL), BC1F5 (BC1), BC2F4 (BC2), and BC3F3 (BC3) (Figure 1). All ILs of these four generations carried different proportion of genomic compositions from mexicana under the inbred background of 48-2.

The ILs were grown in Beibei (29˚45'39"N, 106˚23'32"E, Chongqing, China) from 2017 to 2019 with randomized block design where lines were randomized within population and populations were randomized within replicates. Each block includes three rows with 4 m row length and 1m row spacing, respectively. The materials were all bunch-planted within each block (10 bunches per row) and fixed with 2 individuals each bunch, and the final plant density counted as 5 × 105 plants ha1. The experiments consisted of 83 lines, including 6 ILs from BC1, 9 from BC2, 19 from BC3, 49 from RIL, and the experimental control 48-2.

2.2. Phenotypic Data Collection and Statistical Analysis

The morphological traits of plant height (cm) and ear height (cm) were collected from five continuous individuals beginning from the 3rd plant of all individuals of each line. Ears were harvested at physiological maturity and naturally dried atabout 37˚C for ≥5 days as done by Liu et al. [8]. We then collected ear and kernel-related traits including ear length (cm), ear diameter (cm), cob diameter (cm), kernel row number, ear weight (g), cob weight (g), ear-kernel weight (g), 10-kernel length (cm), 10-kernel width (cm), 10-kernel thickness (cm), and 100-kernel weight (g). The kernel ratio (%) was calculated from ear weight and

Figure 1. Pedigree of introgression lines carrying genomic compositions from mexicana (Zeamays ssp.mexicana) under maize inbred background of 48-2.

cob weight (kernel ratio % = (Ear weight-Cob weight) × 100/Ear weight).

In order to reveal the overall phenotypic performances and statistical differences between background line 48-2 and all ILs, and 48-2 vs. all four introgression generations, i.e. BC1F5, BC2F4, BC3F3, and F6, we performed a descriptive statistics analysis, and pairwise t-test comparison analysis on the phenotypic data via R software (Version 3.3.2).

2.3. SNP Genotyping and Descriptive Analysis

42 most rooted ILs, 4 from BC1, 6 from BC2, 11 from BC3, and 21 from RIL, were selected for SNP-based molecular characterization. Leaf samples of 42 ILs and 48-2 were harvested for DNA extraction via CTAB procedure. For SNP genotyping, the Illumina MaizeSNP50 BeadChip containing 56,110 SNPs was used. Each SNP was re-checked manually to identify any errors in known homozygote and heterozygote genotypes [15]. A total of 38,751 (69.06%) SNPs showing less than 20% of missing data, less than 20% heterozygosity and minor allele frequency (MAF) greater than 5% was selected for further analysis [16].

2.4. Genetic Diversity and Population Structure

The prepared dataset was imported into Power Marker V3.25 for counting the no. of SNPs, and calculating the diversity parameters, including polymorphism information content (PIC), major allele frequency (MAF), gene diversity, and heterozygosity [17]. Population structure of these ILs was evaluated using the software STRUCTURE 2.2 [18]. A subset of 16,330 (29.10%) diverse SNPs was further screened from 38,751 SNPs according to a more stringent standard as done by Zhang et al. (missing rate <0.05, gene diversity >0.45) [16]. By running STRUCTURE 2.2, the number of subgroups (k) ranged from 1 to 10, and five runs with iterations and burn-in length set to 10,000 were performed. ΔK described by Evanno et al. was used to determine the optimal number of subgroups [19].

2.5. PCA and Alleles Detection

In addition, the same subset of SNPs used in STRUCTURE has been imported into Tassel 5 in order to conduct a principal component analysis (PCA) and visualize the genetic relationships between the ILs and the inbred 48-2 [20]. Finally, these 16,330 polymorphism SNPs were used to detect the alleles shared or unique between 48-2 and the ILs via the online tool of Venn (http://bioinformatics.psb.ugent.be/webtools/Venn/).

3. Results

3.1. Overall Performance of All Agronomic Traits

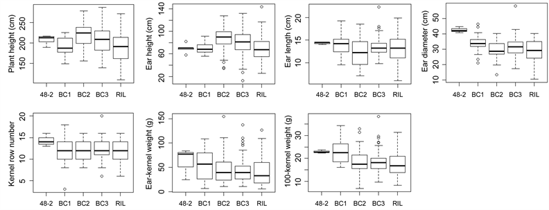
A wide range of phenotypic performance of all characterized traits was observed among all the IL generations (Figure2, FigureS1). Though the background line, 48-2, possessed relatively higher average performances on almost all the traits across

Figure 2. Agronomic performance of all characterized traits of 48-2 and all four IL generations in 2017.

three years, some ILs of different generations, exhibited the maximum performances on some of the traits (Figure 2). These results confirmed the phenomenon of linkage drag that wild relative introgression through pollination usually leads to negative phenotypic influences to agronomic traits. Besides, some individuals showing improved performances can also be screened out from the descendants of ILs. And among the ILs descendants from different generations including BC1, BC2, BC3, and RIL, ILs of BC1-BC3 exhibited relatively higher phenotypic performance on most of the traits during the years 2017 to 2019, while ILs of RIL presented a wider range on these traits.

3.2. Pairwise Comparisons of 48-2 and IL Generations

Pairwise T-test comparison procedure was used to reveal the differences between 48-2 and the IL generations for 14 traits (Table 1). For seven traits repeatedly characterized in the years 2017 to 2019, four IL generations, i.e. BC1, BC2, BC3, and RIL, possessed significantly lower plant height than background line of 48-2 in 2017 (P < 0.01), while only BC1 and RIL exhibited similar trends in 2019 (P < 0.05), BC2 exhibited increased plant height than that of 48-2 (P = 0.05), and no significant difference was observed between 48-2 and BC3 (P = 0.95) (Table 1). Similar trends were observed for ear height among pairwise comparisons between 48-2 and four IL generations. Extremely low ear heights were observed

Table 1. Pairwise T-test between 48-2 and the IL generations on 14 agronomic traits.

between 48-2 vs. BC1 to RIL (P < 0.01) in 2017, while BC2 and BC3 presented higher ear height than 48-2 (P < 0.05) in 2019, and non-significant differences were detected between 48-2 vs. BC1 (P = 0.89) and 48-2 vs. RIL (P = 0.81, Table 1).

For ear length and diameter, significant difference was observed on ear length between 48-2 vs. BC1 in 2017 (P = 0.01), while no statistical difference were detected on both ear length and diameter among the pairwises of 48-2 vs. BC2, BC3, and RIL in the same year. On the contrary, the P value for 48-2 vs. BC1 on ear length in 2018 is 0.33, while for 48-2 vs. other IL generations on both ear length and diameter were ≤ 0.01 (Table 1).

For kernel row number, the P value for 48-2 vs. BC1 to RIL were all less than 0.05 in 2017, while changing to 0.08 - 0.17 in 2018. In 2017, the ear-kernel weight of BC1 presented significantly lower than that of 48-2 (P < 0.00), while, non-significant differences were detected among pairs of 48-2 vs. BC1 in 2018, and 48-2 vs. BC2 to RIL in both 2017 and 2018 (Table 1). The average performance of 100-kernel weight of BC1 is similar to that of 48-2 (P > 0.05 in both 2017 and 2018), while the average performances of BC2 and RIL were significantly lower than that of 48-2 in both years (Table 1). The P value of 48-2 vs. BC3 on this trait was 0.07 in 2017, while changed to less than 0.01 in 2018 (Table 1).

For all those traits characterized in only 2017, though general decreased performance was observed, the statistical differences were only detected among 48-2 vs. BC1 to RIL on ear weight, 48-2 vs. BC2 on 10-kernel length, and 48-2 vs. BC2 and RIL on 10-kernel width (Table 1).

3.3. SNP-Based Characteristics and Germplasm Diversity

A subset of 38,751 (69.06%) high-quality SNPs was selected for calculation of summary statistics. Averages of all SNPs per chromosome for major allele frequency (MAF), heterozygosity, gene diversity (GD), polymorphic information content (PIC), and number of SNPs are summarized in Figure 3. A little variation among chromosomes has been observed on MAF, heterozygosity, GD, and PIC while the number of SNPs showed significant variation, from 2614 on chromosome (Chr) 10 to 6161 on Chr 1 (Figure 3). The level of MAF was very high with most SNPs and varies from 0.47 to 1.00. Most SNPs showed low levels of GD and PIC (2.90% showing GD > 0.45 and 5.80% showing PIC > 0.35). The allele number varies from 2.41 on Chr 9 to 2.51 on Chr 3. The maximum GD was observed on Chr 9 with 0.2122 while the minimum GD was on Chr 1 with 0.1761. The PIC varies from 0.1587 on Chr 1 to 0.1859 on Chr 9. Regarding heterozygosity, the maximum frequency was observed on Chr 6 with 6.6% while the minimum frequency was observed on Chr 2 with 3.8%.

3.4. Population Structure and Principal Component Analysis

Bayesian model-based clustering algorithm implemented in STRUCTURE was used to infer population structure of all tested ILs and it was run for the number of fixed subgroups k from 1 to 9. The ΔK value was calculated for each k. The analysis of ΔK line plot (Figure 4(a)) indicated that the optimal number of

Figure 3. Summary of the 38,751 SNPs used for genotyping the inbred line 48-2 and 43 maize introgression lines carrying genomic compositions from mexicana. Major allele frequency (MAF), heterozygosity, gene diversity (GD) and polymorphic information content (PIC) are averages of all SNPs per chromosome.

Figure 4. Population structure of maize inbred line 48-2, mexicana and introgression lines estimated from 16,330 SNPs. (a): ΔK calculated for K = 1 to K = 10 according to Evanno et al. (2005); (b): Bar plot of assignment proportions from STRUCTURE analysis at K = 2 for maize inbred line 48-2 (red) and 42 introgression lines with mixture genetic ancestry from 48-2 and mexicana; (c): Bar plot of assignment proportions from STRUCTURE analysis at K = 3 for maize inbred line 48-2 (red) and 42 introgression lines with mixture genetic ancestry from 48-2 and mexicana. Red in both (b) and (c) prefers to the genomic compositions from background line 48-2, while the other colors in both (b) and (c) refer to those from mexicana.

subgroups is two and three as there are peaks at these k values. When k = 2, structure analysis revealed 100% of membership of reference individuals 48-2 (Figure 4(b)). As expected, The ILs had a mixture of genetic ancestry from the inbred line 48-2 and mexicana (Figure 4(b)). The lowest frequency of introgression was observed on BC3 individuals with 0.50% of genetic ancestry from mexicana while BC2 and RIL individuals showed very high frequency of introgression with 29.06% and 18.52% genomic region donated by mexicana respectively (Figure 4(b)). Assignment at higher k value (k = 3) continued to indicate strong membership of reference individuals, low frequency of introgression on BC3 individuals and high frequency of introgression on BC2 and RIL (Figure 4(c)).

The result of the PCA showed clear separation of the ILs and good agreement with the result from Structure analysis (Figure 5). The first two principal components (PC1 and PC2) clearly indicated that individuals from BC3 generation were the closest to the inbred line 48-2 (Figure 5). The BC3 individuals were followed by individuals from BC1 which were relatively close to the inbred 48-2. RIL and BC2 individuals were dispersed far from the inbred 48-2 (Figure 5). PC1 and PC2 accounted respectively 12.4% and 6.8% of the genetic variation in

Figure 5. Principal component analysis plot based on 16,330 diverse SNPs for inbred 48-2 and 42 introgression linesderived from 48-2 × Mexicana.

this set of maize lines.

3.5. Allele Dissection

The subset of polymorphic SNPs used for structure and PCA has been used to extendedly compare the background 48-2 with the ILs. The number of shared alleles and unique alleles separately belonged to the ILs is presented in Figure 6.

Totally, 42,507 alleles were detected by 16,330 SNPs among 42 ILs and 48-2, among which, 45.71% (19,431 alleles) were only detected among 42 ILs, and no unique allele was detected within background line of 48-2, the rest 23,077 alleles (54.29%) were shared between 48-2 and ILs (Figure 6(a)). When we compared 48-2 and one of IL generation, the proportions of unique alleles detected was lowest (14.27%, 3842 alleles) within BC3, and highest within BC2 (38.44%, 14,411 alleles) and RIL (37.82%, 14,037 alleles), and the proportion of BC1 was moderate (26.57%, 8351 alleles) (Figure 6(b), Figure 6(c) and Figure 6(d)). The proportion of unique alleles ranged dramatically when 48-2 was compared with all of 4 generations simultaneously, from 0.14% within BC3 to 6.61% within RIL (Figure 6(f)).

Figure 6. Extended comparison of polymorphism SNPs between 48-2 and 42 introgression lines derived from 48-2 × mexicana.

4. Discussion

Genetic diversity serves as the important potential base for line screening and germplasm improvement in maize breeding. While the level of genetic diversity decreased significantly during domestication, as well as the several artificial and natural selections during breeding procedures, posing s serious threat to yield improvement of maize varieties [21] [22]. In order to widen the diversity level, and enrich the genetic variations of the potential parental lines in maize, breeders and scientists tried a lot to seek the way out, including introduction genetic variations from wild relatives of maize [9] [23]. Several studies have successfully introgressed mexicana germplasm into modern maize cultivars using successive backcrossing and self-pollination to expand the limited germplasm of maize [24] [25]. Recently, Liu et al. developed near-isogenic introgression lines (NILs) with greater allelic diversity than modern maize inbred lines from 10 teosinte accessions in the B73 background using backcrosses and self-pollination [23]. Here, our ILs were developed using the maize inbred 48-2 as the recurrent parent and mexicana as a donor. 48-2 was an elite inbred line released by Prof. Rong Tingzhao from Sichuan Agricultural University (Sichuan, China), exhibiting high combining ability, and well adaptation to various environmental conditions in Southwest China, and was awarded the 2nd Prize of China National Technological Invention in 1996. In recent years, researchers and breeders are seeking potential ways to further improve the yield performance of 48-2, especially its biotic and abiotic tolerance to the frequent changing environmental conditions.

Among our ILs with mexicana as donor, the overall phenotypic performance of BC1, BC2, and BC3 were intermediate between mexicana and 48-2. This observation is in line with previous researches by Briggs et al. and Wang et al. [7] [26]. In addition, some ILs of RIL showed mexicana-like traits such as reduced kernel row numbers and size of kernels. This is consistent with previous reports suggesting that hybrids plants produced by pollinating mexicana with maize had some traits of the wild parent [7]. Besides the characterized traits, we also observed some distinctive phenotypes differed from 48-2, including fragile cob, premature senescence, kernels with twin embryos, tween ears, kernels encased by fruitcases, very small kernels, stay green, shortened internodes, and so on.

In crop breeding activities, introgressing alleles from wild relatives to improve the parental lines mainly focused on quality and tolerance related traits, and the phenomenon of linkage drag usually causes negative effects to agronomic traits of introgressive descendants [27] [28]. Though wide range of phenotypic changes were observed among all the characterized agronomic traits of four IL generations in the present study, most of these changes exhibited decreasing trends (Figure2, FigureS1), similar to those reported in both maize and other crops [29] [30].

These negative changes, or the effects caused by linkage drag, of all the IL generations might not influence the mining of target alleles for interest traits, while for breeding utilization of these ILs, more and intensive efforts should be laid to tolerance or quality related traits, such as the content of protein, oil, starch, and potential tolerance to limited water and fertilizer supply, higher temperature, or insects attack or pathogens infection, rather than the agronomic traits. Additionally, by integrating the characterization of agronomic traits and intensive quality or tolerance identification of these ILs, candidate NILs with improved quality or tolerance and non-significantly changed agronomic traits might be screened from all these ILs, and serve as enhanced alternatives of 48-2 in the maize breeding in Southwest China.

From the intensive SNPs genotyping, we have found credible evidence of mexicana introgression into maize ILs. Our structure analysis clearly indicated that mexicana has made genomic contributions to maize ILs, suggesting that the introgressed segments in these lines maybe contains genes conferring some traits of agricultural importance. A similar suggestion was made by a recent study conducted by Yang et al. who estimated that about 10.7% of maize genomic regions which may have contributed to genetic improvement were introgressed from mexicana [24].

As expected, the genotypes of the backcross generations were close to 48-2 with a low frequency of mexicana introgression except for the generation of BC2 which surprisingly showed very high frequency of introgression. This might result in the natural and artificial selection in the generation BC2, in which individuals with less alien genomic composition were discarded. In confirmation of their mexicana phenotype, the self-cross generations showed very high frequency of mexicana introgression. These observations were confirmed via PCA of 16,330 diverse SNPs (Figure 5).

It was reported that crossing between maize and its wild relatives, i.e. Zea mays ssp. mexicana, provided potential alleles for resources improvement [24]. In the present study, 42 most rooted ILs between the cross of maize and mexicana were characterized. This sample size is somewhat small, while some distinctive traits and alleles or genetic variations were identified (Figure 2, Figure 6), which suggested that the maize-mexicana ILs in the present study possessed potential variations for the further screening. On the other hand, whether these introduced alleles from mexicana linked to those changed traits, or the loci conferring these traits remain ambiguous. Genome-wide association studies (GWAS) and linkage analysis, i.e. QTL mapping with the genotypic and trait data from inbred 48-2 and the ILs will be necessary to identify loci responsible for the distinctive traits and the phenotypic differences between maize inbred 48-2 and the ILs.

5. Conclusion

Introducing genetic variation from wild relatives is a potential way to widen the genetic bases of breeding lines in maize. in the present study, we characterized an introgression population between the cross of maize and mexicana, and the phenotypic performance of the maize-mexicanaILs indicated that these ILs inherited some distinctive alleles from mexicana. This was confirmed by the SNP-based molecular characterization of the generations by self- and backcross-pollinating. Our results suggested that introgressing mexicana into maize germplasm to produce ILs might provide the breeder with a broad source of variation which is necessary for maize germplasm improvement.

Acknowledgements

This work was supported by the Fundamental Research Funds for the Central Universities (XDJK2017C031, XDJK2017D072), Project of Maize Germplasm Protection of the Ministry of Agriculture and Rural Affairs (2019NWB036-04-08), and scientific innovation program of undergraduate students (S202110635279, X202110635203, X201910635270).

Authors Contributions

ARSM, JQ, and LA performed the experiment and drafted the manuscript; ARSM analyzed data; JQ, LA, MGA, MQ, HG, XD, FX, JY, KZ, ZZ, QM, TH, and HD participated in the experiments; JQ and LA provided technical support; QX and ZL provided ideas, designed the research, and edited the manuscript; all the authors have read and approved the manuscript.

Supplementary

Figure S1. Phenotypic performances of the repeatedly characterized traits of 48-2 and all four IL generations in 2018 (ear length, ear diameter, kernel row number, ear-kernel weight, and 100-kernel weight) and 2019 (plant height and ear eight).

Conflicts of Interest

The authors declare no conflicts of interest regarding the publication of this paper.

References

[1] FAOSTAT (Food and Agriculture Organization) (2012) Statistical Database of the Food and Agriculture of the United Nations. Online. http://www.fao.org/faostat
[2] Doebley, J. (2004) The Genetics of Maize Evolution. Annual Review of Genetics, 30, 37-59.
[CrossRef] [PubMed]
[3] Maazou, A.S., Qiu, J., Mu, J. and Liu, Z. (2017) Utilization of Wild Relatives for Maize (Zea mays L.) Improvement. African Journal of Plant Science, 11, 105-113.
[CrossRef
[4] Schmalenbach, I., Korber, N. and Pillen K. (2008) Selecting a Set of Wild Barley Introgression Lines and Verification of QTL Effects for Resistance to Powdery Mildew and Leaf rust. Theoretical and Applied Genetics, 117, 1093-1106.
[CrossRef] [PubMed]
[5] Ishimaru, T., Hirabayashi, H., Ida, M., Takai, T., San-Oh, Y.A., Yoshinaga, S., Ando, I., Ogawa, T. and Kondo, M. (2010) A Genetic Resource for Early-Morning Flowering Trait of Wild Rice Oryza officinalis to Mitigate High Temperature-Induced Spikelet Sterility at Anthesis. Annals of Botany, 106, 515-520.
[CrossRef] [PubMed]
[6] Cohen, J.I. and Galinat, W.C. (1984) Potential Use of Alien Germplasm for Maize Improvement. Crop Science, 24, 1011-1015.
[CrossRef
[7] Wang, L., Xu, C., Qu, M. and Zhang, J. (2008) Kernel Amino Acid Composition and Protein Content of Introgression Lines from Zea mays ssp. mexicana into Cultivated maize. Journal of Cereal Science, 48, 387-393.
[CrossRef
[8] Liu, Z., Garcia, A., McMullen, M.D. and Flint-Garcia, S.A. (2016) Genetic Analysis of Kernel Traits in Maize-Teosinte Introgression Populations. Genes, Genomes, Genetics, 6, 2523-2530.
[CrossRef] [PubMed]
[9] Karn, A., Gillman, J.D. and Flint-Garcia, S.A. (2017) Genetic Analysis of Teosinte Alleles for Kernel Composition Traits in Maize. Genes, Genomes, Genetics, 7, 1157-1164.
[CrossRef] [PubMed]
[10] Reeves, R.G. and Bockholt, A.J. (1964) Modification and Improvement of a Maize Inbred by Crossing it with Tripsacum. Crop Science, 4, 7-10.
[CrossRef
[11] Kindiger, B. and Beckett, J.B. (1990) Cytological Evidence Supporting a Procedure for Directing and Enhancing Pairing between Maize and Tripsacum. Genome, 33, 495-500.
[CrossRef
[12] Leblanc, O., Grimanelli, D., González-de-León, D. and Savidan, Y. (1995) Detection of the Apomictic Mode of Reproduction in Maize-Tripsacum Hybrids Using Maize RFLP Markers. Theoretical and Applied Genetics, 90, 1198-1203.
[CrossRef
[13] Amusan, I.O., Rich, P.J., Menkir, A., Housley, T. and Ejeta, G. (2008) Resistance to Striga hermonthica in a Maize Inbred Line Derived from Zea diploperennis. New Phytologist, 178, 157-166.
[CrossRef] [PubMed]
[14] Wang, L., Gu, X., Wang, X., Qu, M., Luan, J., Zhang, X. and Zhang, J. (2012) Introgression of Genetic Material from Zea Mays ssp. mexicana into Cultivated Maize Sas Facilitated by Tissue Culture. Pakistan Journal of Botany, 44, 1419-1426.
[15] Yan, J., Yang, X., Shah, T., Sánchez-Villeda, H., Li, J., Warburton, M., Zhou, Y., Crouch, J.H. and Xu, Y. (2010) High-Throughput SNP Genotyping with the GoldenGate Assay in Maize. Molecular Breeding, 25, 441-451.
[CrossRef
[16] Zhang, X., Zhang, H., Li, L., Lan, H., Ren, Z., Liu, D., Wu, L., Liu, H., Jaqueth, J., Li, B., Pan, G. and Gao, S. (2016) Characterizing the Population Structure and Genetic Diversity of Maize Breeding Germplasm in Southwest China Using Genome-Wide SNP Markers. BMC Genomics, 17, 697-712.
[CrossRef] [PubMed]
[17] Liu, K. and Muse, S.V. (2005) PowerMarker: An Integrated Analysis Environment for Genetic Marker Analysis. Bioinformatics, 21, 2128-2129.
[CrossRef] [PubMed]
[18] Pritchard, J.K., Stephens, M. and Donnelly, P. (2000) Inference of Population Structure Using Multilocus Genotype Data. Genetics, 155, 945-959.
[CrossRef] [PubMed]
[19] Evanno, G., Regnaut, S. and Goudet, J. (2005) Detecting the Number of Clusters of Individuals Using the Software Structure: A Simulation Study. Molecular Ecology, 14, 2611-2620.
[CrossRef
[20] Bradbury, P.J., Zhang, Z., Kroon, D.E., Casstevens, T.M., Ramdoss, Y. and Buckler, E.S. (2007) TASSEL: Software for Association Mapping of Complex Traits in Diverse Samples. Bioinformatics, 23, 2633-2635.
[CrossRef] [PubMed]
[21] Yamasaki, M., Tenaillon, M.I., Bi, I.V., Schroeder, S.G., Sanchez-Villeda, H., Doebley, J.F., Gaut, B.S. and McMullen, M.D. (2005) A Large-Scale Screen for Artificial Selection in Maize Identifies Candidate Agronomic Loci for Domestication and Crop Improvement. Plant Cell, 17, 2859-2872.
[CrossRef] [PubMed]
[22] Billah, M.M., Hassan, L., Matin, M.Q.I., Talukder, M.Z.A. and Alam, M.K. (2021) Genetic Diversity for Yield and Yield Contributing Characters of Short Statured Mainze Inbred Lines. American Journal of Plant Sciences, 12, 934-945.
[CrossRef
[23] Liu, Z., Cook, J., Melia-Hancock, S., Guill, K., Bottoms, C., Garcia, A., Ott, O., Nelson, R., Recker, J., Balint-Kurti, P., Larsson, S., Lepak, N., Buckler, E., Trimble, L., Tracy, W., McMullen, M.D. and Flint-Garcia, S.A. (2016) Expanding Maize Genetic Resources with Predomestication Alleles: Maize-Teosinte Introgression Populations. Plant Genome, 9, 1-11.
[CrossRef] [PubMed]
[24] Yang, N., Xu, X.W., Wang, R.R., Peng, W.L., Cai, L., Song, J.M., Li, W., Luo, X., Niu, L., Wang, Y., Jin, M., Chen, L., Luo, J., Deng, M., Wang, L., Pan, Q., Liu, F., Jackson, D., Yang, X., Chen, L.L. and Yan, J. (2017) Contributions of Zea mays Subspecies mexicana Haplotypes to Modern Maize. Nature Communications, 8, 1874-1883.
[CrossRef] [PubMed]
[25] Gonzalez-Segovia, E., Perez-Limon, S., Cintora-Martinez, G.G., Guerrero-Zavala, A., Janzen, G.M., Hufford, M.B., Ross-Ibarra, J. and Sawers, R.J.H. (2019) Characterization of Introgression from the Teosinte Zea mays ssp. Mexicana to Mexican hiland Maize. Peer J, 7, Article ID: e6815.
[CrossRef] [PubMed]
[26] Briggs, W.H., McMullen, M.D., Gaut, B.S. and Doebley, J. (2007) Linkage Mapping of Domestication Loci in a Large Maize-Teosinte Backcross Resource. Genetics, 177, 1915-1928.
[CrossRef] [PubMed]
[27] Hospital, F. (2005) Selection in Backcross Programmes. Philosophical Transactions of the Royal Society B, 360, 1503-1511.
[CrossRef] [PubMed]
[28] Earlham Institute (2019) Linkage Is a Drag: First Wheat Gene to Rapidly Convert Defective Traits for New. Science Daily. www.sciencedaily.com/releases/2019/04/190416081422.htm
[29] Liu, W., Fan, Y., Chen, J., Shi, Y. and Wu, J. (2009) Avoidance of Linkage Drag between Blast Resistane Gene and the QTL Conditioning Spikelet Fertility Based on Genotype Selection against Heading Date in Rice. Rice Science, 16, 21-26.
[CrossRef
[30] Gardiner, L.J., Wingen, L.U., Bailey, P., Joynson, R., Brabbs, T., Wright, J., Higgins, J.D., Hall, N., Griffiths, S., Clavijo, B.J. and Hall, A. (2019) Analysis of the Recombination Landscape of Hexaploid Bread Wheat Reveals Genes Controlling Recombination and Gene Conversion Frequency. BMC Genome Biology, 20, 69-84.
[CrossRef] [PubMed]

Copyright © 2026 by authors and Scientific Research Publishing Inc.

Creative Commons License

This work and the related PDF file are licensed under a Creative Commons Attribution 4.0 International License.