Expression of Genes Associated with Nickel Resistance in White Spruce (Picea glauca) under Nickel Stress: Analysis of AT2G16800 and NRAMP Genes

Abstract

Heavy metals such nickel (Ni) can cause toxicity by 1) displacing essential components in the biomolecules, 2) blocking the functional group of molecules, or 3) modifying enzymes, proteins, the plasma membrane, and membrane transporters. The main objective of the present study was to investigate the effect of nickel (Ni) on gene expression of nitrate on gene expression with a focus on the genes coding for the high affinity Ni transporter family protein AT2G16800, and natural resistance-associated macrophage protein (NRAMP). Ni toxicity was assessed by treating seedlings with an aqueous solution of nickel nitrate salt [Ni(NO3)2] at the concentrations of 150 mg, 800 mg, and 1600 mg of nickel per 1 kg of dry soil. RT-qPCR was used to measure the expression of AT2G16800, and NRAMP genes in samples treated with nickel nitrates and controls. The results revealed that P. glauca is resistant to Ni based on lack of plant damage at all nickel concentrations. Ni has no effect on the expression of the AT2G16800 gene in needles or roots. However, it induced an upregulation of the NRAMP genes in roots at all the doses tested (150 mg/kg, 800 mg/kg, and 1600 mg/kg). On the other hand, Ni has no effect on the expression of the NRAMP gene in needle but the lowest dose of potassium (150 mg/kg) upregulated this gene in needle tissues.

Share and Cite:

Boyd, M. and Nkongolo, K. (2020) Expression of Genes Associated with Nickel Resistance in White Spruce (Picea glauca) under Nickel Stress: Analysis of AT2G16800 and NRAMP Genes. American Journal of Plant Sciences, 11, 1163-1174. doi: 10.4236/ajps.2020.118082.

1. Introduction

Nickel (Ni) is an essential nutrient that plays an important role in plant growth and development [1]. It is also involved in many redox reactions that provide proper functions to cells [2]. But high levels of Ni can cause problems such as the interference in cell functioning, and a change in the metabolism; that may result in cell damage or plant death [2] [3]. Brown et al. [4] reported that naturally occurring high levels of Ni found in some fertilizers and sewage sludge induce nickel toxicity in crops and higher plants.

In general, Ni as well as other heavy metals causes toxicity in several ways: they displace essential components in the biomolecules, they can block the functional group of molecules, and modify enzymes, proteins, the plasma membrane, and membrane transporters [5]. Enzyme interactions that are interrupted by heavy metals can be due to Ni interaction with SH-groups in proteins, and thus creating a change in its conformation. The enzyme becomes inactivated which can decrease plant growth significantly [6]. However, it is possible that Ni may not only inhibit enzyme activity but also stimulate it. In fact, Seregin and Kozhevnikova [6] reported an increase in some antioxidant enzyme activities when the level of Ni is high. This is also consistent with Gajewska et al. [7] who observed a significant increase in peroxidases (POD) and Glutathione S-transferases (GST) activities. On the other hand, activities of enzymes such as superoxide dismutase have been shown to decrease over time when plants are treated with high Ni concentrations. In some cases, chloramphenicol acetyltransferase activities can be completely inhibited [7]. These enzymes play an important role within plants. Superoxide dismutase (SOD) catalyzes superoxide anion to H2O2 and O2, then catalase (CAT) will use H2O2 by converting it to H2O and O2 and POD will reduce it [7]. POD is the key enzyme in reducing Glutathione S-transferases (GST) to glutathione (GSH) [7]. Analysis of the effects of nickel on gene expression including the high affinity Ni transporter family protein (AT2G16800) and Natural resistance-associated macrophage protein (NRAMP) in higher plants has been limited to angiosperm species. Studies of genetic effects of Ni in gymnosperms such as conifers are lacking. White spruce (Picea glauca) is one of the conifer species growing in metal contaminated areas in Northern Ontario (Canada). AT2G16800 is a known nickel/cobalt ion transporter from the NiCoT protein family. The NRAMP transporters gene family is conserved in many organisms including plants. These genes code for NRAMP proteins that can bind and complex heavy metal ions for transport. These proteins use the proton-motive force to drive the uptake of Ni2+ and Co2+ ions into the plant root system [8].

The main objective of the present study is to investigate the effect of nickel on gene expression with a focus on the genes coding for the high affinity Ni transporter family protein AT2G16800, and Natural resistance-associated macrophage protein (NRAMP).

2. Materials and Methods

2.1. Picea glauca Treatments with Nickel Nitrate and Potassium Nitrate

The Ni screening experiments were conducted at Laurentian University (Sudbury, Ontario, Canada) in 2018-2019. Six-month-old seedlings were transplanted into pots containing a 50:50 sand/soil mixture and left to grow for an additional six weeks in a growth chamber. Plants were watered as needed and fertilized twice a week with equal amounts of nitrogen, phosphorus and potassium (20-20-20).

Ni toxicity was assessed by treating seedlings with an aqueous solution of nickel nitrate salt [Ni(NO3)2] at the following concentrations: 150 mg, 800 mg, and 1600 mg of nickel per 1 kg of dry soil. These doses represent the bioavailable fraction of total nickel available to biota, half total, and total nickel, respectively found in metal-contaminated soils in the GSR [9] [10]. These levels correspond to 301.69 μmol, 150.85 μmol, 75.42 μmol, and 56.54 μmol of Ni, respectively. To control for any possible toxic effects due to the increase in nitrate ions (NO3) in the plants, an aqueous solution of commercial potassium nitrate (KNO3) salts was used in equal molar amounts to each dose of the nickel salts. The nitrate controls for 1600 mg/kg, 800 mg/kg, and 150 mg/kg corresponds to 603.38 μmol, 301.69 μmol,, and 113.08 μmol of nitrate, respectively. Salt-free water was used as a negative control (0 mg Ni per 1 kg of dry soil). The experimental design was a completely randomized block design with 12 replications per each nickel treatment. Roots and needles were harvested from seedlings seven days after treatments. They were frozen in liquid nitrogen and stored at −20˚C until RNA extraction.

2.2. RNA Extraction and RT-qPCR

RNA was extracted from the roots and needles of all samples using the protocol previously described by Theriault et al. [8] with some modifications. These include using only 0.3 g of tissue per sample throughout the extraction process. Also, the chloroform phase separation steps were completed using 1 mL of CTAB solution: 1 mL phenol chloroform. The precipitation of RNA was done using 100 μl of SDS buffer, in which the chloroform steps were properly scaled down. RNA quality check was performed using a 1% agarose gel and RNA quantify was estimated using the Qubit® RNA BR assay kit from Life Technologies (Carlsbad, United States). RNA samples from the same treatment were pooled together using equal amounts with a total of 10 μg of tissue. The pooled RNA samples were then treated with DNase 1 from Life Technologies (#EN0521). For each RNA sample, 1 μL DNase, 1 μL buffer, and water was added for a final volume of 10 μL. Each sample of DNase treated RNA was incubated at 37˚C for 1 hour. A 3-step PCR was performed with all pooled samples. The amplified products were run in a 1% agarose gel to confirm that there was no DNA contamination before the addition of DNase 1.

Primers were designed based on the P. glauca genome, using the BLAST program. NRAMP and AT2G16800 that had been associated with nickel resistance in higher plants were selected for this study [11]. Also, four housekeeping genes were designed including alpha tubulin, cyclophilin, ELF1, and 18S RNA. Alpha tubulin provided the most consistent and reproducible results. Therefore, it was used as the housekeeping gene used for the experiment.

The pooled RNA samples were converted to cDNA by directly adding 1 μL of 50 mM EDTA to each pooled sample. This solution was then incubated at 65˚C for 10 minutes to denature the strand. Then, 2X Reverse Transcriptase (RT) Master Mix (without RNase inhibitor) composed of 2.0 μL 10X RT Buffer, 0.8 μL 25X dNTP Mix (100 mM), 2.0 μL 10X RT Random Primers, 1.0 μL MultiScribe™ Reverse Transcriptase, and 4.2 μL of Nuclease-free H2O per 10 μL of RNA was made. This mix was added to the thermal cycler using the following conditions. Step 1 consisted of 10 minutes at 25˚C, step 2 of 120 minutes at 37˚C, and step 3 was 5 minutes at 85˚C. The synthesized cDNA was checked using a 1% agarose gel to ensure that each sample amplified at the proper size.

The qPCR was performed according to the Dynamo HS SYBR Green Kit (Life Technologies) protocol. Mineral oil (10 μL) was added to the top of each sample. Each reaction was completed in triplicates using the MJ Research PTC-200 Chromo 4 Thermal Cycler. The set program consisted in, 1) initial denaturation at 95˚C for 10 minutes, 2) denaturation at 95˚C for 15 seconds, 3) annealing temperature which depended on the primer (between 55˚C - 64˚C) for 60 seconds, 4) read, 5) repeat step 2 - 4 for 41 cycles, 7) final elongation at 72˚C for 7 minutes 8) melting curve 72˚C - 95˚C, every 1˚C, hold for 10 seconds, and 9) final elongation at 72˚C for 3 minutes. The RT-qPCR was performed two separate times for each targeted gene, and samples were loaded in triplicates. This resulted in six data points per pooled sample. Outliers among the replicates were excluded from further analysis.

3. Data Analysis

For gene expression, the CFX Connect was used to analyze the data. To this end, the data were exported to Excel where the C(q) values were quantified using the equation for the standard curve and then normalized to the housekeeping gene α-tubulin. SPSS 20 was used to determine statistical significance among means (P ≤ 0.05). The Shapiro Wilk test was performed to verify normal distribution of data. Analysis of variance (ANOVA) and Dunnett’s T3 as well as Tukey (if variances were equal) Post Hoc Tests were used to determine any significant differences among means for different treatments and controls. The difference between needles and roots was also analyzed using an independent t-test to determine significance (P ≤ 0.05) among groups for each gene target and treatment. The Levene’s test was used to determine if means were equal (P ≥ 0.05) or unequal (P ≤ 0.05), in which a 2-tailed test determined any significance.

4. Results and Discussion

The main objective of the present study was to investigate the effect of nickel nitrate and potassium nitrate on the expression of the genes coding for the high affinity Ni transporter family protein AT2G16800, and Natural resistance-associated macrophage protein (NRAMP). All the genotypes treated with nickel and potassium nitrates show no signs of Ni damages. P. glauca was classified as nickel resistant species.

Primer pairs used to amplify the housekeeping and the target genes are listed in Table 1. When the different doses were compared, the expression of AT2G16800 was not affected by the Ni nitrate and potassium nitrate treatments in needles, suggesting that Ni has no effects on this gene in this tissue (Figure 1(a)). This is consistent with the lack of Ni translocation to needles that have been observed. AT2G16800 is a known nickel/cobalt ion transporter that uses the proton-motive force to drive the uptake of Ni2+ and Co2+ ions into the plant root system [12]. Theriault et al. [12] investigated the effects of the nickel treatment at the high dose of 1600 mg/kg on AT2G16800 expression in the accumulator species Betula papyrifera. They found that Ni significantly repressed AT2G16800 expression in leaves suggesting that excess Ni does affect AT2G16800 activities. However, no difference was found in the expression level at this dose among the susceptible, moderately susceptible and resistant genotypes. This suggests that AT2G16800 is not directly involved in nickel resistance in B. papyrifera. Czjaka, et al. [13] also observed a repression of AT2G16800 in P. tremuloides with increasing nickel concentrations compared to the water reference.

A significant increase of AT2G1680 expression was observed in root treated with 800 mg/kg of nickel nitrate and 800 mg/kg and 1600 mg/ kg of potassium nitrate (Figure 1(b)). This suggests that the increase might be triggered by nitrate. Hence, Ni induced no change in the expression of AT2G1680 in needles and roots in P. glauca. This could be associated with the avoidance mechanism used by this species to deal with Ni contamination in soils.

Table 1. Sequences of white spruce (Picea glauca) primers used for RT-qPCR.

Figure 1. AT2G16800 gene expression in white spruce (Picea glauca) treated with different doses of nickel nitrate and potassium nitrate. The gene expression was normalized to the housekeeping gene (α-tubulin) and water was used as the negative control. Gene expression of all the treatments combined for a) needles b) roots. Bars with different lowercase indices represent significant differences (p ≤ 0.05) among the means of the nickel treatments with reference to water. Bars with different uppercase indices represent significant differences (p ≤ 0.05) among the means of the nitrate treatments with reference to water. Significant differences (p ≤ 0.05) between a nickel concentration and its corresponding nitrate control dose are represented with an asterisk (*).

Other studies have found that too much nitrate can increase the expression of cadmium transporter, OsIRT1, as the ions compete with one another [14]. This has been also reported in other studies related to iron transporters that showed that Ni was taken up through the Fe transport system provoking a response in an Fe transporter AtIRT1 [15]. When plants became Fe-deficient, the level of Ni increased suggesting that Ni and Fe compete and can interchange transport systems [15] [16].

Initially, we expected Ni toxicity to significantly reduce the expression of AT2G16800 to limit the amount of Ni entering plant cells; however, if Fe is using the same transport system, plants may increase the expression as Fe is a micronutrient and not highly toxic for plants [17]. In the present study, potassium nitrate may have initiated the increase in the expression of AT2G16800, where Fe levels may have been in excess compared to Ni. This increase seems to be driven by potassium rather than nitrate. This is consistent with Djeukam et al. [18] who also reported that potassium nitrate triggers gene expression changes in Quercus rubra. In fact, potassium nitrate induced an upregulation of Nicotianamine synthase (NAS3) gene in Quercus rubra leaves exposed to 150 mg/kg dose and a downregulation for the 1600 mg/kg treatment [18].

No significant difference for AT2G16800 expression in samples treated with nickel nitrate treatments was observed when needles and root tissues were compared (Figure 2). There were however significant differences observed between the two tissues for the expression of this gene in samples treated with the lowest dose of 150 mg/kg and the highest dose of 1600 mg/kg of potassium nitrate (Figure 2).

Figure 2. AT2G16800 gene expression in white spruce (Picea glauca). The gene expression was normalized to the housekeeping gene (α-tubulin) and water was used as the negative control. Gene expression was observed for the comparison between needles and roots; (a) nickel nitrate treatments (b) potassium nitrate treatments. Significant differences (p ≤ 0.05) between tissues are represented with an asterisk (*).

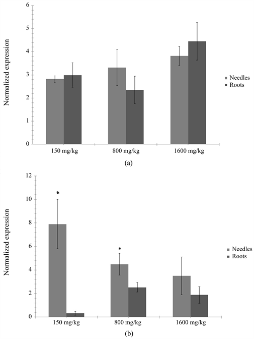
There were no changes in NRAMP expression in needles treated with Ni compared to water. But potassium at a concentration of 150 mg/kg upregulated this gene in needles (Figure 3(a)). As for root samples, there was an overexpression of NRAMP induced by Ni in nickel nitrate at concentrations 150 mg/kg, 800 mg/kg, and 1600 mg/kg (Figure 3). The NRAMP (Natural resistance associated macrophage protein) transporters is a family of genes whose main function is to bind and transport divalent metal ions [8]. The metal ions binding are dependent on the species and the protein. NRAMP helps maintain homeostasis in plants [19]. Theriault et al. [8] demonstrated the role that NRAMP plays in Ni

Figure 3. NRAMP gene expression in white spruce (Picea glauca) treated with different doses of nickel nitrate and potassium nitrate. The gene expression was normalized to the housekeeping gene (α-tubulin) and water was used as the negative control. Gene expression of all the treatments combined for (a) needles (b) roots. Bars with different lowercase indices represent significant differences (p ≤ 0.05) among the means of the nickel treatments with reference to water. Bars with different uppercase indices represent significant differences (p ≤ 0.05) among the means of the nitrate treatments with reference to water. Significant differences (p ≤ 0.05) between a nickel concentration and its corresponding nitrate control dose are represented with an asterisk (*).

resistance in Betula papyrifera. Similarly, Czajka et al. [20] reported an increase of NRAMP in Populus tremuloides leaf tissues caused by potassium nitrate groups rather than Ni. An increase in NRAMP expression has been studied in response to Cd stress [21]. But NRAMP genes can be overexpressed when Fe is deficient [22]. Roots have been found to be more sensitive to Fe-deficiency and thus NRAMP genes in these tissues are more easily disrupted [23].

There were no significant differences in NRAMP expression when the needle and root tissues were compared for samples treated with nickel nitrate (Figure 4). Significant difference in this gene regulation between these two tissues was observed in samples treated with potassium nitrate at 150 mg/kg and 800 mg/kg (Figure 4).

Figure 4. NRAMP gene expression in white spruce (Picea glauca). The gene expression was normalized to the housekeeping gene (α-tubulin) and water was used as the negative control. Gene expression was observed for the comparison between needles and roots; (a) nickel nitrate treatments (b) potassium nitrate treatments. Significant differences (p ≤ 0.05) between tissues are represented with an asterisk (*).

5. Conclusion

This study aimed at determining if AT2G16800 and NRAMP genes associated with nickel tolerance are involved in the P. glauca response to nickel. Nickel toxicity in Picea glauca shows that this species is resistant to Ni based on the lack of plant damage at all nickel concentrations. Ni has no effect on the expression of the AT2G16800 gene in needles or roots. However, it induced an upregulation of the NRAMP genes in roots at all the doses tested (150 mg/kg, 800 mg/kg, and 1600 mg/kg). On the other hand, Ni has no effect on the expression of the NRAMP gene in needle but the lowest dose of potassium (150 mg/kg) upregulated this gene in needle tissues. Since the salts used for treatments were composed of two elements, the interaction effect of Ni and potassium with nitrate on gene expression couldn’t be determined.

Acknowledgements

This work received financial support from the Natural Sciences and Engineering Research Council of Canada (NSERC), Vale, and Sudbury Nickel Operations (Glencore Limited), Canada (Grant numbers NSERC-CRD-470535-14 and NSERC-RGPIN-5323-4). Thanks to Marc Hebert, College Boreal, Sudbury for providing the seedlings used in this study.

Conflicts of Interest

The authors declare no conflicts of interest regarding the publication of this paper.

References

[1] Brown, P.H., Welch, R.M. and Cary, E.E. (1987) Nickel: A Micronutrient Essential for Higher Plants. Plant Physiology, 85, 801-803.
[CrossRef] [PubMed]
[2] Sharma, S.S. and Dietz, K.J. (2009) The Relationship between Metal Toxicity and Cellular Redox Imbalance. Trends in Plant Science, 14, 43-50.
[CrossRef] [PubMed]
[3] Baccouch, S., Chaoui, A. and Ferjani, E.E. (1998) Nickel Toxicity: Effects on Growth and Metabolism of Maize. Journal of Plant Nutrition, 21, 577-588.
[CrossRef
[4] Brown, P.H., Dunemann, L., Schulz, R. and Marschner, H. (1989) Influence of Redox Potential and Plant Species on the Uptake of Nickel and Cadmium from Soils. Zeitschrift für Pflanzenernahrung und Bodenkunde, 152, 85-91.
[CrossRef
[5] Yusuf, M., Fariduddin, Q., Hayat, S. and Ahmad, A. (2011) Nickel: An Overview of Uptake, Essentiality and Toxicity in Plants. Bulletin of Environmental Contamination and Toxicology, 86, 1-17.
[CrossRef] [PubMed]
[6] Seregin, I.V. and Kozhevnikova, A.D. (2005) Distribution of Cadmium, Lead, Nickel, and Strontium in Imbibing Maize Caryopses. Russian Journal of Plant Physiology, 52, 565-569.
[CrossRef
[7] Gajewska, E., Sklodowska, M., Slaba, M. and Mazur, J. (2006) Effect of Nickel on Antioxidative Enzyme Activities, Proline and Chlorophyll Contents in Wheat Shoots. Biologia Plantarum, 50, 653-659.
[CrossRef
[8] Theriault, G., Michael, P. and Nkongolo, K. (2016) Comprehensive Transcriptome Analysis of Response to Nickel Stress in White Birch (Betula papyrifera). PLoS ONE, 11, e0153762.
[Google Scholar] [CrossRef] [PubMed]
[9] Nkongolo, K.K., Spiers, G., Beckett, P., Narendrula, R., Theriault, G., Tran, A. and Kalubi, K.N. (2013) Long-Term Effects of Liming on Soil Chemistry in Stable and Eroded Upland Areas in a Mining Region. Water, Air and Soil Pollution, 224, 1618.
[CrossRef
[10] Kalubi, K. N., Mehes-Smith, M. and Omri, A. (2016) Comparative Analysis of Metal Translocation in Red Maple (Acer rubrum) and Trembling Aspen (Populus tremuloides) Populations from Stressed Ecosystems Contaminated with Metals. Chemistry and Ecology, 32, 312-323.
[CrossRef
[11] Narendrula-Kotha, R., Theriault, G., Mehes-Smith, M., Kalubi, K. and Nkongolo, K. (2019) Metal Toxicity and Resistance in Plants and Microorganisms in Terrestrial Ecosystems. In: Reviews of Environmental Contamination and Toxicology, Springer, Cham, Volume 249, 1-27.
[CrossRef] [PubMed]
[12] Wang, F.F., Wang, P.C., Dong, R.B., Yang, Z.N. and Cui, Y. (2007) Subcellular Localization of a Nickel Ion Transport Protein in Arabidopsis thaliana. Journal of Shanghai Normal University (Natural Sciences), 2, 71-76.
[13] Czjaka, K., Michael, P. and Nkongolo, K.K. (2018) Differential Effects of Nickel Dosages on in Vitro and in Vivo Seed Germination and Expression of a High Affinity Nickel-Transport Family Protein (AT2G16800) in Trembling Aspen (Populus tremuloides). Ecotoxicology, 28, 92-102.
[Google Scholar] [CrossRef] [PubMed]
[14] Yang, Y., Xiong, J., Chen, R., Fu, G., Chen, T. and Tao, L. (2016) Excessive Nitrate Enhances Cadmium (Cd) Uptake by Up-Regulating the Expression of OsIRT1 in Rice (Oryza sativa). Environmental and Experimental Botany, 122, 144-149.
[Google Scholar] [CrossRef
[15] Nishida, S., Tsuzuki, C., Kato, A., Aisu, A., Yoshida, J. and Mizuno, T. (2011) AtIRT1, the Primary Iron Uptake Transporter in the Root, Mediates Excess Nickel Accumulation in Arabidopsis thaliana. Plant and Cell Physiology, 52, 1433-1442.
[CrossRef] [PubMed]
[16] Tang, Y.T., Sterckeman, T., Echevarria, G., Morel, J.L. and Qiu, R.L. (2019) Effects of the Interactions between Nickel and Other Trace Metals on Their Accumulation in the Hyperaccumulator Noccaea caerulescens. Environmental and Experimental Botany, 158, 73-79.
[CrossRef
[17] Kobayashi, T., Nozoye, T. and Nishizawa, N.K. (2019) Iron Transport and Its Regulation in Plants. Free Radical Biology and Medicine, 133, 11-20.
[CrossRef] [PubMed]
[18] Djeukam, C.L., Michael, P. and Nkongolo, K.K. (2019) Transciption of Genes Associated with Nickel Resistance Induced by Different Doses of Nickel Nitrate in Quercus rubra. Chemistry and Ecology, 35, 861-876.
[CrossRef
[19] Campo, S., Peris-Peris, C., Siré, C., Moreno, A.B., Donaire, L., Zytnicki, M., San Segundo, B., et al. (2013) Identification of a Novel microRNA (miRNA) from Rice That Targets an Alternatively Spliced Transcript of the Nramp6 (Natural Resistance-Associated Macrophage Protein 6) Gene Involved in Pathogen Resistance. New Phytologist, 199, 212-227.
[CrossRef] [PubMed]
[20] Czjaka, K., Michael, P. and Nkongolo, K.K. (2018) High Level of Nicotianamine Synthase (NAS3) and Natural Resistance Associated Macrophage Protein (NRAMP4) Gene Transcription Induced by Potassium Nitrate in Trembling Aspen (Populus tremuloides). American Journal of Biochemistry and Biotechnology, 14, 183-190.
[Google Scholar] [CrossRef
[21] Shaheen, S., Ahmad, R., Mahmood, Q., Mubarak, H., Mirza, N. and Hayat, M.T. (2018) Physiology and Selected Genes Expression under Cadmium Stress in Arundo donax L. International Journal of Phytoremediation, 20, 1162-1167.
[CrossRef] [PubMed]
[22] Thomine, S. and Schroeder, J.I. (2004) Plant Metal Transporters with Homology to Proteins of the NRAMP Family. In: Cellier, M. and Gros, P., Eds., The NRAMP Family, Molecular Biology Intelligence Unit, Andes/Kluwer Series, 113-121.
[23] Ullah, I., Wang, Y., Eide, D.J. and Dunwell, J.M. (2018) Evolution, and Functional Analysis of Natural Resistance-Associated Macrophage Proteins (NRAMPs) from Theobroma cacao and Their Role in Cadmium Accumulation. Scientific Reports, 8, Article No. 14412.
[CrossRef] [PubMed]

Copyright © 2025 by authors and Scientific Research Publishing Inc.

Creative Commons License

This work and the related PDF file are licensed under a Creative Commons Attribution 4.0 International License.