Another Look at Node Renumbering

Abstract

Node renumbering is an important step in the solution of sparse systems of equations. It aims to reduce the bandwidth and profile of the matrix. This allows for the speeding up of the solution of the system or allows for the addressing of even larger systems than otherwise would be possible. Research on this topic dates to the late sixties. In most of these algorithms nodal degree is an important consideration. In the new algorithm, we consider the maximum difference in adjacent node numbers as the driving criterion. This new algorithm (IFK), when compared against well-known algorithms such as Reverse-Cuthill-McKee (RCM), Gibbs (GBS), Gibbs-Poole-Stockmeyer (GPS) and Sloan’s (SLN) over 101 test cases from the Boeing-Harwell sparse matrix cases, achieves significant performance improvement in profile and bandwidth reduction and execution time.

Share and Cite:

Khatib, I.F. (2025) Another Look at Node Renumbering. Open Access Library Journal, 12, 1-1. doi: 10.4236/oalib.1113079.

1. Introduction

Node renumbering is an important step in the solution of sparse systems of equations. It aims to reduce the bandwidth and profile of the matrix. This allows for the speeding up of the solution of the system or allows for the addressing of even larger systems than otherwise would be possible. Research on this topic dates to the late sixties. In most of these algorithms nodal degree is an important consideration (c.f. TERMINOLOGY section below).

However, the earliest algorithms looked at the maximum difference in adjacent node numbers and attempted an iterative approach combined with some logic to propose a new ordering [1] [2]. These algorithms were limited in the size of matrices they could handle. They were superseded by so-called direct algorithms. Most of these direct algorithms relied on building a rooted level structure (RLS) based on some start node and proceeded with the numbering nodes successively down the levels of the RLS. As such, these algorithms comprise two main phases. The first phase consists of searching for the deepest (and narrowest) RLS, the motivation being theoretical results [3] that relate the actual bandwidth to the largest level width in the RLS. The second phase consists of actual renumbering of nodes, generally proceeding level by level down the RLS.

The algorithms differ from one another in how they deal with each of the two phases and how much effort is spent on obtaining a deep and narrow starting RLS and what tricks are used to limit the bandwidth to a value below the theoretical upper bound.

The new algorithm is described in section 2, the test methodology is outlined in section 3. The test results are reviewed in section 4, profile and bandwidth reduction in section 4.1, execution time in section 4.2 and the resulting matrix profiles in section 4.3. Conclusion in section 5 summarizes the findings. Appendix 1 contains the detailed numerical result tables. Appendix 2 shows the profile of some matrices on which all algorithms failed to improve the profile or bandwidth. Appendix 3 contains a result comparison of classical algorithms as programmed in this work against published results.

2. Algorithm

The proposed algorithm focuses on the maximum difference in adjacent node numbers as the driving criterion. In this focus it is like the earlier iterative algorithms, but it differs in that it adopts an RLS approach to proceed with the renumbering. The use of an RLS allows numbering of the nodes in a logical sequence based on their connectivity. The algorithm starts with the adjacency list for each node in the matrix and proceeds as follows:

1-For each node I collect the maximum difference in node numbers in its adjacency list NDI = max(abs(NINK) for NK label of node K in adj(I)).

2-For each node NI calculate the average maximum difference ADI = sum(NDk for Nk in adj(I))/DEGI where DEGI is the degree of node I (or length of adjacency list of I adj(I)).

3-Pick node S with highest ADS not already stored in the set of starting nodes already visited and build a rooted level structure RLS rooted at S. Record S in a set of starting nodes. Label S as the first node.

4-Looping over the levels of the RLS, order the nodes of each level in order of decreasing ADK and then label them sequentially.

5-Calculate NDI based on the new labeling. Calculate the new bandwidth (max of NDI) and the new profile (sum of NDI).

6-If the new bandwidth is less than the current “best bandwidth”, set the “best bandwidth” equal to the new bandwidth and the “best ordering” equal to the new ordering. (The initial “best ordering” is the initial ordering, and the “best bandwidth” is based on the initial ordering). If the difference between the new “best bandwidth” and the previous "best bandwidth” is less than a certain percentage of the “best bandwidth” set the “done” flag to true.

7-If the number of iterations exceeds a preset value, set the “done” flag to true. If the “done” flag is false go back to step 2, otherwise terminate and return the “best ordering” calculated so far.

8-Reverse “best ordering”. This improves on the profile for the same best bandwidth.

The maximum difference in node number ND is the goal that needs to be reduced, and therefore it makes sense to look at it directly. The summation of NDs over a node’s adjacency list allows for the prioritization of the nodes that have large NDs that need to be reduced first. Here, one can have two choices: 1) either look at the sum of NDs over a node’s adjacency list or 2) divide this sum by the nodal degree (as is done in step 2 of the algorithm above). The first choice can find solutions in cases where the second choice doesn’t, particularly for large matrix dimensions. However, testing indicates that the second choice is generally more effective than the first in finding optimal numbering, it is the one finally retained.

One variant considered is to adopt in step 4 Gibb’s approach of labeling nodes in groups according to their adjacency to nodes in the previous level. This should ensure that the bandwidth obtained is significantly smaller than the width of the level. After some tests this option achieved only minor improvements in profile but a slight increase in bandwidth at the cost of increased computation time (x15 on average). It is finally discarded.

3. Test Methodology

To test the new algorithm, it was programmed in C++ under Microsoft Visual Studio along with the RCM, GBS, GPS and SLN algorithms. As there are many variants and interpretations of these algorithms, below is a brief description of the implementation used for the comparison:

3.1. Reverse Cuthill-McKee (RCM)

The original algorithm [4] looped over the nodes of minimum degree to generate an RLS, label the nodes and retain the best label (minimum bandwidth and minimum profile after inverting the number as per George and Liu recommendations [5] [6]). As this approach is too time consuming for large matrices, Gibbs’ approach [7] is adopted to find a starting RLS of maximum length and minimum width.

We loop over the set of nodes of minimum degree to obtain an RLS of maximum length and minimum width. Then, from the nodes in the last level of this RLS, we repeat the process to obtain another RLS with maximum length and minimum width. We retain the tallest (and narrowest in case of equal length) RLS as the starting RLS.

Looping over the levels of the RLS, we order the nodes of each level by increasing degree and label them sequentially. Finally, we reverse the labelling according to George and Liu’s recommendations.

3.2. Gibbs (GBS)

For the first phase, we loop over the set of nodes of minimum degree to obtain and RLS of maximum length and minimum width. Then, from the nodes in the last level of this RLS, we repeat the process to obtain another RLS with maximum length and minimum width. We retain the tallest RLS as the starting RLS.

For the second phase, as we loop over the levels, we obtain the intersection of its adjacency list for each node at a level with the next level and label these nodes sequentially. The details are explained in Gibbs’ [8].

3.3. Gibbs-Poole-Stockmeyer (GPS)

For the first phase, we loop over the set of nodes of minimum degree to obtain and RLS of maximum length and minimum width. Then, from the nodes in the last level of this RLS, we repeat the process to obtain another RLS with maximum length and minimum width. Then, we generate a pair of indices for each node based on their distance from each of the roots of the two RLS. Thus, nodes with identical numbers in the pair belong to a new RLS (the “intersection of the two RLSs”). Then, an elaborate procedure is applied to assign the remaining nodes to the levels of this last RLS.

For the second phase, as we loop over the levels, we obtain for each node in a level the intersection of its adjacency list with the next level and label these nodes sequentially. The details are explained in Gibbs-Poole-Stockmeyer [7].

3.4. Sloan (SLN)

For the first phase, we loop over the set of nodes of minimum degree to obtain and RLS of maximum length and minimum width. Then, from the nodes in the last level of this RLS, we repeat the process to obtain another RLS with maximum length and minimum width. The RLS with the narrowest width is considered the starting RLS, and its root node is the start node. The other RLS is considered as the ending RLS, and its root node is the end node.

For the second phase, nodes are assigned to categories such as inactive, pre-active, active, and inactive. A priority is calculated for each node based on its distance from the end node and its “effective degree”. Nodes are labeled according to their category and priority. A protocol is applied to transfer a node from one category to another. Details are in Sloan’s paper [9]. The weights used for distance from end node and effective degree are 1 and 2, respectively.

The test cases are obtained from Boeing Harwell’s suite of sparse matrix files (http://math.nist.gov/MatrixMarket/data/Harwell-Boeing). Initially, 120 test cases were considered (BCSPWR01 to BCSPWR10, BCSSTK01 to BCSSTK33, CAN series, CEGB series, DWT series, JAGMESH1 to JAGMESH9, LOCK series, LSHP series, NOS1 to NOS7, BLCKHOLE and SSTMODEL). It was found that for some test cases (19), all five algorithms (RCM, IFK, GBS, GPS, SLN) failed to obtain a better ordering (smaller bandwidth and smaller profile). Upon closer look at the matrix profile, it is found that these are already ordered in an optimal manner as can be seen from the figures below (APPENDIX 2).

The results of the RCM, GBS, GPS and SLN algorithms as programmed in C++ were compared to published results [10]-[12]. In some cases, the bandwidths or profiles obtained are higher than the published results and, in some cases, they are slightly lower (APPENDIX 3). One can conclude that the algorithms as programmed are valid for comparison purposes.

4. Test Results

The properties of the retained 101 cases are detailed in Appendix 1 Table A1. The matrix dimensions range from 24 to 44,609 and the number of non-zeros range from 167 to 2,072,376. The sparsity (ratio of non-zeros to square of dimension) ranges from 0.1% to 30.4%. The initial normalized profile (2 x profile/square of dimension) ranges from 0.7% to 97.1%. The initial normalized bandwidth (bandwidth/(dimension − 1)) ranges from 0.4% to 100%.

In assessing the performance of the new algorithm, we measure the percent reduction in profile and the percent reduction in bandwidth against the initial profile and bandwidth as well as against the other algorithms. The duration of reordering is monitored as well.

4.1. Bandwidth and Profile Reduction

Over the 101 retained cases there are cases where one or more algorithms fail to improve on the original ordering while others do obtain an improvement. There are 4 cases (DWT1007, DWT361, DWT869, LOCK1074) where IFK is the only one that fails at improving on the original ordering.

On the other hand, there are 8 cases (BCSSTK11, CAN445, DWT87, DWT193, DWT198, JAGMESH5, JAGMESH8, LOCK2232) where the IFK algorithm achieves the maximum improvement in bandwidth and/or profile reduction. In addition, there are 59 cases where the new algorithm achieves an improvement in bandwidth and profile over all the other algorithms.

  • The average profile reduction of the new algorithm is 31%, compared to 29% for RCM, 31% for GBS, 26% for GPS and 36% for SLN.

  • The maximum profile reduction of the new algorithm is 90%, compared to 89% for RCM, 90% for GBS, 86% for GPS and 94% for SLN.

  • The average bandwidth reduction of the new algorithm is 47%, compared to 46% for RCM, 47% for GBS, 34% for GPS and 42% for SLN.

  • The maximum bandwidth reduction of the new algorithm is 97%, compared to 97% for RCM, 98% for GBS, 97% for GPS and 97% for SLN.

  • The new algorithm achieves a reduction in profile in 84 of the 101 cases, compared to 78 for RCM, 81 for GBS, 74 for GPS and 83 for SLN.

  • The new algorithm achieves a bandwidth reduction in 78 of the 101 cases, compared to 75 for RCM, 79 for GBS, 74 for GPS and 78 for SLN.

The detailed numbers are collected in APPENDIX 1 Table A2 and Table A3. The new algorithm’s relative improvement in profile versus the other algorithms can best be described by Figure 1 below, which plots the probability density of the extra improvement in profile of IFK versus each of the other algorithms. The new algorithm tends to achieve better profile reduction than GPS.

Figure 1. IFK profile extra reduction distribution.

The new algorithm is more effective in improving bandwidth than profile as is shown in Figure 2 below, which plots the probability density of the extra improvement in bandwidth of IFK versus each of the other algorithms. The new algorithm’s bandwidth is likely to be better than that computed by GPS, RCM or SLN.

Figure 2. IFK bandwidth extra reduction distribution.

Figure 3 below captures the scatter of the new algorithm’s improvement in profile and bandwidth over the other algorithms. Again, the improvements in bandwidth are more likely to be positive than those in profile which are equally scattered in the positive and negative range.

For bandwidth:

•Compared to RCM, it achieves a maximum improvement of 74%.

•Compared to GBS, it achieves a maximum improvement of 71%.

•Compared to GPS, it achieves a maximum improvement of 93%.

•Compared to SLN, it achieves a maximum improvement of 83%.

For profile:

•Compared to RCM, it achieves a maximum improvement of 31%.

•Compared to GBS, it achieves a maximum improvement of 31%.

•Compared to GPS, it achieves a maximum improvement of 65%.

•Compared to SLN, it achieves a maximum improvement of 68%.

Table A3 in Appendix 1 below shows the relative performance of IFK versus the other reference algorithms.

We attempted plotting the percent reduction in profile of all algorithms against either matrix dimension, number of zeros, sparsity or initial normalized profile. No clear trend emerged with any of these quantities. Hence, we retained the plot below as it most clearly shows the scatter in profile reduction for all algorithms. All algorithms show considerable performance scatter across the test cases used. The SLN algorithm tends to lead in profile reduction.

Similarly, the figure below shows the scatter of percent reduction in bandwidth plotted against the normalized initial bandwidth.

Again, all algorithms show considerable scatter across the test cases used. Maximum reduction in bandwidth tends to occur in cases where the initial bandwidth was high. The IFK algorithm tends to have higher bandwidth reduction than the other algorithms. The figures below illustrate the relative performance of the IFK algorithm versus the other reference algorithms.

IFK tends to consistently achieve better profile reduction than GPS but consistently lags behind SLN, which is the leader in profile reduction.

IFK tends to achieve better performance than all the other algorithms in bandwidth reduction, particularly against GPS and then SLN. The closest contender in bandwidth reduction is GBS. Figures 4-7 illustrate various aspects of the algorithm’s performance as indicated in the figures’ titles.

Figure 3. IFK bandwidth and profile improvement scatter.

Figure 4. Percent reduction in profile against normalized initial profile.

Figure 5. Percent reduction in bandwidth against normalized initial bandwidth.

Figure 6. Extra profile reduction of IFK algorithm against the other reference algorithms.

Figure 7. Extra bandwidth reduction of IFK algorithm against the other reference algorithms.

4.2. Reordering Time

Besides bandwidth and profile reduction, execution time is an important consideration. Figures 8-10 below illustrate the relative speeds of the various algorithms compared. The runs were executed on an HP ZBook 15 G3 with an Intel Xeon CPU-1505 M v5 running at 2.8 Ghz with 64 GB of system memory under Windows 10 Pro 64 bit version as a console app.

Figure 8. Variation of reordering time versus matrix dimension.

One important aspect of tuning the algorithm is balancing the convergence tolerance on bandwidth and the maximum number of iterations allowed. Tightening the convergence tolerance requires increasing the maximum number of iterations allowed. This tends to increase the reordering time, particularly for the cases where the algorithm fails to improve on the initial ordering.

Through testing, a convergence tolerance of 1% was adopted and a maximum number of iterations equal to 2 * (N_nzero/N_dim) were found optimal, where N_nzero is the number of non-zero terms in the matrix and N_dim is the dimension of the square symmetric matrix. When the algorithm finds a successful ordering, it uses less iterations than the maximum number of iterations set. When it fails to find a successful ordering, the maximum number of iterations consumed is still limited.

As both axes are logarithmic, the relationship between reordering time and matrix dimension is a power relation. The 0.000 on the time axis indicates that the execution time is shorter than 1ms. The SLN algorithm tends to have the longest run time. The IFK algorithm is faster than many other algorithms, particularly for large matrices.

Figure 9. Percent profile reduction versus reordering time.

Figure 10. Percent bandwidth reduction versus reordering time.

At any profile reduction percentage, the IFK algorithm tends to have the shortest reordering time.

Again, at any bandwidth reduction percentage, the IFK algorithm times tend to be among the shortest. Alternatively, for any reordering time, the IFK algorithm bandwidth reduction tends to be among the highest.

4.3. Matrix Profile

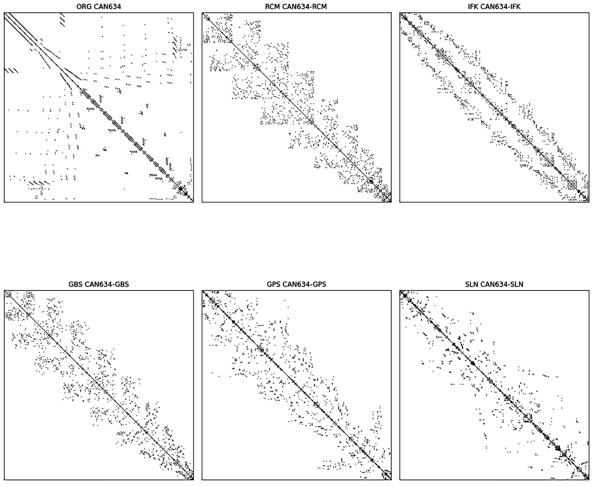
Finally, Figures 11-14 below show the kind of reordering obtained by the IFK algorithm compared to the other algorithms. To demonstrate the versatility of solutions found, these cases are picked among those where all algorithms find an optimal renumbering. In the figures below, the original matrix non-zeros pattern is in the top row to the left. The RCM pattern is in the top row in the middle. The IFK pattern is in the top row to the right. The GBS pattern is in the bottom row to the left. The GPS pattern is in the bottom row in the middle. The SLN pattern is in the bottom row to the right.

Figure 11. CAN62.

IFK obtained a 30% reduction in profile: 20% better than RCM, 13% better than GBS, 12% better than GPS and 1% less than SLN. IFK obtained a 77% reduction in bandwidth: 4% better than RCM, 2% better than GBS, 13% better than GPS and 15% better than SLN.

IFK obtained a 55% reduction in profile: 20% better than RCM, 17% better than GBS, 25% better than GPS and 12% less than SLN. IFK obtained a 54% reduction in bandwidth: 19% better than RCM, 18% better than GBS, 30% better than GPS and 38% better than SLN.

Figure 12. CAN256.

Figure 13. BCSPWR05.

IFK obtained a 65% reduction in profile: 14% better than RCM, 13% better than GBS, 28% better than GPS and 12% less than SLN. IFK obtained a 79% reduction in bandwidth: equal to RCM, 1% less than GBS, 70% better than GPS and 25% better than SLN.

IFK obtained a 43% reduction in profile: 14% better than RCM, 10% better than GBS, 5% better than GPS and 14% less than SLN. IFK obtained a 71% reduction in bandwidth: 6% better than RCM, 3% better than GBS, 17% better than GPS and 16% better than SLN.

Figure 14. CAN634.

5. Conclusion

A new node renumbering algorithm is presented that adopts a different principle than the other reference algorithms currently in use. As all algorithms are based on heuristic principles, no one can claim to be superior to the others except by their performance on actual cases. In the comparisons done, it is shown that the new algorithm has performance that can significantly exceed that of the other reference algorithms, particularly in bandwidth reduction. Its execution time is often faster than that of the other algorithms. In addition, it has the potential to be run on parallel processors to further speed up the execution.

Conflicts of Interest

The author declares no conflicts of interest.

Terminology

Adjacency list: The adjacency list of a node is the list of nodes connected to this node by an edge in the graph. In a symmetric matrix, for node I, the adjacency list consists of the set of values J for which AIJ ≠ 0 and J ≠ I.

Nodal degree: The nodal degree is the length of the adjacency list.

Root level structure (abbreviated as RLS): The root level structure is a series of sets starting from a root node such that each consecutive set contains the nodes connected to the nodes of the previous set. The first set after the root node consists of the adjacency list of this node. The next set consists of the union of the adjacency lists of the nodes in the previous set, excluding nodes already figuring in the previous set.

Length or height of an RLS: the number of levels or sets in the RLS.

Width of an RLS level: Is the number of nodes in that level.

Width of an RLS: Is the maximum width of all the RLS level widths.

Appendix 1: Test Matrices

Table A1. Properties of test cases used.

BOEING HARWELL MATRICES

ORIGINAL

Matrix

Dimension

Non zeros

Sparsity

Profile

Bandwidth

2.Profile/Dim2

Bandwidth /Dim

BCSPWR01

39

167

11.0%

295

38

38.8%

100.0%

BCSPWR02

49

214

8.9%

450

34

37.5%

70.8%

BCSPWR03

118

592

4.3%

1,427

115

20.5%

98.3%

BCSPWR04

274

1,876

2.5%

23,979

265

63.9%

97.1%

BCSPWR05

443

2,063

1.1%

42,534

435

43.3%

98.4%

BCSPWR06

1,454

6,751

0.3%

81,554

1,341

7.7%

92.3%

BCSPWR07

1,612

7,433

0.3%

96,670

1,487

7.4%

92.3%

BCSPWR08

1,624

7,671

0.3%

102,276

1,494

7.8%

92.1%

BCSPWR09

1,723

8,232

0.3%

822,213

1,663

55.4%

96.6%

BCSPWR10

5,300

27,138

0.1%

9,649,155

5,189

68.7%

97.9%

BCSSTK01

48

355

15.4%

836

35

72.6%

74.5%

BCSSTK03

112

748

6.0%

548

7

8.7%

6.3%

BCSSTK05

153

2,477

10.6%

2,449

28

20.9%

18.4%

BCSSTK06

420

7,503

4.3%

14,354

47

16.3%

11.2%

BCSSTK08

1,074

13,596

1.2%

238,694

590

41.4%

55.0%

BCSSTK09

1,083

19,145

1.6%

62,579

62

10.7%

5.7%

BCSSTK10

1,086

21,907

1.9%

36,981

37

6.3%

3.4%

BCSSTK11

1,473

33,773

1.6%

134,185

650

12.4%

44.2%

BCSSTK14

1,806

58,396

1.8%

189,800

161

11.6%

8.9%

BCSSTK16

4,884

263,859

1.1%

610,131

140

5.1%

2.9%

BCSSTK19

817

7,648

1.1%

74,053

567

22.2%

69.5%

BCSSTK27

1,224

57,335

3.8%

49,292

56

6.6%

4.6%

BCSSTK29

13,992

633,470

0.3%

7,441,194

1,157

7.6%

8.3%

BCSSTK31

35,588

1,216,983

0.1%

23,168,692

1,668

3.7%

4.7%

BCSSTK32

44,609

2,059,280

0.1%

110,527,814

43,030

11.1%

96.5%

BCSSTK33

8,738

600,622

0.8%

3,571,397

932

9.4%

10.7%

BLCKHOLE

2,132

16,998

0.4%

188,491

1,805

8.3%

84.7%

CAN1054

1,054

13,234

1.2%

268,001

1,030

48.2%

97.8%

CAN1072

1,072

13,500

1.2%

277,254

1,048

48.3%

97.9%

CAN144

144

1,431

6.9%

7,356

142

70.9%

99.3%

CAN161

161

1,529

5.9%

3,379

79

26.1%

49.4%

CAN187

187

1,672

4.8%

5,213

63

29.8%

33.9%

CAN229

229

1,997

3.8%

8,975

172

34.2%

75.4%

CAN24

24

175

30.4%

261

21

90.6%

91.3%

CAN256

256

3,163

4.8%

19,635

251

59.9%

98.4%

CAN268

268

3,337

4.6%

18,279

263

50.9%

98.5%

CAN292

292

2,827

3.3%

23,293

282

54.6%

96.9%

CAN445

445

4,245

2.1%

22,323

403

22.5%

90.8%

CAN61

61

612

16.4%

1,574

50

84.6%

83.3%

CAN62

62

278

7.2%

453

48

23.6%

78.7%

CAN634

634

7,853

2.0%

68,595

539

34.1%

85.2%

CAN715

715

7,365

1.4%

72,425

611

28.3%

85.6%

CAN73

73

444

8.3%

799

39

30.0%

54.2%

CAN838

838

10,830

1.5%

207,201

837

59.0%

100.0%

CAN96

96

858

9.3%

1,455

31

31.6%

32.6%

CEGB2802

2,802

17,966

0.2%

3,560,497

2,798

90.7%

99.9%

CEGB2919

2,919

18,085

0.2%

4,135,834

2,791

97.1%

95.6%

CEGB3024

3,024

19,354

0.2%

3,787,382

2,473

82.8%

81.8%

CEGB3306

3,306

28,254

0.3%

4,225,634

3,233

77.3%

97.8%

DWT1005

1,005

9,617

1.0%

121,087

851

24.0%

84.8%

DWT1007

1,007

9,578

0.9%

25,817

986

5.1%

98.0%

DWT1242

1,242

11,662

0.8%

110,196

936

14.3%

75.4%

DWT162

162

1,340

5.1%

2,646

156

20.2%

96.9%

DWT193

193

3,678

9.9%

7,761

62

41.7%

32.3%

DWT198

198

1,586

4.0%

5,689

36

29.0%

18.3%

DWT209

209

1,947

4.5%

9,504

184

43.5%

88.5%

DWT221

221

1,843

3.8%

9,911

187

40.6%

85.0%

DWT245

245

1,702

2.8%

3,960

115

13.2%

47.1%

DWT2600

2,680

27,695

0.4%

587,958

2,499

16.4%

93.3%

DWT310

310

2,754

2.9%

2,697

28

5.6%

9.1%

DWT346

346

3,565

3.0%

9,316

318

15.6%

92.2%

DWT361

361

3,310

2.5%

5,086

50

7.8%

13.9%

DWT419

419

3,975

2.3%

39,733

356

45.3%

85.2%

DWT492

492

3,642

1.5%

33,965

435

28.1%

88.6%

DWT503

503

6,524

2.6%

35,916

452

28.4%

90.0%

DWT512

512

4,013

1.5%

6,162

73

4.7%

14.3%

DWT59

59

322

9.3%

408

25

23.4%

43.1%

DWT592

592

5,689

1.6%

28,806

259

16.4%

43.8%

DWT607

607

5,734

1.6%

30,019

147

16.3%

24.3%

DWT66

66

384

8.8%

648

44

29.8%

67.7%

DWT758

758

6,748

1.2%

23,116

200

8.0%

26.4%

DWT869

869

8,150

1.1%

19,529

586

5.2%

67.5%

DWT87

87

621

8.2%

2,250

63

59.5%

73.3%

DWT878

878

8,322

1.1%

26,059

519

6.8%

59.2%

DWT918

918

8,294

1.0%

108,358

839

25.7%

91.5%

DWT992

992

17,728

1.8%

262,307

513

53.3%

51.8%

JAGMESH1

936

7,196

0.8%

37,241

778

8.5%

83.2%

JAGMESH2

1,009

7,867

0.8%

54,299

991

10.7%

98.3%

JAGMESH3

1,089

8,447

0.7%

70,875

1,058

12.0%

97.2%

JAGMESH4

1,440

10,940

0.5%

44,472

1,408

4.3%

97.8%

JAGMESH5

1,180

8,926

0.6%

34,854

757

5.0%

64.2%

JAGMESH6

1,377

10,367

0.5%

28,754

331

3.0%

24.1%

JAGMESH7

1,138

8,583

0.7%

42,016

903

6.5%

79.4%

JAGMESH8

1,141

8,602

0.7%

34,431

225

5.3%

19.7%

JAGMESH9

1,349

10,445

0.6%

69,013

1,024

7.6%

76.0%

LOCK1074

1,068

13,139

1.2%

483,440

1,008

84.8%

94.5%

LOCK2232

2,232

24,724

0.5%

1,798,963

1,687

72.2%

75.6%

LOCK3491

3,491

32,917

0.3%

4,981,162

2,931

81.7%

84.0%

LSHP1009

1,009

7,867

0.8%

54,299

991

10.7%

98.3%

LSHP1270

1,270

9,931

0.6%

77,526

1,250

9.6%

98.5%

LSHP1561

1,561

12,235

0.5%

106,636

1,539

8.8%

98.7%

LSHP1882

1,882

14,779

0.4%

142,298

1,858

8.0%

98.8%

LSHP2233

2,233

17,563

0.4%

185,181

2,207

7.4%

98.9%

LSHP2614

2,614

20,587

0.3%

235,954

2,586

6.9%

99.0%

LSHP265

265

2,011

2.9%

6,841

256

19.5%

97.0%

LSHP3025

3,025

23,851

0.3%

295,286

2,995

6.5%

99.0%

LSHP3446

3,466

27,355

0.2%

363,846

3,434

6.1%

99.1%

LSHP406

406

3,115

1.9%

13,226

394

16.0%

97.3%

LSHP577

577

4,459

1.3%

22,818

563

13.7%

97.7%

LSHP778

778

6,043

1.0%

36,286

762

12.0%

98.1%

NOS1

237

1,252

2.2%

788

4

2.8%

1.7%

NOS2

957

5,092

0.6%

3,188

4

0.7%

0.4%

NOS6

675

3,927

0.9%

16,230

30

7.1%

4.5%

Table A2. Numerical results.

Matrix

RCM

IFK

GBS

GPS

SLN

Profile

Bandwidth

Time

Profile

Bandwidth

Time

Profile

Bandwidth

Time

Profile

Bandwidth

Time

Profile

Bandwidth

Time

BCSPWR01

169

9

0.000

210

10

0.000

162

7

0.001

131

7

0.000

156

10

0.000

BCSPWR02

450

34

0.000

389

17

0.000

437

16

0.001

319

20

0.001

324

16

0.000

BCSPWR03

1,075

27

0.001

918

23

0.001

1,115

27

0.001

1,427

115

0.001

923

34

0.001

BCSPWR04

7,906

64

0.004

5,897

55

0.003

7,915

61

0.005

13,206

255

0.004

3,953

108

0.006

BCSPWR05

20,841

91

0.014

14,814

91

0.002

20,186

85

0.017

26,732

396

0.015

9,746

201

0.016

BCSPWR06

81,554

1,341

0.105

81,554

1,341

0.008

81,554

1,341

0.112

81,554

1,341

0.108

50,418

339

0.134

BCSPWR07

96,670

1,487

0.157

96,670

1,487

0.008

96,670

1,487

0.148

96,670

1,487

0.123

69,635

344

0.183

BCSPWR08

102,276

1,494

0.149

102,276

1,494

0.009

102,276

1,494

0.160

102,276

1,494

0.139

61,499

371

0.177

BCSPWR09

174,037

212

0.178

130,501

198

0.009

164,317

204

0.164

156,819

1,226

0.207

75,288

524

0.199

BCSPWR10

1,016,420

481

0.285

928,846

530

0.037

988,429

489

0.412

2,484,907

4,339

0.286

543,754

878

0.848

BCSSTK01

596

27

0.000

578

28

0.001

599

27

0.000

532

24

0.000

836

35

0.001

BCSSTK03

282

5

0.001

282

5

0.001

282

5

0.002

548

7

0.002

293

7

0.001

BCSSTK05

2,449

28

0.003

2,269

28

0.006

2,449

28

0.002

2,449

28

0.001

2,449

28

0.003

BCSSTK08

238,694

590

0.009

223,504

532

0.025

238,694

590

0.105

238,694

590

0.010

238,694

590

0.079

BCSSTK09

62,579

62

0.096

62,263

62

0.050

62,579

62

0.090

62,579

62

0.069

62,579

62

0.166

BCSSTK10

36,981

37

0.025

36,981

37

0.054

36,981

37

0.016

21,419

35

0.017

36,981

37

0.091

BCSSTK11

88,663

168

0.035

72,657

107

0.064

91,444

146

0.055

93,727

170

0.034

131,999

645

0.030

BCSSTK14

189,800

161

0.045

184,921

161

0.187

189,800

161

0.110

189,800

161

0.043

189,800

161

0.586

BCSSTK16

610,131

140

0.420

599,816

140

1.226

610,131

140

0.455

610,131

140

0.189

610,131

140

6.667

BCSSTK19

10,735

25

0.006

10,714

30

0.013

11,075

26

0.005

10,099

30

0.003

8,614

60

0.025

BCSSTK27

49,292

56

0.070

49,240

56

0.173

49,292

56

0.030

49,292

56

0.024

49,292

56

0.381

BCSSTK29

7,441,194

1,157

3.510

7,132,151

1,157

2.783

7,441,194

1,157

5.805

7,441,194

1,157

3.593

7,437,560

1,157

3.497

BCSSTK31

23,168,692

1,668

0.857

22,027,503

1,668

4.436

23,168,692

1,668

11.422

23,168,692

1,668

0.829

23,168,692

1,668

276.941

BCSSTK32

67,702,082

4,430

1.371

54,805,328

3,089

9.396

64,209,383

4,512

18.886

69,978,783

13,893

1.288

31,875,564

25,899

600.905

BCSSTK33

3,571,397

932

2.606

3,537,209

932

3.532

3,571,397

932

2.476

3,571,397

932

0.201

3,571,397

932

30.910

BLCKHOLE

181,637

206

0.021

185,487

177

0.021

172,494

187

0.041

178,531

201

0.016

169,451

231

0.158

CAN1054

71,251

206

0.035

54,529

172

0.024

61,227

192

0.044

128,744

491

0.032

34,129

208

0.087

CAN1072

101,084

280

0.044

94,310

347

0.004

86,880

270

0.060

170,784

690

0.045

42,774

582

0.123

CAN144

1,600

22

0.006

1,408

21

0.003

1,564

21

0.006

1,210

23

0.006

1,023

19

0.007

CAN161

2,611

31

0.004

2,774

31

0.003

2,611

31

0.003

2,611

29

0.002

2,637

44

0.003

CAN187

2,628

28

0.002

2,527

25

0.002

2,544

32

0.002

2,777

56

0.001

2,355

42

0.002

CAN229

5,716

59

0.003

5,427

53

0.003

5,549

55

0.005

5,332

65

0.003

5,099

109

0.004

CAN24

114

10

0.000

103

9

0.000

114

10

0.000

108

7

0.000

105

9

0.001

CAN256

12,712

163

0.003

8,816

115

0.006

12,177

160

0.005

13,762

190

0.003

6,428

211

0.005

CAN268

11,428

136

0.004

7,904

103

0.006

9,453

125

0.007

13,254

167

0.005

5,432

223

0.007

CAN292

11,302

104

0.010

10,255

76

0.005

10,893

97

0.011

11,330

169

0.009

9,561

211

0.014

CAN445

22,323

403

0.006

22,198

116

0.007

22,323

403

0.010

22,323

403

0.003

17,186

257

0.010

CAN61

555

27

0.001

425

19

0.001

543

26

0.001

634

28

0.000

370

20

0.001

CAN62

408

13

0.001

319

11

0.001

380

12

0.001

372

17

0.001

315

18

0.000

CAN634

48,186

185

0.007

38,779

155

0.014

45,742

169

0.017

42,151

249

0.007

29,056

241

0.026

CAN715

52,272

168

0.017

41,979

132

0.014

46,909

169

0.023

61,714

574

0.014

27,746

216

0.032

CAN838

57,062

198

0.043

43,230

165

0.027

52,466

191

0.083

70,563

418

0.049

29,272

308

0.079

CAN96

1,325

31

0.003

1,272

29

0.002

1,215

23

0.003

1,253

29

0.003

1,192

31

0.002

CEGB2802

3,349,701

2,479

2.471

3,516,466

2,546

0.031

3,397,712

2,527

2.467

3,512,846

2,672

2.394

3,560,497

2,798

2.656

CEGB2919

2,367,123

1,968

0.482

2,424,039

1,786

0.030

2,166,754

1,948

0.568

2,511,941

2,700

0.525

1,274,451

2,395

0.776

CEGB3024

3,659,587

2,271

0.303

3,787,382

2,473

0.034

3,543,442

2,328

0.512

3,787,382

2,473

0.296

3,787,382

2,473

0.574

CEGB3306

4,225,634

3,233

6.324

4,225,634

3,233

0.061

4,225,634

3,233

6.616

4,225,634

3,233

6.284

2,887,457

3,217

6.876

DWT1005

67,845

173

0.025

44,575

88

0.016

49,751

166

0.020

48,082

201

0.010

37,132

218

0.044

DWT1007

24,572

58

0.023

25,817

986

0.014

23,555

58

0.019

24,734

274

0.015

22,249

68

0.049

DWT1242

65,525

153

0.015

75,974

129

0.020

61,654

154

0.027

80,148

545

0.015

41,084

308

0.075

DWT162

1,756

24

0.002

1,625

21

0.003

1,619

26

0.002

1,675

34

0.001

1,398

29

0.001

DWT193

7,761

62

0.006

5,365

54

0.008

7,761

62

0.005

7,761

62

0.004

7,761

62

0.006

DWT198

1,558

18

0.002

1,471

18

0.002

1,426

20

0.002

2,309

28

0.002

5,341

35

0.002

DWT209

4,986

59

0.001

3,946

47

0.003

4,733

49

0.002

5,109

84

0.001

3,569

70

0.003

DWT221

2,477

24

0.003

2,496

26

0.003

2,312

22

0.002

2,479

48

0.002

1,812

30

0.005

DWT245

3,960

115

0.002

3,960

115

0.003

3,960

115

0.003

3,960

115

0.001

3,477

110

0.004

DWT2600

118,939

125

0.014

116,840

122

0.053

112,515

120

0.036

117,429

203

0.014

89,591

155

0.329

DWT310

2,697

28

0.004

2,697

28

0.004

2,697

28

0.003

2,697

28

0.002

2,671

20

0.005

DWT346

9,316

318

0.005

9,316

318

0.007

9,316

318

0.006

9,316

318

0.007

8,754

317

0.004

DWT361

4,973

24

0.006

5,086

50

0.005

4,732

24

0.005

4,741

18

0.006

4,683

36

0.007

DWT419

10,365

56

0.016

9,564

57

0.006

10,014

52

0.017

11,602

110

0.014

6,818

109

0.018

DWT492

8,315

41

0.007

7,490

35

0.006

7,893

38

0.008

8,103

68

0.007

11,361

200

0.009

DWT503

19,089

90

0.005

18,225

87

0.014

18,478

93

0.017

25,789

248

0.009

14,543

190

0.022

DWT512

6,162

73

0.034

5,958

36

0.007

6,162

73

0.033

6,162

73

0.031

6,085

73

0.032

DWT59

348

12

0.000

313

10

0.001

335

11

0.000

312

11

0.001

319

21

0.000

DWT592

16,913

63

0.006

11,824

52

0.010

15,614

62

0.009

28,806

259

0.006

13,147

62

0.024

DWT607

19,551

92

0.018

17,542

84

0.012

18,350

87

0.022

26,226

102

0.019

17,988

130

0.026

DWT66

166

4

0.001

155

4

0.001

138

4

0.001

165

4

0.000

136

5

0.000

DWT758

8,984

46

0.010

12,038

40

0.020

7,947

42

0.009

8,487

39

0.007

7,238

85

0.026

DWT869

17,651

71

0.017

19,529

586

0.015

16,590

62

0.016

17,280

301

0.013

14,587

107

0.037

DWT87

1,064

28

0.001

782

24

0.002

1,019

26

0.001

2,250

63

0.001

636

31

0.001

DWT878

21,437

57

0.017

25,168

58

0.011

20,378

61

0.015

21,702

239

0.011

19,059

60

0.040

DWT918

26,934

86

0.033

24,980

66

0.014

24,502

81

0.037

25,798

84

0.026

19,999

193

0.054

DWT992

41,352

88

0.043

40,668

76

0.035

41,872

91

0.028

37,952

269

0.020

33,679

127

0.091

JAGMESH1

22,833

50

0.010

23,156

51

0.009

21,633

45

0.009

22,258

47

0.004

21,555

51

0.035

JAGMESH2

26,630

61

0.015

28,311

58

0.011

24,979

64

0.009

30,196

290

0.006

24,577

78

0.033

JAGMESH3

25,413

63

0.034

27,912

55

0.011

24,465

47

0.008

24,983

55

0.004

24,478

65

0.042

JAGMESH4

28,378

38

0.024

31,297

48

0.016

26,338

30

0.009

27,528

38

0.005

26,326

39

0.064

JAGMESH5

26,178

57

0.015

30,251

51

0.012

24,419

49

0.013

34,854

757

0.009

23,709

83

0.047

JAGMESH6

21,735

47

0.012

23,253

42

0.015

19,862

40

0.009

20,988

41

0.007

19,317

72

0.058

JAGMESH7

29,958

63

0.006

26,404

56

0.013

27,725

63

0.012

36,603

255

0.006

25,114

108

0.038

JAGMESH8

34,431

225

0.016

34,315

59

0.012

32,512

77

0.017

33,896

135

0.011

28,236

113

0.054

JAGMESH9

39,899

76

0.022

41,384

66

0.013

38,585

75

0.013

39,349

77

0.007

37,040

113

0.060

LOCK1074

442,866

855

0.045

483,440

1,008

0.008

400,754

910

0.056

327,953

867

0.020

142,082

1,000

0.087

LOCK2232

1,798,963

1,687

0.574

1,239,075

1,532

0.050

1,295,606

1,614

0.679

1,798,963

1,687

0.541

1,798,963

1,687

0.752

LOCK3491

4,437,755

2,522

1.639

4,921,557

2,430

0.067

4,292,267

2,512

1.902

4,981,162

2,931

1.624

1,486,816

2,506

2.134

LSHP1009

26,630

61

0.031

28,311

58

0.012

24,979

64

0.011

30,196

290

0.006

24,577

78

0.033

LSHP1270

37,329

69

0.018

36,563

60

0.015

35,194

72

0.013

42,400

358

0.008

34,672

88

0.067

LSHP1561

50,535

77

0.027

51,781

71

0.018

47,855

80

0.016

57,568

433

0.009

47,228

98

0.076

LSHP1882

66,549

85

0.031

68,276

79

0.020

63,259

88

0.025

75,896

515

0.011

62,486

108

0.110

LSHP2233

85,597

93

0.042

84,697

78

0.024

81,639

96

0.025

97,825

604

0.013

80,739

118

0.156

LSHP2614

107,990

101

0.053

107,130

84

0.027

103,296

104

0.046

123,518

700

0.017

102,224

128

0.221

LSHP265

3,779

29

0.003

4,463

28

0.004

3,439

32

0.002

4,200

88

0.002

3,334

38

0.003

LSHP3025

133,944

109

0.066

137,349

103

0.031

128,459

112

0.039

153,450

803

0.019

127,238

138

0.274

LSHP3446

163,780

117

0.081

160,488

106

0.035

157,433

120

0.052

187,746

913

0.020

156,014

148

0.372

LSHP406

7,040

37

0.005

6,907

29

0.005

6,468

40

0.003

7,855

128

0.002

6,308

48

0.007

LSHP577

11,754

45

0.008

11,521

36

0.006

10,883

48

0.006

13,225

175

0.003

10,658

58

0.011

LSHP778

18,202

53

0.011

19,604

46

0.010

16,973

56

0.008

20,548

229

0.005

16,654

68

0.023

NOS1

479

4

0.002

788

4

0.002

479

4

0.002

475

3

0.002

788

4

0.003

NOS2

1,919

4

0.007

3,188

4

0.007

1,919

4

0.004

1,915

3

0.005

3,188

4

0.013

NOS6

9,592

29

0.008

9,915

29

0.004

9,110

29

0.006

9,607

29

0.003

16,230

30

0.013

Table A3. Relative performance of algorithm IFK versus the other reference algorithms.

Matrix

IFK vs RCM

IFK vs GBS

IFK vs GPS

IFK vs SLN

Profile red.

Bandwidth red.

Profile red.

Bandwidth red.

Profile red.

Bandwidth red.

Profile red.

Bandwidth red.

BCSPWR01

−14%

−3%

−16%

−8%

−27%

−8%

−18%

0%

BCSPWR02

14%

50%

11%

−3%

−16%

9%

−14%

−3%

BCSPWR03

11%

3%

14%

3%

36%

80%

0%

10%

BCSPWR04

8%

3%

8%

2%

30%

75%

−8%

20%

BCSPWR05

14%

0%

13%

−1%

28%

70%

−12%

25%

BCSPWR06

0%

0%

0%

0%

0%

0%

−38%

−75%

BCSPWR07

0%

0%

0%

0%

0%

0%

−28%

−77%

BCSPWR08

0%

0%

0%

0%

0%

0%

−40%

−75%

BCSPWR09

5%

1%

4%

0%

3%

62%

−7%

20%

BCSPWR10

1%

−1%

1%

−1%

16%

73%

−4%

7%

BCSSTK01

2%

−3%

3%

−3%

−6%

−11%

31%

20%

BCSSTK03

0%

0%

0%

0%

49%

29%

2%

29%

BCSSTK05

7%

0%

7%

0%

7%

0%

7%

0%

BCSSTK08

6%

10%

6%

10%

6%

10%

6%

10%

BCSSTK09

1%

0%

1%

0%

1%

0%

1%

0%

BCSSTK10

0%

0%

0%

0%

−42%

−5%

0%

0%

BCSSTK11

12%

9%

14%

6%

16%

10%

44%

83%

BCSSTK14

3%

0%

3%

0%

3%

0%

3%

0%

BCSSTK16

2%

0%

2%

0%

2%

0%

2%

0%

BCSSTK19

0%

−1%

0%

−1%

−1%

0%

−3%

5%

BCSSTK27

0%

0%

0%

0%

0%

0%

0%

0%

BCSSTK29

4%

0%

4%

0%

4%

0%

4%

0%

BCSSTK31

5%

0%

5%

0%

5%

0%

5%

0%

BCSSTK32

12%

3%

9%

3%

14%

25%

−21%

53%

BCSSTK33

1%

0%

1%

0%

1%

0%

1%

0%

BLCKHOLE

−2%

2%

−7%

1%

−4%

1%

−9%

3%

CAN1054

6%

3%

2%

2%

28%

31%

−8%

3%

CAN1072

2%

−6%

−3%

−7%

28%

33%

−19%

22%

CAN144

3%

1%

2%

0%

−3%

1%

−5%

−1%

CAN161

−5%

0%

−5%

0%

−5%

−3%

−4%

16%

CAN187

2%

5%

0%

11%

5%

49%

−3%

27%

CAN229

3%

3%

1%

1%

−1%

7%

−4%

33%

CAN24

4%

5%

4%

5%

2%

−10%

1%

0%

CAN256

20%

19%

17%

18%

25%

30%

−12%

38%

CAN268

19%

13%

8%

8%

29%

24%

−14%

46%

CAN292

4%

10%

3%

7%

5%

33%

−3%

48%

CAN445

1%

71%

1%

71%

1%

71%

−22%

35%

CAN61

8%

16%

7%

14%

13%

18%

−3%

2%

CAN62

20%

4%

13%

2%

12%

13%

−1%

15%

CAN634

14%

6%

10%

3%

5%

17%

−14%

16%

CAN715

14%

6%

7%

6%

27%

72%

−20%

14%

CAN838

7%

4%

4%

3%

13%

30%

−7%

17%

CAN96

4%

6%

−4%

−19%

−1%

0%

−5%

6%

CEGB2802

−5%

−2%

−3%

−1%

0%

5%

1%

9%

CEGB2919

−1%

7%

−6%

6%

2%

33%

−28%

22%

CEGB3024

−3%

−8%

−6%

−6%

0%

0%

0%

0%

CEGB3306

0%

0%

0%

0%

0%

0%

−32%

0%

DWT1005

19%

10%

4%

9%

3%

13%

−6%

15%

DWT1007

−5%

−94%

−9%

−94%

−4%

−72%

−14%

−93%

DWT1242

−9%

3%

−13%

3%

4%

44%

−32%

19%

DWT162

5%

2%

0%

3%

2%

8%

−9%

5%

DWT193

31%

13%

31%

13%

31%

13%

31%

13%

DWT198

2%

0%

−1%

6%

15%

28%

68%

47%

DWT209

11%

7%

8%

1%

12%

20%

−4%

13%

DWT221

0%

−1%

−2%

−2%

0%

12%

−7%

2%

DWT245

0%

0%

0%

0%

0%

0%

−12%

−4%

DWT2600

0%

0%

−1%

0%

0%

3%

−5%

1%

DWT310

0%

0%

0%

0%

0%

0%

−1%

−29%

DWT346

0%

0%

0%

0%

0%

0%

−6%

0%

DWT361

−2%

−52%

−7%

−52%

−7%

−64%

−8%

−28%

DWT419

2%

0%

1%

−1%

5%

15%

−7%

15%

DWT492

2%

1%

1%

1%

2%

8%

11%

38%

DWT503

2%

1%

1%

1%

21%

36%

−10%

23%

DWT512

3%

51%

3%

51%

3%

51%

2%

51%

DWT59

9%

8%

5%

4%

0%

4%

1%

44%

DWT592

18%

4%

13%

4%

59%

80%

5%

4%

DWT607

7%

5%

3%

2%

29%

12%

1%

31%

DWT66

2%

0%

−3%

0%

2%

0%

−3%

2%

DWT758

−13%

3%

−18%

1%

−15%

0%

−21%

23%

DWT869

−10%

−88%

−15%

−89%

−12%

−49%

−25%

−82%

DWT87

13%

6%

11%

3%

65%

62%

−6%

11%

DWT878

−14%

0%

−18%

1%

−13%

35%

−23%

0%

DWT918

2%

2%

0%

2%

1%

2%

−5%

15%

DWT992

0%

2%

0%

3%

−1%

38%

−3%

10%

JAGMESH1

−1%

0%

−4%

−1%

−2%

−1%

−4%

0%

JAGMESH2

−3%

0%

−6%

1%

3%

23%

−7%

2%

JAGMESH3

−4%

1%

−5%

−1%

−4%

0%

−5%

1%

JAGMESH4

−7%

−1%

−11%

−1%

−8%

−1%

−11%

−1%

JAGMESH5

−12%

1%

−17%

0%

13%

93%

−19%

4%

JAGMESH6

−5%

2%

−12%

−1%

−8%

0%

−14%

9%

JAGMESH7

8%

1%

3%

1%

24%

22%

−3%

6%

JAGMESH8

0%

74%

−5%

8%

−1%

34%

−18%

24%

JAGMESH9

−2%

1%

−4%

1%

−3%

1%

−6%

5%

LOCK1074

−8%

−15%

−17%

−10%

−32%

−14%

−71%

−1%

LOCK2232

31%

9%

3%

5%

31%

9%

31%

9%

LOCK3491

−10%

3%

−13%

3%

1%

17%

−69%

3%

LSHP1009

−3%

0%

−6%

1%

3%

23%

−7%

2%

LSHP1270

1%

1%

−2%

1%

8%

24%

−2%

2%

LSHP1561

−1%

0%

−4%

1%

5%

24%

−4%

2%

LSHP1882

−1%

0%

−4%

0%

5%

23%

−4%

2%

LSHP2233

0%

1%

−2%

1%

7%

24%

−2%

2%

LSHP2614

0%

1%

−2%

1%

7%

24%

−2%

2%

LSHP265

−10%

0%

−15%

2%

−4%

23%

−17%

4%

LSHP3025

−1%

0%

−3%

0%

5%

23%

−3%

1%

LSHP3446

1%

0%

−1%

0%

7%

24%

−1%

1%

LSHP406

1%

2%

−3%

3%

7%

25%

−5%

5%

LSHP577

1%

2%

−3%

2%

7%

25%

−4%

4%

LSHP778

−4%

1%

−7%

1%

3%

24%

−8%

3%

NOS1

−39%

0%

−39%

0%

−40%

−25%

0%

0%

NOS2

−40%

0%

−40%

0%

−40%

−25%

0%

0%

NOS6

−2%

0%

−5%

0%

−2%

0%

39%

3%

max

31%

74%

31%

71%

65%

93%

68%

83%

avg

1%

2%

−1%

0%

4%

13%

−5%

6%

min

−40%

−94%

−40%

−94%

−42%

−72%

−71%

−93%

Matrix names in red indicate cases where IFK failed to find a solution. Matrix names in orange indicate cases where IFK achieved an improvement in bandwidth or profile over all the other algorithms. Matrix names in yellow indicate cases where IFK achieved the maximum improvement in bandwidth or profile over some other algorithm. Cells in pink indicates cases where IFK trails behind another algorithm in improvement.

Appendix 2: Sample Matrices Where No Improvement Could be Achieved

Appendix 3: Comparison of Computed Results with Published Results

1: Koohestani [10].

2: Barnard, Pothen and Simon [11].

3: Koohestani [10] for RCM and GK profile, Octaviu [12] for RCM bandwidth.

The shaded cells are where the calculated new profile or bandwidth is larger than the initial corresponding value. In our calculations we reset these numbers to the corresponding initial value.

Conflicts of Interest

The author declares no conflicts of interest.

References

[1] Rosen, R. (1968) Matrix Bandwidth Minimization. Proceedings of the 1968 23rd ACM National Conference, Rosenberg, 27-29 August 1968, 585-595. [Google Scholar] [CrossRef
[2] Alway, G.G. (1965) An Algorithm for Reducing the Bandwidth of a Matrix of Symmetrical Configuration. The Computer Journal, 8, 264-272. [Google Scholar] [CrossRef
[3] Smyth, W.F. (1985) Algorithms for the Reduction of Matrix Bandwidth and Profile. Journal of Computational and Applied Mathematics, 12, 551-561. [Google Scholar] [CrossRef
[4] Cuthill, E. and McKee, J. (1969) Reducing the Bandwidth of Sparse Symmetric Matrices. Proceedings of the 1969 24th National Conference, New York, 26-28 August 1969, 157-172. [Google Scholar] [CrossRef
[5] George, A. (1971) Computer Implementation of the Finite Element Method. Ph. D Dissertation Tech. Rep. STAN-CS-71-208, Computer Science Department Stanford University.
[6] Liu, W. and Sherman, A.H. (1976) Comparative Analysis of the Cuthill-McKee and the Reverse Cuthill-McKee Ordering Algorithms for Sparse Matrices. SIAM Journal on Numerical Analysis, 13, 198-213. [Google Scholar] [CrossRef
[7] Gibbs, N.E., Poole, Jr., W.G. and Stockmeyer, P.K. (1976) An Algorithm for Reducing the Bandwidth and Profile of a Sparse Matrix. SIAM Journal on Numerical Analysis, 13, 236-250. [Google Scholar] [CrossRef
[8] Gibbs, N.E. (1976) Algorithm 509: A Hybrid Profile Reduction Algorithm [F1]. ACM Transactions on Mathematical Software, 2, 378-387. [Google Scholar] [CrossRef
[9] Sloan, S.W. (1986) An Algorithm for Profile and Wavefront Reduction of Sparse Matrices. International Journal for Numerical Methods in Engineering, 23, 239-251. [Google Scholar] [CrossRef
[10] Koohestani, B. (2013) Genetic Hyper-Heuristics for Graph Layout Problems. Ph.D. Thesis, University of Essex.
[11] Barnard, S.T., Pothen, A. and Simon, H.D. (1993) A Spectral Algorithm for Envelope Reduction of Sparse Matrices. Proceedings of the 1993 ACM/IEEE Conference on Supercomputing, Portland, 15-19 November 1993, 493-502. [Google Scholar] [CrossRef
[12] Mafteiu-Scai, L.O., Negru, V., Zaharie, D. and Aritoni, O. (2011) Average Bandwidth Reduction in Sparse Matrices Using Hybrid Heuristics. Studia Universitatis Babes-Bolyai, Informatica Vol. LVI No. 3.

Copyright © 2025 by authors and Scientific Research Publishing Inc.

Creative Commons License

This work and the related PDF file are licensed under a Creative Commons Attribution 4.0 International License.