Optimized Preparation and Characterizations of Organo-Montmorillonite Based on Naturals Phospholipids Extracted from Glycine max Cakes

Abstract

Montmorillonite, which consists essentially of clay minerals belonging to the smectite group, has a wide range of chemical and industrial uses. The chemical structure composition, the exchangeable-ion type, and the small crystal size of smectite are responsible for several properties, including a large chemical active surface area, a high cation exchanged capacity and interlamellar surface having usual hydratation characteristics. The present work aimed to develop an organic-clay based on montmorillonite and natural phospholipids as a new substract for depollution. The phospholipids have been extracted from glycine max cakes using ethanol and a soxhlet system. Subsequently, the Box-Behnken experimental design was used to optimize the properties of the new adsorbent material (modified montmorillonite): montmorillonite-phospholipids. Factors constituting this design were: EtOH/H2O ratio (0.25%, 0.625%, 1.00%), phospholipid/montmorillonite ratio (0.25%, 0.75%; 1.25%), aging time of the suspension (0.5 hours; 6.25 hours; 12 hours) and the answer was adsorption capacity of the new material on methylene blue. Three factors and three level designs were used, generating 16 experiments. The modified montmorillonite has been characterized using FTIR, XRD, SEM, and TGA/TD analyses. Results demonstrate successful phospholipid intercalation, increased adsorption capacity (0.99 mg/g), and reduced hydrophobicity of the modified clay.

Share and Cite:

Fofou, S.F., Nguemtchouin, M.G.M. and Noumi, G.B. (2025) Optimized Preparation and Characterizations of Organo-Montmorillonite Based on Naturals Phospholipids Extracted from Glycine max Cakes. Open Access Library Journal, 12, 1-1. doi: 10.4236/oalib.1112989.

1. Introduction

Soy bean production in Cameroon has increased in recent years. In fact, according to Actu Cameroon, Cameroun is reputed to have better qualities of soy bean, alone produces 30,425 tons per year. This product is used as a raw material in the production of soybean oil by many local oil mills. The soy bean is not only used to produce oil. 35,000 tons of soy bean are used to produce 25,000 tons of cake [1]. These cakes are waste, used only in poultry feed, or released into the environment. However, they have an important content of phospholipids, which are the natural surfactant. Previous work has shown that the adsorbent power of clays (montmorillonite…) increases when they are modified with natural and synthetic surfactants. Clays, inexpensive and easily accessible adsorbents, are studied for their ability to adsorb phosphates, copper (II), dyes (methylene blue) from wastewater [2] [3]. However, these clays have a limited adsorption capacity in their natural state. To improve it, several methods, namely ion exchange, acid/basic activation, natural surfactants modification have been proposed in order to improve the adsorbent capacity of clays [4]-[6]. Among these methods, modification with surfactants seems to be the most likely because it significantly increases the adsorption capacity of clays [7]-[9]. The works by Merino et al. [10] and Fernandez et al. [11], on the modification of clays by commercial phospholipids showed an increase in the adsorption capacity of these clays. However, no study has been conducted on the modification of clays based on phospholipids extracted from glycine max cakes, yet these cakes are industrial waste recovered only in poultry feed and are sometimes released into the environment. Hence the objective of this work, was to increase the adsorption capacity of montmorillonite-type clay modified with phospholipids extracted from cakes of glycine max.

2. Experimental

2.1. Extraction of Phospholipids

Soybean seeds were bought in a market in the city of Ngaoundere-Cameroon. After forwarding these seeds to the laboratory, they were washed four times with distilled water and dried in an oven at 50˚C for 72 h. The seeds were crushed and sieved through a 100 µm-mesh sieve. 800 g of soya been powder was extracted with n-hexane (3l) for 16 h in a soxhlet extractor to remove oil and the residue (cakes) was left in the open air for 24 h to evaporate the n-hexane residue. The cake obtained constitutes the raw material used to extract phospholipids. The dried solid cake was treated with ethanol (1L) in a soxhlet extractor for 24 h. The ethanolic extract was then been evaporated, suspended in 20 mL of distilled water and partitioned with 1000 ml of ethyl acetate. The aqueous fraction was further partitioned with 1000 mL of n-butanol to remove any remaining solid residue. The n-butanol fraction was concentrated under reduced pressure, dissolved in ethanol and precipitated with acetone. Then, the phospholipids were obtained by decantation [6].

2.2. Preparation of Sodium montmorillonite (Na-Mont)

The clay used in this work is montmorillonite clay sampled in the Far North region of Cameroon. After sampling, this clay was purified. The stones and other heavy particles were manually removed from the sample. Then, this sample was dispersed in distilled water for several hours. Fraction less than 50 μm were obtained by using 50 μm sieves. To remove organics impurities, the clay was also treated using hydrogen peroxid 50% (v/v). The preparation was performed by dispersing obtained montmorillonite in 1M NaCl solution to replace all exchangeable cations with Na+, washing with deionized water, separation by centrifugation to eliminate all other solid phases, and recovery of the montmorillonite fraction (<2 μm) by decantation. An additional test was practiced until a chloride test with AgNO3 solution was negative. The Na-clay was dried at 70˚C and ground passed through a 50mesh sieve. The clay obtained was designated Mont-Na [6] [12].

2.3. Optimization of Montmorillonite Modification by Phospholipids

The factors that were taken into account to optimize modification of montmorillonite by phospholipids are the following: the phospholipid/clay ratio, the EtOH/ H2O ratio, and the suspension age. pH was set equal to 2.0. The answer to the modification was the adsorption capacity of new material on a solution of methylene blue at 25 mg/l (0.05 g of clay for 20 ml of methylene blue solution). The response has to be generated using the STATGRAPHICS software, a test matrix of 16 tests with four central points. Box Behnken’s design made it possible to better see the difference between the theoretical values and the real values. The experimental domain is shown in Table 1.

Table 1. Box-Behnken domain of experience.

Factors

Low level

Center

High level

Phospholipid/clay ratio (%)

0.25

0.75

1.25

Ethanol/water ratio (%)

0.25

0.625

1.00

Suspension age (hours)

0.50

6.25

12.00

In order to write the observed phenomenon in the form of an equation and to make it possible to predict the responses in the domain defined for the study, it was important to validate the empirical models obtained according to the validity criteria listed in Table 2.

Table 2. Model validation indicators.

Model indicators

Standard values

R Square

≥90%

R-squared adjusted

≥85%

AADM

0.0 ≤ AADM ≤ 0.3

bias factor

0.75 ≤ Bf ≤ 1.25

Accuracy factor

0.75≤ Ef ≤ 1.25

After validation of the chosen models, the result of each experimental test was analyzed by the STATGRAPHICS software and the response correlated with 03 input factors for the adsorption capacity of phospholipid-modified montmorillonite through the following second-order polynomial equation (Equation (1)) [9].

(1)

With Y: predicted response (adsorption capacity), : constant coefficient, : linear coefficient, : the interaction coefficient and : the quadratic coefficient.

2.4. Preparation of Modified Montmorillonite

5 g of Mont-Na previously obtained was dispersed in distilled water in a proportion of 0.5% and then stirred for 24 h by a magnetic stirrer. Various solutions of phospholipids were obtained by dissolving respectively 1.25 g; 3.75 g and 6.25 g of phospholipids in different volumes of ethanol/distilled water ratio: 0.25; 0.625 and 1.00%; and acidified using HCl (pH = 2). Then, each obtained solution of phospholipids was added gradually to Mont-Na suspensions still stirred since 24 h using a peristaltic pump at a flow rate of 8 ml∙min1 and the system still stirring. After a complete introduction of phospholipids solution in Mont-Na suspension, the mixture was stirred for 1 h and the pH was adjusted again to 2.0. The resulting suspensions from each concentration of phospholipids solution were aged at room temperature for different times (0.5 h, 6 h, 25 h and 12 h). After reaction, the montmorillonite was separated by centrifugation and washed several times with distilled water until removal of excess of HCl until pH ~ 7. After this, the clay obtained was dried at 40˚C for 24 h, the new montmorillonite (Mont-phospholipids) with different proportions was ground in a porcelain mortar and sieved through a sieve of 50 µm- mesh. These operations were repeated for each of the number experiments as in Table 3, tested to a methylene blue solution 25 mg/L and then the adsorption capacity was determined [6] [8] [11] [13].

2.5. Characterization of Phospholipids and Phospholipid-Modified Montmorillonite

2.5.1. FT-IR Spectroscopy

FTIR spectra of the phospholipid and modified clays were obtained by using a Nicolet 6700 Thermo Scientific instrument equipped with a diamond ATR probe, over the range of 400 to 3500 cm1 from 32 co-added scans at a resolution of 4 cm1. Approximately 10mg of fine clay powder was placed on the sample holder [11].

2.5.2. X-Ray Diffraction

X-ray diffraction (XRD) of modified and unmodified montomorillonite was acquired on oriented specimens using an automated Philips X’Pert PRO diffractometer, operating at 40 kV and 40 mA, equipped with a Ni-filtered Cu-Kα (λ = 1.54 Å) radiation. Powders of finely ground montmorillonite were put in horizontal glass holders, and then passed over several times with a glass slide to eliminate texture. Diffractograms were recorded at a scanning speed of 1˚/min from 2θ = 2˚ to 25˚ was selected for the divergent slit and scatter slit. The changes in the d001 value of montmorillonite by the phospholipid modification were analyzed [10].

2.5.3. Scanning Electron Microscopy

Morphological observations of the montmorillonite samples were made by scanning electron microscopy (SEM) using a file emission gun scanning electron microscopy JCM-6000 Morphology observations of air-dried, uncoated samples were analyzed by scanning electron microscopy (SEM) using a variable pressure field emission scanning electron microscope [14].

2.5.4. Thermogravimetric (TGA) and Thermodynamic (DTA)

TG analyzer was used to analyze raw and modified montmorillonite. Thermogravimetric analysis was carried out in dry air using a TG instrument operating at a heating rate of 10˚C min1. 15 mg of dry sample was heated from room temperature to 1010˚C under air flow (100 mL∙min1) [15].

3. Results and Discussion

3.1. The Optimized Adsorption Capacity of Modified Montmorillonite

Experimental plan, experimental response and calculated response as well as the residues are recorded in Table 3. It emerges from this table that there is no significant difference at the 5% threshold between the experimental and theoretical responses. The amounts adsorbed vary from 0.83 to 0.99 mg/g.

Table 4 illustrates the validation of the model. Analyzes showed that R2 is 97% higher than 95%, which means that this model explains 97% of the variability of the adsorption capacity. The bias factor is 1.0140 less than 1.2 and the mean absolute deviation (AAD) is equal to 0.0149between zero and 0.2. All these results prove that the model is valid, hence the model equation (Equation (2)).

(2)

With: Y: adsorption capacity; X1: Phospholipid/montmorillonite ratio; X2: EtOH/H2O ratio, X3: Suspension age.

Table 3. Experimental and theoretical responses to the Box Behnken design.

Factors

Answers

Residue

Samples

Pl/Mont Ratio (%)

EtOH/H2O Ratio (%)

Suspension age (h)

Observed

(mg/g)

Adjusted

(mg/g)

1

0.75

1

0.5

0.831

0.807

0.024

2

0.75

0.625

6.25

0.938

0.950

−0.012

3

0.25

0.25

6.25

0.968

0.957

0.01075

4

1.25

0.25

6.25

0.922

0.918

0.004

5

0.75

0.25

0.5

0.958

0.948

0.009

6

1.25

0.625

0.5

0.706

0.719

−0.013

7

0.25

1

6.25

0.927

0.930

−0.003

8

0.75

0.625

6.25

0.944

0.950

−0.006

9

1.25

1

6.25

0.653

0.664

−0.011

10

0.25

0.625

0.5

0.998

1.018

−0.020

11

0.25

0.625

12

0.957

0.943

0.013

12

0.75

0.25

12

0.995

1,019

−0.024

13

0.75

0.625

6.25

0.931

0.950

−0.019

14

0.75

0.625

6.25

0.987

0.950

0.037

15

0.75

1

12

0.870

0.879

−0.009

16

1.25

0.625

12

0.957

0.937

0.020

Table 4. Indication of model validation.

Model indicators

Values obtained

Reference values

R Square

0.97

≥90%

Adjusted R-squared

0.92

≥85%

AADM

0.0149

0.0 ≤ AADM ≤ 0.3

Bias factor

1.0140

0.75 ≤ Bf ≤ 1.25

Accuracy factor

1.067

0.75 ≤ Ef ≤ 1.25

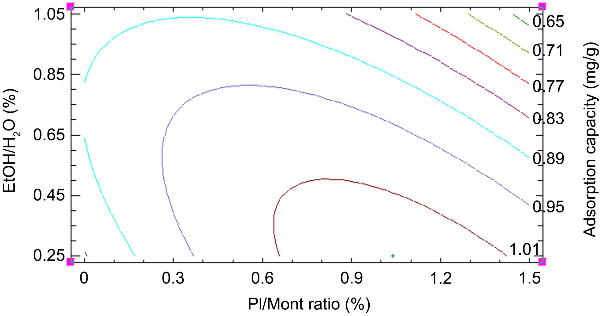
Equation (2) shows that, for the main effects, X2 is the dominant factor because its coefficient is 2 times the coefficient of X1 and 28 times the coefficient of X3. X1 follows X2 because its coefficient is 12 times that of X3. For the effects of interactions, the X1X2 interaction is the strongest because its coefficient is 12 times X1X3 coefficient’s and 125 times X2X3 coefficient’s. Moreover, the quadratic effect of X1 and X2 are dominant compared to X3 one which is almost zero. Given the strong interactions of X1X2 and their quadratic effects, the variation is therefore non-linear, hence the use of their isoresponse curve to determine the optimum (Figure 1).

According to Figure 1, the new adsorbent material (PL-Mont) showing the best adsorption capacity is obtained with the lowest EtOH/H2O ratio and a high Pl/Mont ratio (EtOH/H2O ratio of 0.25% and phospholipid/montmorillonite ratio =1.00%). Chemically, modification of montmorillonite by phospholipids molecules is performed in a more polar medium with a high Pl/Mont ratio.

Figure 1. Surface response curves of on the plane ratio pl/Mont—EtOH/H2O for 12 h suspension age.

3.2. Characteristics of Phospholipid and Phospholipid-Modified Montmorillonite

3.2.1. FTIR Spectroscopy of Phospholipid

Phospholipids present in soy bean (Glycine max) are essentially constitute of: phosphatidylcholine, phosphatidylethanolamine, phosphatidylinositol and in low content phosphatidylserine. Figure 2 presents soy bean cake phospholipids FTIR spectra. A sharp and large band have been observed between 3500 and 3200 cm1; which can be a combined absorption band corresponding to a -NH2 group at 3500 to 3400 cm1, and at 3346 cm1 corresponding to -OH for an aliphatic alcohol confirming the presence of phosphatidylserine and phosphatidylethanolamine; and phosphatidylinositol respectively. Much more, the observed band at 3346 cm1 previously attribute to -OH group is confirm by the presence of a sharp absorption pick at 1147 cm1 corresponding to -CHOH alcohol in phosphatidylinositol. The peaks presented at 2922 cm1 and 2852 cm1 correspond to aliphatic -CH methylene specifically present in phosphatidylcholine, phosphatidylethanolamine and phosphatidylserine [13]. It can be seen a peak at 1730 cm1 which indicate the presence of a -C=O group specific for carboxylic acid, and confirm by the presence of a pic at 1217 cm1 attributable to carboxylic acid -C-O which denote the presence of a specific Glycine max phospholipid structure: phosphatidylserine. Spectra also presented a deformation band at 1410 cm1 corresponding to ammonium salts [11] [16], can confirm the presence of phosphatidylcholine molecules. The peaks centered at 1217 and 1147 cm1 related to de vibrations of -PO2 and OH bonds to the phosphate group of phospholipids, confirm the presence of phosphatidic acid group in structural molecular of analyzed product [10] [11] [17]. This FTIR spectra confirm that Glycine max studied content: phosphatidylcholine (R-PO2(OH)-O-CH2-CH2-N+(CH3)3), phosphatidylinositol ((OH)5C6H6-O-PO2(OH)-R’’’), phosphatidylethanolamine (H2N-CH2-CH2-O-PO2(OH)-R’) and phosphatidylserine (H2N) (COOH)CH-CH2-O-PO2(OH)-R’’.

Figure 2. Infrared spectrum of phospholipids. With: R = C35H66O4, R’ = C38H73O4, R’’ = C41H69O4, R’’’ = C41H75O4.

3.2.2. FTIR Spectroscopy of Phospholipid-Modified Montmorillonite

Spectra of Mont-Na and Mont-pl spectra are presented in Figure 3. The modified montmorillonite Figure 3(b) compared with the Na- montmorillonite, the modified montmorillonite has presented many new peaks initially non-existent in Na-Mont however present in phospholipids spectra (Figure 2). FTIR spectrum of Pl-Mont show some important picks around 3500 cm1 which are particularly well observable corresponding to -NH2 group present in some phospholipids molecules. FTIR spectrum of phospholipid-montmorillonite also present a lighter shoulder at 3420 cm1 as in phospholipids spectrum attribute to corresponding to -CHOH alcohol present phosphatidylinositol. An intense pic can be observed at 2922 cm1 which is attributed to the asymmetric stretching vibration of -CH3 and symmetric stretching vibration of -CH2 respectively [11] [16], confirmed the new organic structure, character and property of Pl-Mont. The Mont-Pl also presented a deformation band at 1471 cm1 corresponding to ammonium salts due to (CH3)3N+-corresponding to the phosphatidylcholine ammonium group [11]. The presence of phospholipid in the montmorillonite is also indicated by the appearance of the vibrations of -PO2 and -OH bonds to the phosphate between 1028 and 1300 cm1, centered at around 1200 cm1 [10] [11].

Figure 3. Infrared spectrum of raw montmorillonite (a) and montmorillonite modified (b).

3.2.3. X-Ray Diffraction of Unmodified and Modified Montmorillonites

X-ray diffraction patterns of the Na-montmorillonite and modified montmorillonite displayed in Figure 4. The Mont-Na exhibits a reflection at 2θ = 8.8˚ corresponding to the interlayer space d001 value of 9.9 Å. From the XRD analysis, the montmorillonite has shown modification of the space sheet after treatment with natural phospholipids extracted from Glycine max cakes, as it’s can be saw on the patters by a lighter displacement of specifics picks from 2θ = 8.8˚ to 2θ = 8˚ corresponding to the interlayer space d001 value of 9.9 Å to 10.8 Å which indicates an intercalation of this montmorillonite interlayer space during the treatment by phospholipids molecules [11].

3.2.4. The Scanning Electron Microscopy of Montmorillonite

Figure 5(a) and Figure 5(b) show the scanning electron Microscopy of Mont-Na and phospholipids montmorillonite respectively. At the first glance, both of them appear with similar morphology. When looking closely, it can be observed that different morphologies have been reported in montmorillonite modified by phospholipids: forming plate-like, rectangular and tetrahedral shapes, among others. One can also observe a new textural composition constitute by many macro porous texture (diameter > 50 nm). While the Mont-Na presented more reduced pores with typical diameter less than ≤ 2 nm [11] [17].

Figure 4. Diffractogram of raw montmorillonite (a) and modified montmorillonite (b).

(a) Homosodium montmorillonite (b) Modified montmorillonite

Figure 5. Microphotograph of Mont-Na and phospholipid-modified montmorillonite.

3.2.5. Thermogravimetric and Thermodynamic Analysis

Figure 6 illustrates the TG and the TD analysis curves of the homosodic and modified montmorillonite. Although the baselines are different, between 40˚C and 250˚C Na-montmorillonite records 0.5% mass loss while modified montmorillonite only records 0.2% which corresponds to the endothermic reaction illustrated by the TD curves. These mass losses correspond to a loss of free water from the clay. In addition, thermodynamic analysis shows a very well-defined exothermic peak for modified montmorillonite reflects the destruction of organic molecules by combustion. This result reflects the reduction of the hydrophobicity of montmorillonite during its modification by phospholipids. Between 200˚C and 600˚C, Na- montmorillonite records one mass loss of 3% which is attributed to the elimination of crystalline structural water. This mass loss corresponds to the endothermic reaction illustrated by the TD curve. However, the modified montmorillonite records two mass losses. The first (1.8%) is attributed to the elimination of crystalline structural water which correspond to the endothermic reaction in the TD curve. and the second (1%) is attributed to the thermal decomposition of phospholipid molecules which correspond to the exothermic reaction.

Beyong 600˚C, the homosodic and modified montmorillonite record 0.2 and 0.3% of mass loss respectively corresponds to the exothermic pic visible on the TD curves of the two montmorillonites (900˚C). This is attributed to the deshydroxylation of Al-OH and Si-OH groups, which is occurring leading to a structural reorganization or recrystallization [10] [11] [15].

Figure 6. TGA curves of Mont-Na (a) and Mont-pl (b).

4. Conclusion

The objective of the present work was to develop an organic-clay based on montmorillonite and natural phospholipids as a new substract for depollution of methylene blue in aqueous solution. The effects of the pH, phospholipid/clay ratio, EtOH/H2O ratio an aging time were studied. pH did not have a great effect on the final properties of the Mont-pl. The optimum conditions for modification of a montmorillonite by phospholipids obtained are: pH: 2; a phospholipid/clay ratio of 1, an EtOH/H2O ratio = 0.25; an aging time of 12 hours. The optimal adsorption capacity of phospholipid-modified montmorillonite obtained is 0.99 mg/g. The final properties of modified montmorillonite were obtained using IR, DRX, MEB, TGA/TD analysis. According to this analysis, The IRTF confirmed the presence of phospholipids in the montmorillonite modified with the presence of -NH2 group around 3500 cm1 present in phosphatidylserine, and phosphatidylethanolamine, -CHOH alcohol at 3420 cm1 present in phosphatidylinositol, ammonium salts at 1470 cm1 present in phosphatidylcholine and phosphate groups at 1147 cm1 characteristic of phospholipid molecules absent in the raw montmorillonite spectra. In addition, the diffractogram shows that, the peak corresponding of 2θ = 8.8˚ (d = 9.9Å) displace from 2θ = 8˚ (10.8Å) in the modified montmorillonite. The modification of montmorillonite with phospholipid resulted in visible changes to the morphology of montmorillonite. One can also observe a new textural composition constitute by many macro porous texture (diameter > 50 nm), While the Mont-Na presented more reduced pores with typical diameter less than ≤ 2 nm. between 40˚C and 250˚C Na- montmorillonite records 0.5% mass loss while modified montmorillonite only records 0.2% which corresponds to the endothermic reaction illustrated by the TD curves. This result reflects the reduction of the hydrophobicity of montmorillonite during its modification by phospholipids.

Conflicts of Interest

The authors declare no conflicts of interest.

Conflicts of Interest

The authors declare no conflicts of interest.

References

[1] Wey, J. and Saïdou, I. (2016) Etude de la faisabilité du soja et du tournesol dans la zone cotonière du Nord Cameroun. Institut de Recherche Agricole pour le developpement Centre Nord Station polyvalente de Garoua, 40.
[2] Benzizoune, S., Nassal, H. and Srhiri. A. (2004) Study of the Adsorption Kinetics of Phosphorus in Solution on the Sediments of Fouarat Lake in Morocco. Larhyss Journal, 3, 171-184.
[3] Youcef, L., Ouakouak, A., Boulanouar, D. and Achour, S. (2014) Study of the Adsorbent Power of Powdered Active Carbon for the Elimination of Phosphates. Laryss Journal, 17, 35-46.
[4] Reddy, C.R., Bhat, Y.S., Nagendrappa, G. and Jai Prakash, B.S. (2009) Brønsted and Lewis Acidity of Modified Montmorillonite Clay Catalysts Determined by FT-IR Spectroscopy. Catalysis Today, 141, 157-160. [Google Scholar] [CrossRef
[5] Mimanne, G., Benhabib, K., Benghalem, A. and Taleb, S. (2014) Study of the Adsorption of Heavy Metals (Pb and Cd) in Aqueous Solution on Activated Carbon and Sodium Montmorillonite from Western Algeria. Journal of Materials and Environmental Science, 5, 1298-1307.
[6] Noudem, J.A., Nguemtchouin, M.M.G., Kaptso, K.G. and Noumi, G.B. (2017) Saponins-Clay Modified Materials: A New Approach against Callosobruchus Subinnotatus in Stored Products. International Journal of scientific & technology Research, 6, 134-141.
[7] Olopade, B.K., Nwinyi, O.C., Adekoya, J.A., Lawal, I.A., Abiodun, O.A., Oranusi, S.U. and Njobeh, P.B. (2019) Modification of Montmorillonite Clay with Cymbopogon Citratus for the Decontamination of Zearalenone in Millet. AIMS Agriculture and Food, 4, 643-657. [Google Scholar] [CrossRef
[8] Nguemtchouin, M.M.G., Kaptso, K.G., Bertrand, N.G., Noudem, J.A. and Allou, G.Y. (2018) Adsorption of Copper (II) Ions from Aqueous Solutions by Using Natural Saponins Clay Modified Materials: Isotherm, Kinetic and Thermodynamics. American Journal of Chemistry, 8, 29-35.
[9] Yanu, C.A., Sieliechi, J.M. and Ngassoum, M.B. (2020) Optimization of Ceramic Paste Viscosity Use for the Elaboration of Tubular Membrane Support by Extrusion and Its Application. Journal of Materials Science and Chemical Engineering, 8, 1-22. [Google Scholar] [CrossRef
[10] Merino, D., Ollier, R., Lanfranconi, M. and Alvarez, V. (2016) Preparation and Characterization of Soy Lecithin-Modified Bentonites. Applied Clay Science, 127, 17-22. [Google Scholar] [CrossRef
[11] Fernández, M.A., Barberia Roque, L., Gámez Espinosa, E., Deyá, C. and Bellotti, N. (2020) Organo-Montmorillonite with Biogenic Compounds to Be Applied in Antifungal Coatings. Applied Clay Science, 184, Article ID: 105369. [Google Scholar] [CrossRef
[12] Nguemtchouin, M.G.M., Ngassoum, M.B., Chalier, P., Kamga, R., Ngamo, L.S.T. and Cretin, M. (2013) Ocimum Gratissimum Essential Oil and Modified Montmorillonite Clay, a Means of Controlling Insect Pests in Stored Products. Journal of Stored Products Research, 52, 57-62. [Google Scholar] [CrossRef
[13] Nguemtchouin, M.G.M., Ngassoum, M.B., Kamga, R., Deabate, S., Lagerge, S., Gastaldi, E., et al. (2015) Characterization of Inorganic and Organic Clay Modified Materials: An Approach for Adsorption of an Insecticidal Terpenic Compound. Applied Clay Science, 104, 110-118. [Google Scholar] [CrossRef
[14] Ouellet-Plamondon, C.M., Stasiak, J. and Al-Tabbaa, A. (2014) The Effect of Cationic, Non-Ionic and Amphiphilic Surfactants on the Intercalation of Bentonite. Colloids and Surfaces A: Physicochemical and Engineering Aspects, 444, 330-337. [Google Scholar] [CrossRef
[15] Gueu, S., Tia, V.E., Bartier, D., Barres, O. and Soro, F.D. (2020) Adsorption of Lippia multiflora Essential Oil on Two Surfactant-Modified Clays: Qualitative Approach. Clay Minerals, 55, 219-228. [Google Scholar] [CrossRef
[16] Nagy, K., Bíró, G., Berkesi, O., Benczédi, D., Ouali, L. and Dékány, I. (2013) Intercalation of Lecithins for Preparation of Layered Nanohybrid Materials and Adsorption of Limonene. Applied Clay Science, 72, 155-162. [Google Scholar] [CrossRef
[17] Andrunik, M. and Bajda, T. (2019) Modification of Bentonite with Cationic and Nonionic Surfactants: Structural and Textural Features. Materials, 12, Article 3772. [Google Scholar] [CrossRef] [PubMed]

Copyright © 2025 by authors and Scientific Research Publishing Inc.

Creative Commons License

This work and the related PDF file are licensed under a Creative Commons Attribution 4.0 International License.