Chiral Camphor-Based 1,3- and 1,4-Amino Alcohols and Aminodiols as Ligands for Diethylzinc Addition to Aldehydes ()

1. Introduction
Chiral amino alcohols are common precursors to many functional molecules [1] . One of the most extensively studied case is the catalytic enantioselective synthesis of chiral secondary alcohols using a chiral amino alcohol ligand capable of forming a chelate with zinc. In a favorable case, the chelate is capable of catalyzing enantioselective additions of organozincs to aldehydes [2] . The first ligand, (S)-leucinol, used to catalyze the addition of diethylzinc (Et2Zn) to benzaldehyde gave moderate enantioselectivity (49%) as reported by Oguni and Omi in 1984 [3] . Since then series of 1,2-amino alcohols [5] - [14] have been reported for this transformation with moderate to excellent enantioselectivity [5] - [14] . However, the use of 1,3- and 1,4-amino alcohols [15] - [24] has been barely investigated. Herein, in continuation of our ongoing research on the design and synthesis of new chiral ligands for asymmetric reactions [25] , we are reporting syntheses of new amino alcohols and amino diols derived from (+)-camphor. The utility of the new ligands for the addition of Et2Zn to benzaldehyde was also studied briefly.
2. Result and Discussion
The synthesis of diols 7 and 13 began with the conversion of camphor 1 to 3,3-dimethoxy ketal 3 using known methodologies [4] [26] [27] (Scheme 1). First, commercially available (d)-camphor 1, was oxidized to camphorquinone 2, using selenium oxide in acetic anhydride under refluxing condition [26] . The obtained camphorquinone 2 was refluxed with trimethyl orthoformate in methanol in the presence of catalytic amount of p-TsOH affording 3,3-dimethoxy ketal 3 in high yield [4] [26] .

Scheme 1. Synthesis of amino diols 7 and 13. Compounds 2 and 3 were synthesized using established protocols [3] [4] [26] .
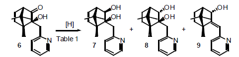
To synthesize amino diol 7 (Scheme 1), dimethoxy ketal 3 was treated with lithiated picoline 4 in THF at 0˚C. This resulted in diastereoselective addition of the lithiated picoline to the dimethoxy ketal 3 rendering amino alcohol 5 as brown oil in 86% yield. Subsequent deprotection of the dimethoxy ketal group of 5 by acid hydrolysis gave aminohydroxyketone 6 as a white solid in 84% yield.
Regioselective hydride reduction of aminohydroxy ketone 6 to amino diol 7 was studied using six reducing agents (Table 1). We assume that the amino diol 8 (not isolated) was the main by-product of these reduction reactions, because the hydride could only approach the carbonyl carbon either from the Re or the Si side.
Reduction with sodium borohydride in diethyl ether gave high selectivity comparable to that obtained with sterically demanding tetramethylamino borohydride (Table 1, entries 1 and 5), albeit in lower yield. With sodium borohydride in methanol (entry 2), an increase in yield and decrease in selectivity was observed. Lithium aluminum hydride gave unexpectedly a poor yield and selectivity (entry 3).
Interestingly, reduction of 6 with aluminum isopropoxide (entry 4) led to a predominant formation of compound 9. This compound 9 probably formed through the precursor enone since the endo-configuration at C3 of 9 was expected due to the MPV conditions used.
In order to confirm the stereochemistry of the hydroxyl group at C3 of 7, the flash-column-chromatography-purified amino diol was recrystallized from a solvent pair system of methanol/water (50%). A single crystal X-ray analysis
Table 1. Hydride reductions of aminohydroxyketone 6.
aAfter flash column chromatography. bBased on 1H NMR signals of methyl groups before purification by flash column chromatography. cBased on the 1H- and 13C-NMR analysis of the crude product.
confirmed the stereochemistry of the alcohol functional groups at C2 and C3 of amino diol 7 to be as shown in Figure 1 [28] .
With the synthetic route to amino diol 7 and the 2S and 3R stereochemistry at C2 and C3 successfully established, amino diol 13 was synthesized using the same methodology (Scheme 1) from 2,6-lutidine and the 3,3-dimethoxy ketal 3. Thus, nucleophilic addition of lithiated 2,6-lutidine, 10 to dimethoxy ketal 3 afforded amino alcohol 11 in 95% yield. Hydrolysis of 11 using 3 M HCl gave aminohydroxyketone 12 in 96% yield. Subsequent hydride reduction of the aminohydroxyl ketone with sodium borohydride in methanol at 0˚C afforded amino diol 13 in 92% yield.
This family of ligands obtained was expanded by subjecting some of the amino alcohol members to catalytic hydrogenation using Adam’s catalyst in acetic acid. We envisaged that the already established stereocenters in the substrates will induce some sort of asymmetry at the new chiral center that will be formed upon hydrogenation of the pyridine ring. Thus, amino diol 7 was first subjected to catalytic hydrogenation in a Parr hydrogenator using platinum oxide in acetic acid (Scheme 2, Equation (1)). To our disappointment both epimers 14a and 14b (Scheme 2, Equation (1)) of the expected piperidine product were formed in almost equal amount, and proved to be very difficult to separate by chromatography, crystallization or resolution using chiral resolving agents (tartaric acid and camphorsulfonic acid).
The epimers were also derivatized by alkylation and acylation of the secondary amine, but the corresponding products had closely similar Rf values. Consequently, another route to these epimers was investigated.
To this end amino alcohol 5 was hydrogenated using platinum oxide (Adam’s
![]()
Figure 1. X-Ray crystal structure of amino diol 7.9 Unit Cell Dimensions: a = 7.140(2) Å; α = 90˚; b = 18.794(6) Å; β = 90˚; c = 21.357(6) Å; γ = 90˚.9

Scheme 2. Catalytic hydrogenations using Adam’s catalyst.
catalyst) in glacial acetic acid and interestingly, the corresponding product, assumably 15a (Scheme 2, Equation (2)), was obtained diastereoselectively in 72% yield (as confirmed by the 1H NMR of the crude product, based on the signals of the methyl groups). This is apparently because of the presence of the dimethoxy group at C3 of the camphor skeleton. The space filling molecular model [29] representations (Figure 2) of two most stable rotamers of 5 show that the top side of the pyridine is sterically more hindered than the bottom side. Since the mechanism [30] of hydrogenation involves coordination of the organic substrate onto the metal through the π-bonds, it is therefore reasonable to expect that the hydrogenation of 5 would occur on the bottom face of 5A or 5B (Figure 2).
Since the bottom face of 5A and 5B is clearly more accessible than the top one, the formation of 15a likely involves 5A. Since 5A and 5B are almost equally stable (Figure 2), the origin of favor of 5A over 5B could be a solvent effect. This reduction is conducted in glacial acetic acid. Since acetic acid is very polar and capable of hydrogen bonding to the nitrogen of pyridine ring and such interactions are more favorably present in 5A than in 5B (nitrogen buried under the 3,3-dimethoxy ketal group), this conformer, 5A, could be more stabilized over
Steric Energy of 5A: −57.6388 kcal/mol (dihedral angle C2-C13-C14-N: 74.251˚)
Steric Energy of 5B: −57.9209 kcal/mol (dihedral angle C2-C13-C14-N: −94.824˚)
![]()
Figure 2. Molecular models (cylindrical bonds and space filling types) of lowest-energy rotamers (solvent effects omitted) of compound 5.
5B. Furthermore, in 5B the fatty part of the pyridine ring sticks far out into polar solvent (unfavorable interactions) whereas in 5A the fatty part is partially shielded by methyl groups of the dimethoxyketal group (stabilizing hydrophobic interactions).
Hydrogenation of 5 to 15a was succeeded by acid-catalyzed hydrolysis of the amino alcohol 15a to aminohydroxy ketone 16 in 95% yield. Hydride reduction of this aminohydroxy ketone afforded amino diols 14a and 17 in 1.5:1 ratio (Scheme 2, Equation (2)). Unfortunately, efforts to separate these diastereomers proved unsuccessful too.
Literature search showed that neither these amino diols, nor 16 have been synthesized or reported before. The closest ligand reported with isoborneol-picolinyl skeleton are 18a and isoborneol-6-methylpicolinyl 18b [31] [32] . Also, the catalytic hydrogenation of 18a has been reported [31] [32] and the product 19 (as a mixture of 19a and 19b) was characterized on the basis of a melting point only. To this end, we decided to investigate catalytic hydrogenation of 18a with the intention of using the corresponding anticipated amino alcohol as a catalyst in asymmetric reactions.
Thus, amino alcohol 18a was synthesized according to Xu et al. [31] . This amino alcohol was then subjected to catalytic hydrogenation using Adam’s reagents and a mixture of epimers 19a and 19b was obtained. The epimers were resolved by successive recrystallization of their camphorsulfonic acid (CSA) salts (Scheme 3, Figure 3). To circumvent the cumbersome recrystallization step, another reductive route to 19b was adopted. Thus, a quaternary ammonium salt 20 was easily synthesized [33] by refluxing 18a with benzyl bromide in acetone (Scheme 3). This quaternary ammonium salt was then subjected to hydride reduction [34] [35] using different reducing agents and conditions (Table 2) to obtain 21 (Scheme 3, Figure 4). Reduction of 20 with sodium borohydride [34] and tetramethylammonium borohydride both gave excellent yields (Table 2). For example, sodium borohydride afforded almost complete conversion to 21 (Table 2, entries 1 and 2).
The absolute chirality of the new stereogenic center at C12 of 21 was also

Scheme 3. Synthesis of 2-(2-Piperidylmethyl) boreneols 19a and 19b.
![]()
Figure 3. X-Ray structure of 19b [28] . Unit Cell Dimensions: a = 15.9379(15) Å; b = 16.8811(16) Å; c = 22.605(2) Å [28] .
![]()
Figure 4. X-Ray structure of 21 [28] Unit Cell Dimension: a = 11.7681(16) Å b = 6.9494(10) Å; c = 11.9268(17) Å [28] .
![]()
Table 2. Hydride reductions of quaternary ammonium salt 20.
aAfter column chromatography.

Scheme 4. Reaction of ligands 7, 6, 16 and 19b with triethyl borane.
unambiguously assigned by X-ray structure of 21 (Figure 4). Subsequent hydrogenation of 21 in methanol, catalyzed by palladium on carbon in 30 minutes afforded 22 and 19b. Presumably all 22 could have been converted to 19b if a longer reaction time had been used.
Since new chiral Lewis acids are always interesting, we decided to briefly probe the synthesis boron chelates of some our new amino alcohols (Scheme 4). Thus toluene solutions of 7, 16, and 19b with triethylborane were refluxed for 24 h (Scheme 4) respectively. Boron chelates 23, 25 and 26 were obtained in a very clean reaction in high yields: 98%, 95% and 92% respectively. An attempt was also made to obtain a boron chelate of 6. However, when the reaction was stopped after 48 h, the main product turned out to be 24 (Scheme 4). This supports the above-discussed mechanism of formation of 9 (Table 1, entry 4) through enone 24.
3. Enantioselective Addition of Diethylzinc to Aldehydes: A Brief Screening of the Ligands
A brief screening of the new ligands was conducted using a catalytic enantioselectively additions of Et2Zn to aldehydes as a “probe”. Various reaction conditions (Scheme 5) were used with benzaldehyde as a model substrate. This very preliminary work aimed on detecting ligands which could have any promise instead of optimizing reaction conditions. Results are shown in Table 3.
First compounds with one free hydroxyl group (i.e. 5, 6, 15a and 19b) were examined. In the case of compound 18a our results [entry 1] [34% e.e. of the (R)-alcohol] matched what has been published (38% e.e. of the same (R)-alcohol) earlier [31] . Interestingly, the 6-methyl substituent of the picolinyl group of 18b (Figure 5) has a major impact on the enantioselectivity of this reaction. Compound 18b has been reported to give 77% e.e. of the same (R)-alcohol with benzaldehyde as a substrate [32] .

Scheme 5. Ligand for enantioselective diethyl zinc addition to aldehydes.
![]()
Figure 5. Picoline-based [25] and lutidine-based bidentate ligands [32] .
The only experiment conducted using 20 mol.% of amino alcohol 19b with 5 eq. Et2Zn (relative to benzaldehyde) gave (R)-1-phenylpropanol as the dominating product with an enantiomeric excess of 45% (Table 3, entry 13). This is about 10%-units higher than the corresponding value of 18a (entry 1). An N-alkylated derivative of 19b could give a higher enantiomeric excess.
The reaction of Et2Zn with benzaldehyde and 5 was conducted using 2 eq. of Et2Zn (relative to the aldehyde) at 0˚C in the presence of 20, 10, and 5 mol.% of 5 (Table 3, entries 2 - 4). Unfortunately, the enantioselectivities were very poor. The 3,3-dimethoxy ketal group probably rendered the OH group at C2 too crowded (in between two quaternary centers in 5).
When compound 6 was used as a ligand, a slightly better enantioselectivities were observed, but now with the (S)-1-phenylpropanol of the dominating product in 19% - 22% e.e. (Table 3, entries 5 and 6). This is interesting as it seems as if space near C3 of the bornane skeleton of compound 18a would be in close contact with the active center of the catalyst. In this light a proper modification of the substitution pattern at C3 could lead to a discovery of a highly enantioselective ligand.
Ligands 7 and 13 turned out to be clearly more enantioselective than 5, 6 or 18a. Using 7, the best enantioselectivity obtained was 67% (with benzaldehyde) as a substrate whereas with 13, the best enantioselectivity obtained was 77% (with p-chlorobenzadehyde). Since 7 performed clearly better than 18a, one could conclude that the 3-OH group may play a more important role in this reaction than the 2-OH group does. In that light 27, 2-dehydroxy-2-hydro derivative of 7 (Figure 5), could still be a better catalyst than 7. This conclusion is supported by results published earlier [25] . Ligand 28, which is structurally closely similar to 7, catalyzed this reaction (Scheme 5) with 89% e.e. and in a high yield [25] . Therefore, in this group of 1,4- and 1,3-amino alcohols, the former seems to give significantly better enantioselectivity. In the case of hybrid ligands, such as 7, the enantioselectivities seem to fall in between those of the parents (as the 2-OH group is there lowering the enantioselectivity). Therefore, further studies aiming on better enantioselectivities of derivatives of 18a should focus on derivatives of 27 and 28 instead of related 1,3-aminoalcohols (such as 18), or hybrid compounds (e.g. 7). However, in the case of derivatives of 18b the contrary may apply: 18b has been reported [32] to give 77% e.e. with benzaldehyde in the same reaction in which 18a gives only 34% e.e. Indeed, compound 13, which is a 3-hydroxy derivative of 18b, gave (R)-1-phenylpropanol with a lower enantioselectivity than 18b has been reported [32] to do. This could indicate that the diethylzinc coordinated to the ethylzinc alkoxide of 3-hydroxyl group of 13 is only lowering the enantioselectivity of the reaction occurring at the diethylzinc coordinated to the ethylzinc alkoxide of 2-hydroxyl group of 13. A similar conclusion was drawn earlier by Pale et al. [32] when they studied closely related amino diols 18b and C2-symmetric 18c (Figure 6). Compound 18b (77% e.e. and 81% yield of the (R)-1-phenylpropanol) turned out to be a slightly better catalyst [32] than 18c (75% e.e. and 78% yield of the same (R)-alcohol), which gave rise to a conclusion that only one hydroxyl group of 18c at the time is part of the active center of the catalysts. In this light different hydroxyl groups of amino diols 7 and 13 could be important for their catalytic performance and enantioselectivity.
Diethylzinc additions can be sensitive to reaction conditions. Interestingly, 20 mol.% of 7 gave a lower enantiomeric excess (57%, entry 11) than obtained using 10 mol.% of 7 (67%, entry 12). Based on the results the performance of ligand 13 (entries 14 and 15) does not significantly differ from that of 7. We chose to use 5 eq. of Et2Zn (relative to the aldehyde) with both amino diols 7 and 13 to ensure that Et2Zn-ligand ratio would be high enough to keep both OH groups of amino diols 7 and 13 as zinc ethoxides each coordinated to one Et2Zn molecule through their lone pairs of the alkoxide oxygens. This is what is needed for an amino alcohol, such as DAIB, to be an active catalyst [1] [36] [37] [38] [39] [40] . With 18a we used only 2 eq. to reproduce the literature [31] data. Also in the case of the related reactions of ligand 28 the Et2Zn-ligand ratio of 2.2 : 1 was sufficient to render 1-phenylpropanol in high yield and in 89% e.e. [25] . As regarding the reaction mechanism, with 5 eq. of Et2Zn (relative to the aldehyde) all plausible Lewis basic sites on ligands 7 and 13 should be coordinated to zinc. The resulting Zn-saturated complex could bind an aldehyde molecule leading to the formation of adducts such as A or A’ (Scheme 6). An intramolecular ethyl transfer reaction from zinc to the aldehyde in A/A’ could lead to the formation of B/B’. A reaction of B/B’ with Et2Zn should regenerate the catalyst and renders the (R)-product as an ethylzinc alkoxide (Scheme 6) which subsequently would be stabilized as a Et2Zn adduct. This mechanism discussed above (Scheme 6) is similar to the one proposed earlier for DAIB [1] [36] [37] [38] [39] [40] .
![]()
Figure 6. Lutidine-based bidentate and tridentate ligands [32] .
A few substrates other than benzaldehyde were briefly studied using ligand 13 (Table 3, entries 16 - 19). Interestingly, in the case of reaction of p-chlorobenzaldehyde catalyzed by a zinc chelate of 13 the product was the (S)-1-(4’-chlorophenyl)-propanol in 77% e.e. (Table 3, entry 16). Also 2-naphthaldehyde gave (S)-alcohol but in much lower enantioselectivity (entry 17). This is somewhat peculiar as ligand 18b has been reported to give right the same 77% e.e. with benzadehyde but the product was reported12b to be (R)-1-phenylpropanol. This may suggest that the mechanism of this reaction is more complex than that described in Scheme 6 or in the literature [1] [36] [37] [38] [39] [40] . Aggregation of the catalyst could play a role.
4. Experimental
General
1H NMR and 13C NMR spectra were recorded on a Spectrospin and Bruker
![]()
Table 3. Enantioselective addition of diethylzinc to aldehydes.
aDetermined using Chiralcel OD column, hex./IPA 95:5, 0.7 mL/min. The literature e.e. value for ligand 18a (20 mol%, entry 1) was 38.1% [31] . bDetermined using Chiralcel AD column, hex./IPA 95:5, 1.0 mL/min. cNot determined. dSee Appendix for the original chromatogram. R/S configuration assigned as described in the literature [25] .
1H NMR of (1R,2S,4S,2'R)-1,7,7-trimethyl-2-piperidin-2’-ylmethyl-bicyclo [2.2.1]heptan-2-ol, 19b (major component), δ (ppm): 0.82 (s, 3H), 0.96 (s, 3H), 0.99 - 1.03 (m, 1H), 1.08 (s, 3H), 1.17 (s, 1H), 1.24 (d, J = 3.6 Hz, 2H), 1.28 - 1.33 (m, 1H), 1.34 - 1.47 (m, 2H), 1.49 - 1.52 (m, 1H), 1.54 - 1.58 (m, 2H), 1.61 (d, J1 = 4.5 J2 = 4.4 Hz, 2H), 1.65 (d, J = 2.6 Hz, 1H), 1.68 - 1.76 (m, 2H), 1.79 - 1.86 (m, 1H), 1.99 (t, J1 = 4.0 Hz, J2 = 3.3 Hz, 1H), 2.04 (dd, J1 = 4.1 Hz, J2 = 3.8 Hz, 1H), 2.52 (ddd, J1 = J2 = J3 = 2.8 Hz, 1H), 2.89 (tt, J1 = 2.5 Hz, J2 = 10.7 Hz, 1H), 3.02 (m, 1H). 13C NMR of (1R,2S,4S,2'R)-1,7,7-trimethyl-2-piperidin-2’-ylmethyl-bicyclo[2.2.1]heptan-2-ol, 19b, δ (ppm): 12.1 (CH3), 20.9 (CH3), 21.2 (CH3), 24.7 (CH2), 27.1 (CH2), 27.2 (CH2), 30.6 (CH2), 34.2 (CH2), 44.9 (CH), 46.2 (CH2), 46.5 (CH2), 49.1 (CH2), 50.1 (C), 52.1 (C), 55.8 (CH), 81.1 (C-OH).

Schmem 6. A and A': Diethylzinc derivative of 7 (4 eq. of ZnEt2) in complex with benzaldehyde. B and B': A complex of the zine alkoxide product before the regenetation (1 eq. of ZnEt2) of the catalyst.
(300 MHz/52MM) and (75 mMHz) spectrometer respectively in CDCl3. For 1H NMR spectra CDCl3 (with chemical shift of 7.27 ppm) was used as an internal reference. In the case of 13C NMR spectra, the internal reference was also CDCl3 with chemical shift of 77.0 ppm. Column chromatography was carried out on Fluka Chemika Silica gel 60 (ratios of eluent systems are given under each experimental procedure). Thin layer chromatography (TLC) was done with plastic-back Alltech sorbent silica gel. FTIR was perfomed on a Bruker Vector 22 instrument. Mass Spectral data were obtained at the University of Massachusetts Amherst Mass Spectrometry Facility which is supported, in part, by the National Science Foundation. All chemicals and solvents were used as supplied, except THF, which was distilled over sodium. All liquid aldehydes were washed with sodium bicarbonate, extracted, dried over magnesium sulfate and distilled prior to use.
Acetic anhydride, butyl lithium (in cyclohexane) and lithium aluminum hydride were obtained from Aldrich Chemical; Trimethylorthoformate, p-toluenesulfonic acid, sodium borohydride, ammonium chloride and aluminum triisopropyloxide were purchased from ACROS Organics; Magnesium sulfate and sulfuric acid were obtained from Fisher Chemicals; Ethyl acetate, methanol, hexane, dichloromethane and hydrochloric acid (ACS reagent grade) were bought from Pharmco; (+)-Camphor was obtained from Eastman Organic Chemicals; Selenium oxide bought from Alfa Aesar; Sodium hydroxide (pelletes) purchased from J.T. Baker Chemical Co.; Silica gel 60 obtained from Fluka Chemika; Diethyl ether (anhydrous) was bought from Mallinckrodt Chemicals; 2-Picoline was purchased from Avocado research chemicals; Toluene from DESMO Chemicals; Platinum oxide from Engelhard; Acetic acid (glacial) from EM Science and Tetrahydrofuran from OmniSolv (EM).
(1R,2S,4S)-3,3-Dimethoxy-1,7,7-trimethyl-2-pyridin-2-ylmethylbicyclo[2.2.1]heptan-2-ol, 5.
To 2-picoline (0.7 mL, 7.07 mmol) in a 100 mL 2-neck flask under nitrogen was added anhydrous THF (30.0 mL). The reaction flask was cooled to 0˚C and 2.0 M n-BuLi (3.8 mL, 7.47 mmol) in cyclohexane was added over 15 minutes under vigorous stirring. The reaction mixture was allowed to warm up to room temperature and then stirred for 1 hour. The mixture was cooled back to 0˚C and a solution of (1R,4S)-3,3-Dimethoxy-1,7,7-trimethylbicyclo[2.2.1]-heptan-2-one, 3 (1.50 g, 7.07 mmol), in THF (20.0 mL) was added over 15 minutes. After 24 hours, the reaction mixture was neutralized with saturated aqueous ammonium chloride, THF layer was separated and the water layer was extracted with ethyl acetate (3 × 20 mL). The organic layers were combined, washed with brine, dried over magnesium sulfate and evaporated to dryness. The residue was purified by column chromatography to afford pure (1R,2S,4S)-3,3-dimethoxy-1,7,7-trimethyl-2-pyridin-2-ylmethylbicyclo[2.2.1]heptan-2-ol, 5 (1.36 g, 6.09 mmol) as a dark brown oil in 86.1% yield. Rf 0.51 (silica, hexane/ethyl acetate 5:1),
= +89.6 (conc. = 1.2 g/100 mL, CHCl3). 1H NMR, δ (ppm): 0.59 (s, 3H), 0.81 (s, 3H), 1.28 (s, 3H), 1.48 - 1.56 (m, 3H), 1.80 (s, 1H), 2.8 (d, J = 13.8 Hz, 1H), 2.88 (s, 3H), 3.06 (s, 3H), 3.15 (d, J = 10.5 Hz, 1H), 6.65 (s, 1H), 7.09 (t, J1 = J2 = 5.1 Hz, 1H), 7.25 (d, J = 4.2 Hz, 1H), 7.58(t, J = 7.6 Hz, 1H), 8.36 (d, J = 4.3 Hz, 1H). 13C NMR, δ (ppm): 11.32 (CH3), 20.90 (CH2), 22.36 (CH3), 22.51 (CH3), 29.78 (CH2), 39.17 (CH2), 47.13 (C), 49.88 (CH3), 50.72 (CH3), 52.57 (CH), 54.14 (C), 86.40 (C), 110.47 (C), 121.17 (CH), 125.78 (CH), 136.56 (CH), 147.21 (CH), 161.25 (C).
(1S,3S,4R)-3-Hydroxy-4,7,7-trimethyl-3-pyridin-2-ylmethylbicyclo[2.2.1]heptan-2-one, 6.
To (1R,2S,4S)-3,3-dimethoxy-1,7,7-trimethyl-2-pyridin-2-ylmethylbicyclo [2.2.1]heptan-2-ol, 5 (13.26 g, 43.4 mmol) in a 250 mL single-neck reaction flask with magnetic stirring bar was added 3 M HCl (80.0 mL) at room temperature and stirred for 24 hours. Reaction mixture was neutralized with 3 M aqueous sodium hydroxide until the pH was basic. The mixture was extracted with ethyl acetate (3 × 50 mL). Organic extracts were dried over magnesium sulfate and evaporated to dryness. Purification of the residue by flash column chromatography afforded pure (1S,3S,4R)-3-hydroxy-4,7,7-trimethyl-3-pyridin-2-ylme-thylbicyclo[2.2.1]heptan-2-one, 6 (11.13 g, 42.9 mmol) in 83.8% yield, as a white solid. Rf 0.22 (silica, hexane/ethyl acetate 5:1);
= −93.7 (conc. = 1.23 g/100 mL, CHCl3), mp = 125.3˚C - 130.5˚C. 1H NMR, δ (ppm): 0.59 (s, 3H), 0.93 (s, 3H), 1.12 (s, 3H), 1.54-1.57 (m, 1H), 1.73 (d, J = 6.8 Hz, 1H), 1.69 (d, J = 4.1 Hz, 2H), 1.96 - 2.05 (m, 1H), 2.22 (d, J = 5.4 Hz, 1H), 2.87 (d, J = 14.7 Hz, 1H), 3.07 (d, J = 14.7 Hz, 1H), 7.18 (d, J = 7.7 Hz, 1H), 7.22 (d, J = 5.0 Hz, 1H), 7.66 (ddd, J1 = 7.7 Hz, J2 = 7.7 Hz, J3 = 1.8 Hz, 1H), 8.46 (d, J = 4.9 Hz, 1H); 13C NMR, δ (ppm): 10.5 (CH3), 19.0 (CH3), 22.1 (CH2), 22.3 (CH3), 30.3 (CH2), 40.2 (CH2), 46.7 (C), 52.7 (C), 58.9 (CH), 80.7 (C), 121.9 (CH), 124.3 (CH), 137.1 (CH), 147.9 (CH), 159.1 (C), 218.3 (C=O).
(1R,2S,3R,4S)-1,7,7-Trimethyl-2-pyridin-2-ylmethylbicyclo[2.2.1]heptane-2,3-diol, 7.
To a solution of (1S,3S,4R)-3-hydroxy-4,7,7-trimethyl-3-pyridin-2-ylmethyl-bicyclo[2.2.1]-heptan-2-one, 6 (1.80 g, 6.94 mmol) in methanol (50.0 mL) in a reaction flask was added, in small portions, sodium borohydride (2.63 g, 69.4 mmol) at 0˚C under vigorous stirring. The reaction proceeded for 24 hours at 0˚C. Water (5 mL), 10% aqueous sodium hydroxide (100.0 mL), and ethanol (50.0 mL) were then added and stirred for 30 minutes. The ethanol was evaporated and the reaction mixture was extracted using ethyl acetate (3 × 30 mL). Combined organic extracts were dried over magnesium sulfate and evaporated to dryness affording colorless oil (1.77 g, 6.76 mmol) in 99% crude yield. The crude product was purified by flash column chromatography to afford pure (1R,2S,3R,4S)-1,7,7-trimethyl-2-pyridin-2-ylmethyl-bicyclo[2.2.1]heptane-2,3-diol, 7 (1.76 g, 6.75 mmol, 97% yield) as a white solid upon evaporation of solvent. Rf 0.49 (silica, hexane/ethyl acetate 2:1).
= +39.47 (conc. = 0.76 g / 100 mL, CHCl3); mp = 82.8-85.50C. 1H NMR, δ (ppm): 0.66 (s, 3H), 0.82 (s, 3H), 1.18 (s, 3H), 1.42 (d, J = 5.0 Hz, 1H), 1.45 (d, J = 3.8 Hz, 1H), 1.68 (s, 1H), 1.78 (d, J = 4.5 Hz, 1H), 2.04 (s, 1H), 2.95 (d, J = 14.4 Hz, 1H), 3.06 (d, J = 14.3 Hz, 1H), 3.50 (s, 1H), 7.22 (d, J = 7.8 Hz, 2H), 7.67 (ddd, J1 = 9.5 Hz, J2 = 9.5 Hz, J3 = 1.8 Hz, 1H), 8.45 (d, J = 4.2 Hz, 1H). 13C NMR, δ (ppm): 10.8 (CH3), 22.1 (CH3), 22.6 (CH3), 24.7 (CH2), 30.1 (CH2), 42.9 (CH2), 49.3 (C), 50.9 (CH), 52.3 (C), 81.9 (C), 82.4 (CH), 121.8 (CH), 124.5 (CH), 137.3 (CH), 147.9 (CH), 159.4 (C).
(1R,2S,4S)-3,3-Dimethoxy-1,7,7-trimethyl-2-(6-methyl-pyridin-2-ylmethyl)-bicyclo[2.2.1]-heptan-2-ol, 11.
To 2,6-lutidine (0.55 mL, 4.71 mmol) in a 100 mL 2-neck flask under nitrogen was added anhydrous THF (40.0 mL). The reaction flask was cooled to 0˚C and 2.0 M n-BuLi (2.6 mL, 5.18 mmol) in cyclohexane was added over 15 minutes. The reaction mixture was allowed to warm up to room temperature and kept at that temperature with stirring for 2 hour. The mixture was cooled back to 0˚C and a solution of (1R,4S)-3,3-dimethoxy-1,7,7-trimethylbicyclo[2.2.1]-heptan-2-one, 3 (1.50 g, 7.07 mmol) in dry THF (10.0 mL) was added over 15 minutes. After 24 hours, the reaction mixture was neutralized with saturated aqueous ammonium chloride, the THF layer was separated and the water layer was extracted with ethyl acetate (3 × 20 mL). The organic layers were combined, washed with brine, dried over magnesium sulfate and evaporated to dryness. The residue was purified by column chromatography to afford pure (1R,2S,4S)-3,3-dimethoxy-1,7,7-trimethyl-2-(6-methyl-pyridin-2-ylmethyl)-bicyclo[2.2.1]heptan-2-ol, 11 (1.42 g, 4.45 mmol) in 95% yield. NMR data of this intermediate were not taken. It was simply hydrolyzed to 12.
(1S,3S,4R)-3-Hydroxy-4,7,7-trimethyl-3-(6-methyl-pyridin-2-ylmethyl)-bicyclo[2.2.1]-heptan-2-one, 12.
To (1R,2S,4S)-3,3-dimethoxy-1,7,7-trimethyl-2-(6-methyl-pyridin-2-ylmethyl)-bicyclo[2.2.1]-heptan-2-ol, 11 (1.02 g, 3.73 mmol) in a 250 mL single-neck reaction flask with magnetic stirring bar was added 3 M HCl (50.0 mL) at room temperature and stirred for 24 hours. Reaction mixture was neutralized with 3 M aqueous sodium hydroxide until the pH was basic. The mixture was extracted with ethyl acetate (3 × 30 mL). Organic extracts were dried over magnesium sulfate and evaporated to dryness. Purification of the residue by flash column chromatography afforded pure (1S,3S,4R)-3-hydroxy-4,7,7-trimethyl-3-(6- methyl-pyridin-2-ylmethyl)-bicyclo[2.2.1]heptan-2-one, 12 (0.97 g, 3.55 mmol) in 95.8% yield, as a white solid. Rf 0.6 (silica, hexane/ethyl acetate 1:1). 1H NMR, δ (ppm): 0.59 (s, 3H), 0.92 (s, 3H), 1.12, (s, 3H), 1.46 - 1.55 (m, 1H), 1.67 - 1.73 (m, 2H), 1.93 - 2.04 (m, 1H), 2.20 (d, J = 5.3 Hz, 1H), 2.50 (s, 3H), 2.81 (d, J = 14.7 Hz, 1H), 3.02 (d, J = 14.7 Hz, 1H), 6.96 (d, J = 7.6 Hz, 1H), 7.05 (d, J = 7.7 Hz, 1H), 7.53 (t, J1 = J2 = 7.7 Hz, 1H). 13C NMR, δ (ppm): 10.5 (CH3), 19.0 (CH3), 22.0 (CH2), 22.3 (CH3), 24.1 (C), 30.3 (CH2), 40.0 (CH2), 46.6 (C), 52.6 (CH), 59.0 (CH3), 80.6 (C-OH), 121.0 (CH), 121.4 (CH), 137.3 (CH), 156.9 (C), 158.2 (C), 218.2 (C=O).
(1R,2S,3R,4S)-1,7,7-Trimethyl-2-(6-methyl-pyridin-2-ylmethyl)-bicyclo[2.2.1]heptane-2,3-diol, 13.
To a solution of (1S,3S,4R)-3-hydroxy-4,7,7-trimethyl-3-(6-methyl-pyridin-2-ylmethyl)bicyclo-[2.2.1]heptan-2-one, 12 (0.39 g, 1.43 mmol) in methanol (10.0 mL) in a reaction flask was added, in small portions, sodium borohydride (0.54 g, 14.29 mmol) at 0˚C with vigorous stirring. The reaction proceeded for 24 hours at 0˚C, then water (5 mL), 10% aqueous sodium hydroxide (30 mL), and ethanol (20 mL) were added and the mixture was stirred for 30 minutes. The ethanol was evaporated and the reaction mixture was extracted using ethyl acetate (3 × 20 mL). Combined organic extracts were dried over magnesium sulfate and evaporated to dryness affording colorless oil (0.39 g, 1.42 mmol) quantitatively. The crude product was purified by flash column chromatography to afford pure (1R,2S,3R,4S)-1,7,7-trimethyl-2-(6-methyl-pyridin-2-ylmethyl)bicycle [2.2.1]heptane-2,3-diol, 13 (0.36 g, 1.3 mmol, 92% yield) as a white solid upon evaporation of solvent. Rf 0.6 (silica, hexane/ethyl acetate 1:1). 1H NMR, δ (ppm): 0.66 (s, 3H), 0.82 (s, 3H), 0.99 - 1.09 (m, 1H), 1.19 (s, 3H), 1.35 - 1.45 (m, 2H), 1.68 - 1.77 (m, 2H), 2.51 (s, 3H), 2.89 (d, J = 14.3 Hz, 1H), 3.01 (d, J = 14.3 Hz, 1H), 3.44 (s, 1H), 6.99 (d, J = 7.6 Hz, 1H), 7.03 (d, J = 7.8 Hz, 1H), 7.53 (t, J1 = J2 = 7.7 Hz, 1H). 13C NMR, δ (ppm): 10.8 (CH3), 22.1 (CH3), 22.5 (CH3), 24.1 (CH3), 24.6 (CH2), 30.1 (CH2), 42.5 (CH2), 49.3 (C), 50.9 (CH), 52.2 (C), 81.9 (C-OH), 82.3 (CH-OH), 121.3 (CH), 137.5 (CH), 156.8 (C), 158.5 (C).
(1R,2S,42,2'R)-3,3-Dimethoxy-1,7,7-trimethyl-2-piperidin-2'-ylmethylbicyclo[2.2.1]heptan-2-ol, 15a.
To a solution of (1R,2S,4S)-3,3-dimethoxy-1,7,7-trimethyl-2-pyridin-2-ylmethylbicyclo[2.2.1]-heptan-2-ol, 5 (1.18 g, 3.87 mmol) in acetic acid (6.0 mL) inside a Parr hydrogenation bottle was added PtO2 (0.20 g, 0.87 mmol). The bottle was evacuated and then filled with hydrogen to a pressure of 44 psi. The hydrogenation reaction was conducted for 2 h, after which the solid PtO2 catalyst was filtered off using celite and the solution was neutralized with 3 M aqueous sodium hydroxide until pH was very basic (pH = 10). The obtained solution was extracted with ethyl acetate (3 × 30 ml), dried over magnesium sulfate, and evaporated to dryness to obtain a dark brown viscous liquid (1.14 g, 3.68 mmol, 95% crude yield). Upon purification by flash column chromatography (eluent: hexane/EtOAc 1:1), (1R,2S,42,2'R)-3,3-dimethoxy-1,7,7-trimethyl-2-piperidin-2’-ylmethyl-bicyclo[2.2.1]-heptan-2-ol, 15a, (0.87 g, 2.78 mmol) was obtained in 72% yield, as a light-brown powder. Rf 0.4 (silica, hexane/ethyl acetate 1:1). 1H NMR, δ (ppm): 0.74 (s, 3H), 0.79 (s, 3H), 1.02 - 1.22 (m, 2H), 1.26 (s, 3H), 1.33 (d, J = 8.9 Hz, 1H), 1.38 - 1.66 (m, 3H), 1.78 (d, J = 4.6 Hz, 2H), 1.81 (d, J = 1.3 Hz, 1H), 2.46 (ddd, J1 = J2 = 3.0 Hz, J3 = 13.8 Hz, 1H), 2.96 (dd, J1 = 2.1 Hz, J2 = 6.2 Hz, 2H), 3.11 (s, 3H), 3.40 (s, 3H). 13C NMR, δ (ppm): 10.8 (CH3), 20.5 (CH2), 22.2 (CH3), 22.4 (CH3), 24.5 (CH2), 27.1 (CH2), 29.2 (CH2), 34.2 (CH2), 36.8 (CH2), 45.4 (CH2), 46.7 (C), 50.2 (CH3), 50.6 (CH3), 52.8 (CH), 54.0 (C), 55.4 (CH), 86.9 (C), 110.8 (C).
(1S,3S,4R,2'R)-3-Hydroxy-4,7,7-trimethyl-3-piperidin-2'-ylmethylbicyclo[2.2.1]heptan-2-one, 16.
A solution of (1R,2S,42,2'R)-3,3-dimethoxy-1,7,7-trimethyl-2-piperidin-2'-ylmethylbicyclo-[2.2.1]heptan-2-ol, 15a (0.185 g, 0.59 mmol) in aqueous 3 M HCl (3.0 mL) was stirred in a 25 mL reaction flask for 24 h at room temperature. The mixture was then neutralized with 3 M aqueous sodium hydroxide until the pH was basic (pH = 10). The suspension thus obtained was extracted with ethyl acetate (3 × 15 mL). Combined organic extracts were dried over magnesium sulfate and evaporated to dryness. The residue was further purified by flash column chromatography to afford pure (1S,3S,4R,2'R)-3-hydroxy-4,7,7-trimethyl-3-piperidin-2’-ylmethylbicyclo[2.2.1]heptan-2-one, 16 (0.15 g, 0.56 mmol) in 95% yield, as a brown solid. Rf 0.3 (silica, hexane/ethyl acetate 1:1). 1H NMR, δ (ppm): 0.92 (s, 3H), 0.94 (s, 3H), 1.11 (s, 3H), 1.10 - 1.23 (m, 2H), 1.27-1.41 (m, 3H), 1.46 - 1.65 (m, 6H), 1.75 - 1.86 (m, 2H), 2.10 (d, J = 5.2 Hz, 1H), 2.66 (ddd, J1 = 2.9 Hz, J2 = 14.1 Hz, 2H), 3.02 (d, J = 13.4 Hz, 1H), 3.36 (t, J = 10.9 Hz, 1H). 13C NMR, δ (ppm): 9.59 (CH3), 19.2 (CH3), 21.7 (CH2), 22.1 (CH3), 23.8 (CH2), 26.0 (CH2), 29.7 (CH2), 33.4 (CH2), 37.4 (CH2), 45.0 (CH2), 46.3 (C), 52.8 (C), 53.6 (CH), 59.9 (CH), 79.2 (C), 221.4 (C=O).
(1R,2S,4S,2'R)-1,7,7-Trimethyl-2-piperidin-2’-ylmethyl-bicyclo[2.2.1]heptan-2-ol, 19b and (1R,2S,4R,2'S)-1,7,7-Trimethyl-2-piperidin-2'-ylmethyl-bicyclo[2.2.1]heptan-2-ol, 19a.
A solution of (1R,2S,4R)-1,7,7-trimethyl-2-pyridin-2'-ylmethylbicyclo [2.2.1] heptan-2-ol, 18a (1.0 g, 4.08 mmoles) in glacial acetic acid (6.0 mL) was placed in a hydrogenation bottle of Parr Hydrogenator and platinum oxide (0.2 g, 0.92 mmoles) was added. The bottle was placed in the designated area of the hydrogenation equipment and air was removed from the inside of the bottle before filling the bottle with hydrogen at a pressure of 35 psi. After 2.5 hours, the catalyst was filtered off through celite and 10% aqueous sodium hydroxide (30 mL) was added to the reaction mixture. The suspension formed was extracted with ethyl acetate (3 × 20 mL), combined organic fractions were dried over magnesium sulfate and the solvent was evaporated to dryness affording white solid (0.958 g, 8.81 mmoles) in 93% yield (d.e. = 50% base on methyl signals). The components of the white solid were separated as follows: Combined crude products (from three repeated experiments) (2.95 g, 12.0 mmol), containing mixture of 19a and 19b was dissolved in ethyl acetate (6.0 mL) and hexane (2.0 mL) in a 13 mm × 100 mm Pyrex glass test tube. The obtained solution was warmed up in a hot water bath and D-(+)-10-camphorsulfonic acid (2.73 g, 12.0 mmol) was added. The solution was further warmed up in hot water bath until all the acid has dissolved. The test tube was taken out of the water bath and allowed to cool to room temperature. White crystals of the salt started to precipitate out of the solution after about 15 minutes, so the solution was allowed to stand at r.t. for about 2 hours. The solid crystalline material was separated from the mother liquor by filtration and recrystallized two more times (as described). The final crystals were dissolved in water (20.0 mL) and 3 M NaOH (50.0 mL) was added (pH = 10). Obtained suspension was extracted with ethyl acetate (3 × 20 mL), combined organic extracts dried over magnesium sulfate, filtered and evaporated to dryness to afford (1R,2S,4S,2'R)-1,7,7-trimethyl-2-piperidin-2’-ylmethylbicyclo[2.2.1]heptan-2-ol, 19b (1.39 g, 5.5 mmol) as white solid in 47% yield. Comparison of NMR data (methyl signals) of the crude mixture and pure (1R,2S,4S,2'R)-1,7,7-trimethyl-2-piperidin-2’-ylmethyl-bicyclo[2.2.1]heptan-2-ol, 19b revealed that 19b is the major constituent of the mixture. mp = 71.5˚C - 73˚C,
= +78.1 (conc. = 0.38 g/100 mL, CHCl3).
1H NMR of (1R,2S,4S,2'R)-1,7,7-trimethyl-2-piperidin-2’-ylmethyl-bicyclo [2.2.1]heptan-2-ol, 19b (major component), δ (ppm): 0.82 (s, 3H), 0.96 (s, 3H), 0.99 - 1.03 (m, 1H), 1.08 (s, 3H), 1.17 (s, 1H), 1.24 (d, J = 3.6 Hz, 2H), 1.28 - 1.33 (m, 1H), 1.34 - 1.47 (m, 2H), 1.49 - 1.52 (m, 1H), 1.54 - 1.58 (m, 2H), 1.61 (d, J1 = 4.5 J2 = 4.4 Hz, 2H), 1.65 (d, J = 2.6 Hz, 1H), 1.68 - 1.76 (m, 2H), 1.79 - 1.86 (m, 1H), 1.99 (t, J1 = 4.0 Hz, J2 = 3.3 Hz, 1H), 2.04 (dd, J1 = 4.1 Hz, J2 = 3.8 Hz, 1H), 2.52 (ddd, J1 = J2 = J3 = 2.8 Hz, 1H), 2.89 (tt, J1 = 2.5 Hz, J2 = 10.7 Hz, 1H), 3.02 (m, 1H). 13C NMR of (1R,2S,4S,2'R)-1,7,7-trimethyl-2-piperidin-2’-ylmethyl-bicyclo[2.2.1]heptan-2-ol, 19b, δ (ppm): 12.1 (CH3), 20.9 (CH3), 21.2 (CH3), 24.7 (CH2), 27.1 (CH2), 27.2 (CH2), 30.6 (CH2), 34.2 (CH2), 44.9 (CH), 46.2 (CH2), 46.5 (CH2), 49.1 (CH2), 50.1 (C), 52.1 (C), 55.8 (CH), 81.1 (C-OH).
(1R,2S,4R,2'S)-1,7,7-trimethyl-2-piperidin-2'-ylmethyl-bicyclo[2.2.1]heptan-2-ol, 19a 1H NMR of 19a (minor component: partial assignment of peaks from crude mixture by comparison with pure 19b), δ (ppm): 0.81 (s, 3H), 0.83 (s, 3H), 1.11 (s, 3H), 2.10 (dt, J1 = 3.5 Hz, J2 = 12.7 Hz, 1H), 2.57 (d, J = 2.8 Hz, 1H), 2.62 (d, J = 2.6 Hz, 1H), 2.78 (b, 1H), 2.93 (m, 1H). 13C NMR of 19a, δ(ppm): 10.6, 21.0, 21.7, 27.0, 27.3, 30.0, 35.0, 43.1, 45.3, 45.6, 47.5, 52.2, 55.2, 81.2.
1-Benzyl-2-((1R,2S,4R)-2-hydroxy-1,7,7-trimethylbicyclo[2.2.1]hept-2-ylmethyl)-pyridinium bromide, 20.
To a solution of (1R,2S,4R)-1,7,7-trimethyl-2-pyridin-2-ylmethylbicyclo [2.2.1]heptan-2-ol, 18 (1.03 g, 4.19 mmol) in acetone (10 mL) was added benzyl bromide (1.43 g, 8.38 mmol). The obtained solution was refluxed for 24 h and then allowed to cool back to room temperature. Solid precipitate that formed after cooling was filtered and rinsed three times with ethyl acetate (3 x 10 mL). 1-Benzyl-2-((1R,2S,4R)-2-hydroxy-1,7,7-trimethylbicyclo[2.2.1]hept-2-ylmethyl)pyridi-nium bromide, 20 was formed as white crystalline solid in 73% yield (1.27 g, 3.04 mmol). 1H NMR, δ (ppm): 0.89 (s, 3H), 0.99 (s, 3H), 1.06 (s, 3H), 1.29 - 1.37 (m, 1H), 1.43 - 1.54 (m, 1H), 1.71 - 1.78 (m, 1H), 1.87 (s, broad, 2H), 3.11 (d, J = 14.0 Hz, 1H), 3.42 (d, J = 14.0 Hz, 1H), 5.92 (d, J = 15.7 Hz, 1H), 6.21 (d, J = 15.7 Hz, 1H), 7.14 (d, J = 7.9 Hz, 2H), 7.43 (m, 3H), 7.98 (t, J1 = J2 = 6.3 Hz, 1H), 8.29 (d, J = 8.0 Hz, 1H), 8.52 (t, J1 = J2 = 7.9 Hz, 1H), 8.91 (d, J = 6.3 Hz, 1H). The 13C NMR was not taken for this intermediate.
(1R,2S,4R)-2-(((2’R)-1’-Benzyl-1’,2’,3’,6’-tetrahydropyridin-2’-yl)methyl)-1,7,7-trimethyl-bicyclo-[2.2.1]heptan-2-ol, 21.
To a solution of 1-benzyl-2-((1R,2S,4R)-2-hydroxy-1,7,7-trimethyl-bicyclo [2.2.1]hept-2-yl-methyl)pyri-dinium bromide, 20 (50 mg, 0.12 mmol) in methanol (3 mL) at −10˚C was added sodium borohydride (22.7 mg, 0.6 mmol) under vigorous stirring. The reaction was stirred at this temperature for 24 h and thereafter quenched with water (5 mL) and 20% aqueous NaOH (5 mL) with stirring for additional 15 minutes. Additional water (10 mL) was added to the reaction mixture and the obtained mixture was extracted with dichloromethane (3 × 15 mL). The organic extracts were dried over magnesium sulfate, the drying agent filtered and the solvent evaporated to afford golden-yellow solid. This solid was purified by flash column chromatography, using eluent system of hexane/ethyl acetate (6:1), (1R,2S,4R)-2-(((2’R)-1’-benzyl-1’,2’,3’,6’-tetrahydropyridin-2’-yl)methyl)-1,7,7-trimethyl-bicyclo-[2.2.1]heptan-2-ol, 21 (40.8 mg, 0.11 mmol) in 98.9% yield as white solid. 1H NMR, δ (ppm): 0.83 (s, 3H), 1.01 (s, 3H), 1.11 (s, 3H), 1.23 - 1.37 (m, 2H), 1.39 - 1.56 (m, 2H), 1.61 - 1.65 (m, 1H), 1.68 - 1.71 (m, 1H), 1.73 - 1.83 (m, 2H), 2.04 ( t, J1 = 4.1 Hz, J2 = 3.0 Hz, 1H), 2.08 (t, J1 = 4.6 Hz, J2 = 2.8 Hz, 1H), 2.11 (d, J = 2.9 Hz, 1H), 2.34 (broad peak, 1H), 2.95 (broad peak, 1H), 3.33 (broad peak, 1H), 3.44-3.49 (m, 1H), 3.64 (d, J = 13.0 Hz, 1H), 3.85 (d, J = 13.0 Hz, 1H), 5.52 (m, 1H), 5.80 (m, 1H), 7.21-7.34 (m, 5H). 13C NMR, δ (ppm): 12.6, 21.0, 21.2, 25.5, 27.3, 30.7, 38.9, 41.8, 44.6, 45.1, 48.9, 50.5, 51.9, 55.3, 81.6, 123.5, 124.1, 127.1, 128.4, 128.8, 129.0, 129.1, 138.5.
(1R,2S,6R,7S)-2-((4-Ethyl-1,10,10-trimethyl-3,5-dioxa-4-bora-tricyclo[5.2.1.02,6]dec-2-yl)methyl)pyridine, 23.
To a solution of (1R,2S,3R,4S)-1,7,7-trimethyl-2-pyridin-2-ylmethylbicyclo [2.2.1]heptane-2,3-diol, 7 (0.10 g, 0.383 mmol) in toluene (1.0 mL) in a 25 mL two-neck round-bottomed flask was added 1 M triethyl borane (0.38 mL, 0.383 mmol) and the solution was refluxed for 12 hours. Excess solvent was evaporated to afford (1R,2S,6R,7S)-2-((4-ethyl-1,10,10-trimethyl-3,5-dioxa-4-boratricyclo-[5.2.1.02,6]dec-2-yl)methyl)pyridine, 23 (0.11 g, 0.375 mmol), as a light-brown viscous oil in 98% yield. 1H NMR, δ (ppm): 0.47 (q, J = 8.1 Hz, J = 7.9 Hz, J = 7.5 Hz, 2H), 0.72 (t, J1 = 7.6 Hz, J2 = 7.9 Hz, 3H), 0.89 (s, 3H), 1.0 (s, 3H), 1.09 (s, 3H), 1.35 - 1.56 (m, 2H), 1.73 - 1.84 (m, 1H), 1.95 (d, J = 5.2 Hz, 1H), 3.11 (dd, J1 = 13.6 Hz, J2 = 13.6 Hz, 2H), 4.28 (s, 1H), 7.15 (t, J1 = 7.2 Hz, J2 = 5.4 Hz, 1H), 7.23 (d, J = 7.8 Hz, 1H), 7.59 (t, J1 = 7.6 Hz, J2 = 6.1 Hz, 1H), 8.5 (d, J = 4.8 Hz, 1H). 13C NMR, δ (ppm): 7.4, 9.8, 20.8, 23.8, 24.1, 29.7, 42.3, 48.4, 48.9, 51.3, 87.5, 92.1, 121.5, 125.7, 128.4, 135.9, 148.3, 158.3.
(1S,4R)-4,7,7-Trimethyl-3-pyridin-2-ylmethylenebicyclo[2.2.1]heptan-2-one, 24.
To a solution of (1S,3S,4R)-3-hydroxy-4,7,7-trimethyl-3-pyridin-2-ylmethyl-bicyclo[2.2.1]-heptan-2-one, 6 (0.10 g, 0.39 mmol) in toluene (1.0 mL) in a 25 mL two-neck round-bottom flask was added 1 M triethyl borane (0.39 mL, 0.39 mmol) and the solution was refluxed for 24 hours. The solvent evaporated from the reaction mixture leaving behind as a black solid, (1S,4R)-4,7,7-trimethyl-3-pyridin-2-ylmethylenebicyclo[2.2.1]heptan-2-one, 24 (0.073 g, 0.301 mmol., 77% yield). 1H NMR, δ (ppm): 0.92 (s, 3H), 0.98 (s, 3H), 1.20 (s, 3H), 1.40 - 1.61 (m, 2H), 1.88 - 2.04 (m, 2H), 2.30 (d, J = 4.42 Hz, 1H), 6.61 (s, 1H), 7.18 (t, J1 = 6.5 Hz, J2 = 5.0 Hz, 1H), 7.70 (ddd, J1 = 1.8 Hz, J2 = 1.7 Hz, J3 = 1.7 Hz, 1H ), 8.45 (d, J = 8.1 Hz, 1H), 8.58 (d, J = 4.1 Hz, 1H); 13C NMR, δ (ppm): 12.7, 17.7, 20.4, 22.3, 34.3, 45.8, 53.4, 60.3, 122.9, 125.4, 131.0, 136.2, 148.1, 148.7, 153.4, 205.6.
(1R,2R,4S,4a'R)-1'-ethyl-1,7,7-trimethylhexahydro-1'H-spiro[bicyclo[2.2.1]-heptane-2,3'-pyrido[1,2-c][1,3,2]oxazaborinin]-3-one, 25.
To a solution of (1S,3S,4R,2'R)-3-hydroxy-4,7,7-trimethyl-3-piperidin-2’-yl-methylbicyclo-[2.2.1]heptan-2-one, 16 (0.027 g, 0.103 mmol) in toluene (1.0 mL) in a 25 mL two-neck round-bottom flask was added 1 M triethyl borane (0.1 mL, 0.103 mmol) and the solution was then refluxed for 24 hours. Excess solvent was evaporated to afford (1R,2R,4S,4a'R)-1'-ethyl-1,7,7-trimethylhexahydro-1'H-spiro[bicyclo[2.2.1]-heptane-2,3'-pyrido[1,2-c][1,3,2]oxazaborinin]-3-one, 25 (0.029 g, 0.098 mmol), as a dark-brown viscous oil in 95% yield. 1H NMR, δ (ppm): 0.75 (q, J1 = 7.3 Hz, J2 = 8.0 Hz, J3 = 3.6 Hz, 2H), 0.91 (s, 3H), 0.95 (t, J1 = 7.4 Hz, J2 = 7.8 Hz, 3H), 0.96 (s, 3H), 1.0 - 1.08 (m, 2H), 1.13 (s, 3H), 1.22 - 1.42 (m, 4H), 1.44 - 1.59 (m, 2H), 1.66 - 1.67 (m, 1H), 1.78 (m, 1H), 2.12 (d, J = 4.4 Hz, 1H), 2.47 (dd, J1 = 7.1 Hz, J2 = 7.1 Hz, 2H), 2.68 - 2.77 (m, 1H), 2.85 - 2.94 (m, 1H), 3.18 (d, J = 12.1 Hz, 1H). 13C NMR, δ (ppm): 7.4, 10.3, 20.6, 20.7, 21.9, 24.7, 24.8, 25.7, 30.4, 34.0, 40.9, 44.2, 50.7, 52.6, 62.6, 99.2, 109.3, 224.3.
Typical procedure for the synthesis of 1-phenyl-1-propanol.
To a solution of ligand (0.188 mmol) in dry toluene (3.6 mL) under argon in a 25 mL round-bottom flask at 0˚C was added diethyl zinc (4.7 mmol). The reaction mixture was stirred for 1 hour at room temperature and then brought back to 0˚C. Aldehyde (0.94 mmol) was then added dropwise with stirring and the reaction was allowed to proceed for 24 hours at 0˚C. The reaction mixture was treated afterward with 3 M HCl (15.0 mL), extracted with ethyl acetate (3 × 15 mL), rinsed with water (10.0 mL), backwashed with NaHCO3 (5.0 mL), washed with brine and dried over magnesium sulfate and the solvent was removed under reduced pressure to afford slightly yellowish oil. This was purified by flash chromatography to afford pure 1-phenyl-1-propanol as a colorless liquid. Rf 0.5 (hexane:ethyl acetate/2:1). 1H and 13C NMR spectra correlate with those reported earlier.6 The purified product was analyzed by HPLC (Chiralcel OD or AD, hex./IPA 95:5, 0.7 mL/min., 254 nm).
5. Conclusions
We have described syntheses and structural characterization (including four X-ray crystal structures) of six new camphor-based amino alcohols and diols. These compounds were utilized as ligands for enantioselective additions of Et2Zn to benzaldehydes to obtain 1-phenylethanols. The highest enantioselectivity (77%) was obtained in the case of p-chlorobenzaldhyde with 13 as a ligand. The results show that amino 2,3-diol 7 (Table 3, entry 11) gave better asymmetric induction than the related 3-dehydroxy derivative [31] [32] 18a (Table 3, entry 1) even at lower ligand concentration (Table 3, entry 12). The same did not work in the case of 18b [32] . Adding a hydroxyl group at C3 of 18b (i.e. converting 18b to 13) gave rise to a decrease of the catalytic performance. This together with the known better performance [25] of ligand 28 suggest that further studies aiming on better enantioselectivities through intelligent functionalization of these scaffolds should focus on derivatives of 27 and 28 instead of related 1,3-aminoalcohols (such as 18), or hybrid compounds (e.g. 7 and 13).
An attempt was also made in using amino diols 7 and 13 as ligands for enantioselective additions of terminal alkynes to aldehydes. Unfortunately the results were very poor. Our studies on these new ligands continue.
Acknowledgements
We are grateful to the Chemistry and Biochemistry Department of the University of Massachusetts, Dartmouth for their financial support. We sincerely acknowledge University of Massachusetts Amherst for MS/HRMS measurements.