Unsteady Incompressible Viscoelastic Flow of a Generalised Maxwell Fluid between Two Rotating Infinite Parallel Coaxial Circular Disks ()
1. Introduction
The study of fluid flow between two parallel disks is of practical importance in many fields such as machine storage devices, computer devices, crystal growth processes, turbine engines, radial diffusers, lubrication, viscometry etc. The rotating disc problem was first formulated by von Kármán [1]. He considered the flow of a viscous incompressible fluid under the influence of a rotating disk. Later Cochran [2] obtained asymptotic solutions to the steady hydro-dynamic problem formulated by von Karman. It is found that the disc acts are like a centrifugal fan, the fluid near the disc being thrown radially outwards. Hossain and Rahman [3] studied the steady flow between two porous rotating discs in the presence of transverse magnetic field. Hossain and Wilson [4] investigated unsteady flow of viscous incompressible fluid with temperature-dependent viscosity due to a rotating disc in the presence of transverse magnetic field and heat transfer. Wenchang, Wenxiao and Mingyu [5] have studied unsteady flows of a visco-elastic fluid with the fractional Maxwell model between two parallel plates. Maji, Ghara, Jana and Das [6] have considered unsteady MHD flow between two eccentric rotating disks. Liu, Zheng, Zhang and Zong [7] discussed the oscillating flows and heat transfer of a Generalised Oldroyed-B fluid in the presence of magnetic field. Kempegowda and Balagondar [8] have worked out exact solutions of nonNewtonian fluid flow between two moving parallel disks with stability analysis.
In the present paper we have considered unsteady incompressible visco-elastic flow of a generalized Maxwell fluid between two rotating infinite coaxial circular disks. In the aforesaid problems, time derivative of integer order has been considered in the Navier-Stokes equation but in the present problem we have considered the constitutive equation for Maxwell fluid with fractional order time derivative instead of integer order time derivative. In the constitutive equation the time derivative of integer order is replaced by the Caputo fractional calculus operator. We have obtained the analytical solution to the velocity field in series involving Mittag-Leffler function and illustrated graphically the dependence of the velocity field on the fractional and material parameters.
2. Generalised Maxwell Model and Basic Equation
The constitutive equation of a Generalised incompressible Maxwell fluid can be written as,
(1)
where,
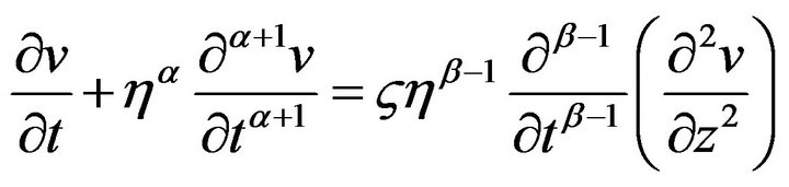
is the shear stress,
is a relaxation parameter, G is the shear modulus, α and β are fractional parameters such that
and
is the shear strain.
and
are Caputo operators given by
(2)
For
the Equation (1) gives Ordinary Maxwell fluid model and for
,
, a Classical Newtonian fluid model is recovered.
The Equation (1) can be rewritten as
(3)
where
is the shear rate.
The equation of motion in the absence of the body force can be written as
(4)
where
is the density of the fluid,
is the fluid velocity,
is the material derivative,
is the stress tensor.
The equation of continuity is given by
(5)
3. Mathematical Formulation
Let an incompressible viscous Generalised Maxwell fluid be bounded by two coaxial infinite parallel circular disks at a distance “d” apart and the fluid as well as the disks are initially at rest as shown in Figure 1. Suddenly the lower and the upper disks begin to rotate with velocities Ω and sΩ respectively and as a consequence the fluid is set in motion. Here we take the cylindrical coordinate system
, where r, θ and z-coordinates are taken in the radial, cross radial and the direction joining the centers of the circular disks. We take the velocity profile of the form
where
is the unit vector in the θ-direction. For such flows the constraint of incompressibility is automatically satisfied. For this problem the constitutive relationship becomes
(6)
The momentum equation is
(7)
Eliminating
between the Equations (6) and (7) we get the basic equation as
(8)
The Equation (8) is the governing equation of the flow of a Generalised Maxwell fluid between two rotating infinite parallel circular disks considered in the present problem.
The boundary conditions are given by
at 
at 
“s” is some constant.
The initial condition is given by

Now let us introduce the dimensionless variables

Then the governing Equation (8) in non-dimensional variables is given by (for simplicity the dimensionless mark “'” will be neglected hereinafter).
(9)
where, 
The boundary conditions in non-dimensional variable becomes
and 
Let us consider the transformation given by
(10)
Then in terms of new variable the governing equation becomes
(11)
Subject to the boundary conditions
and 
and initial condition

Taking Laplace transformation and using initial condition we get from Equation (11)
(12)
where,
is the Laplace transformation of
defined by

where “p” is Laplace transform parameter.
Taking finite Fourier sine transformation we get from the Equation (12)
(13)
where,
is the finite Fourier sine transformation of
defined by

where 
Taking Laplace transformation of the boundary conditions we get,
and 
Using the above conditions we get from Equation (13)
(14)
The Equation (14) can be written as
(15)
In order to avoid the lengthy procedure of residues and contour integrals, we rewrite the Equation (15) into series form given by

(16)
Now we have an important Laplace transformation of the nth order derivative of Mittag-Leffler function
given by
(17)
(18)
Taking inverse Laplace transformation we get from Equation (16)
(19)
Taking inverse finite Fourier sine transformation we get from Equation (19)

Changing the variable
to
by the transformation
we get the expression for the velocity field as follows,
(20)
4. Limiting Cases
Case-I If
then the equation of motion is
(21)
Subject to the boundary conditions
and 
and initial condition

The Equation (21) is the damped wave equation and it represents the governing equation of an Ordinary Maxwell fluid.
Then we get the velocity profile from the Equation (20) as

(22)
Case-II If
, the equation of motion is given by
(23)
subject to the boundary condition
and 
and initial condition

The Equation (23) is diffusion equation and it represents the governing equation of a Classical Newtonian Fluid.
Then we get the velocity profile from the Equation (20) as
(24)
5. Conclusions and Numerical Results
In the present paper we have found out the analytical solution to the velocity field by integral transform in series form in terms of Mittage-Leffler function for the unsteady incompressible flow of a Generalised Maxwell fluid between two rotating infinite parallel coaxial circular disks. We have got the solutions to the velocity fields for ordinary Maxwell fluid and Classical Newtonian fluid as the limiting cases of the solution of Generalised Maxwell fluid. In the constitutive equation for the Maxwell fluid the time derivative of integer order is replaced by Riemann-Liouville operator. The dependence of the velocity field on the fractional as well as material parameters has been illustrated graphically.
In Figure 2 the velocity is depicted against the distance from the lower disk along the direction of the common axis of rotation for different values of the fractional calculus parameter α. From the Figure it is evident that as the value of the parameter α increases the fluid velocity in the θ-direction increases. It can be noticed that the point of maximum velocity of the velocity curve gradually shifts towards the lower disk as α increases. In Figure 3 the velocity is plotted against the distance from the lower disk for different values of fractional calculus parameter β. As the value of β increases, the fluid velocity increases near the lower disk whereas the velocity decreases near the upper disk. The velocity is depicted against the distance from the lower disk for different values of parameters “α” and “s” in Figure 4. As “α” and “s” increase simultaneously the fluid velocity increases and is maximum near the midpoint region between the two parallel disks. It is evident from the figure that the points of maximum velocity of the velocity curve gradually shift towards the lower disk as in the case in Figure 1.
In Figure 5 the velocity is plotted against the distance from the lower disk for different values of the material parameter “ζ”. It can be observed that as “ζ” increases the fluid velocity decreases near the lower disk whereas the velocity increases near the upper disk. The velocity is depicted against the distance from the lower disk for dif-

Figure 2. The velocity profile is depicted against the distance from the lower disk along the direction of the common axis of rotation for different values of fractional parameter α. β = 1.0, ζ = 0.03, η = 0.02, s = 0.2, t = 0.2.

Figure 3. The velocity profile is depicted against the distance from the lower disk along the direction of the common axis of rotation for different values of fractional parameter β. α = 0.2, ζ = 0.03, η = 0.02, s = 0.2, t = 0.2.

Figure 4. The velocity profile is depicted against the distance from the lower disk along the direction of the common axis rotation for different values of parameters α and s. β = 1.0, ζ = 0.03, η = 0.02, t = 0.2.

Figure 5. The velocity profile is depicted against the distance from the lower disk along the common axis of rotation for different values of the parameter ζ. α = 0.2, β = 0.8, η = 0.02, s = 0.2, t = 0.2.
ferent values of material parameter “η” in Figure 6. It can be noticed that the velocity decreases with the increasing values of the parameter “η” and the point of maximum velocity of the curve shifts towards the lower disks. The velocities are maximum near the lower disk for the cases. In Figure 7, as “z” increases from 0 to 0.5 the fluid velocity decreases negatively whereas the velocity increases positively as “z” increases from 0.6 to 1.0. The velocity is depicted against the distance from the lower disk for three different cases namely Case-I Ordinary Maxwell Fluid, Case-II Classical Newtonian Fluid and Case III Generalised Maxwell fluid in Figure 8. In CaseI
and in Case-II
and in Case-III
. In the case for Ordinary Maxwell Fluid, there is a point of local maximum (near

Figure 6. The velocity profile is depicted against the distance from the lower disk along the direction of the common axis of rotation for different values of η. α = 0.2, β = 0.8, ζ = 0.03, s = 0.2, t = 0.2.

Figure 7. The velocity profile is depicted against time with different distances from the lower disk along the direction of the common axis of rotation. α = 0.2, β = 0.8, ζ = 0.03, η = 0.04, s = 0.2.

Figure 8. The velocity profile is depicted against the distance from the lower disk along the direction of the common axis of rotation for three cases. Case-I: Ordinary Maxwell Fluid, α = β = 1.0, ζ = 0.03, η = 0.02, s = 0.2, t = 0.2; Case-II: Classical Newtonian Fluid. α = 0.0, β = 1.0, t = 0.2, ζ = 0.03, η = 0.02, s = 0.2; Case-III: Generalised Maxwell Fluid. α = 0.2, β = 0.8, t = 0.2, ζ = 0.03, η = 0.02, s = 0.2.
the lower disk) at which the velocity gradient is zero. The velocity curves for Classical Newtonian and Generalised Maxwell Fluids are almost parallel to the horizontal axis compared to the velocity curve for the Ordinary Maxwell Fluid. It can be seen that the velocity curve for the Generalised Maxwell Fluid has a point of local maximum.