Investigating the Effects of Injection Pipe Orientation on Mixing and Heat Transfer for Fluid Flow Downstream a T-Junction

Abstract

At T-junctions, where hot and cold streams flowing in pipes join and mix, significant temperature fluctuations can be created in very close neighborhood of the pipe walls. The wall temperature fluctuations cause cyclical thermal stresses which may induce fatigue cracking. Temperature fluctuation is of crucial importance in many engineering applications and especially in nuclear power plants. This is because the phenomenon leads to thermal fatigue and might subsequently result in failure of structural material. Therefore, the effects of temperature fluctuation in piping structure at mixing junctions in nuclear power systems cannot be neglected. In nuclear power plant, piping structure is exposed to unavoidable temperature differences in a bid to maintain plant operational capacity. Tightly coupled to temperature fluctuation is flow turbulence, which has attracted extensive attention and has been investigated worldwide since several decades. The focus of this study is to investigate the effects of injection pipe orientation on flow mixing and temperature fluctuation for fluid flow downstream a T-junction. Computational fluid dynamics (CFD) approach was applied using STAR CCM+ code. Four inclination angles including 0 (90), 15, 30 and 45 degrees were studied and the mixing intensity and effective mixing zone were investigated. K-omega SST turbulence model was adopted for the simulations. Results of the analysis suggest that, effective mixing of cold and hot fluid which leads to reduced and uniform temperature field at the pipe wall boundary, is achieved at 0 (90) degree inclination of the branch pipe and hence may lower thermal stress levels in the structural material of the pipe. Turbulence mixing, pressure drop and velocity distribution were also found to be more appreciable at 0 (90) degree inclination angle of the branch pipe relative to the other orientations studied.

Share and Cite:

Agbodemegbe, V. , Debrah, S. , Boatemaa, A. and Shitsi, E. (2024) Investigating the Effects of Injection Pipe Orientation on Mixing and Heat Transfer for Fluid Flow Downstream a T-Junction. Journal of Power and Energy Engineering, 12, 1-30. doi: 10.4236/jpee.2024.1210001.

1. Introduction

At T-junctions, where hot and cold streams flowing in pipes join and mix, significant temperature fluctuations can be created in very close neighborhood of the pipe walls. The wall temperature fluctuations cause cyclical thermal stresses which may induce fatigue cracking. Temperature fluctuation is of crucial importance in many engineering applications and especially in nuclear power plants. This is because the phenomenon leads to thermal fatigue and might subsequently result in failure of structural material. Therefore, the effects of temperature fluctuation in piping structure at mixing junctions in nuclear power systems cannot be neglected. In nuclear power plant, piping structure is exposed to unavoidable temperature differences in a bid to maintain plant operational capacity. Tightly coupled to temperature fluctuation is flow turbulence, which has attracted extensive attention and has been investigated worldwide since several decades.

In an attempt to achieve increased power in a nuclear power plant, higher operating temperatures are utilized, the residual effects of this is however a point of concern since it can lead to structural deformation of the piping system. Thermal fatigue phenomena is an issue of great importance and several researches have been conducted worldwide to better understand the phenomenon and develop evaluation methods aimed at supporting informed decision making in nuclear power plant piping system design. When piping structure is exposed to unavoidable temperature differences in an effort to optimize plant operating conditions, the effects on the piping structure especially at mixing junctions will be a great determinant of the extent of optimization that could be implemented. Although the effects of thermal fatigue is material specific, it is largely dependent on several other flow parameters such as the magnitude and propagation of temperature fluctuation in flow channels. The consequences of thermal-hydraulic parameters of flow on the piping structure can be predicted with more confidence by recourse to simulation using computational fluid dynamic analysis codes.

The basis of this study is the T-junction Benchmark which was initiated by OECD/NEA-Vattenfall, to test how significant parameters affecting high-cycle thermal fatigue in mixing T-junctions can be predicted by Computational Fluid Dynamics (CFD) codes [1]. Interest in the subject first arose in the early 1980s [1], but then gained significant attention following the 1998 incident in France at the Civaux-1 where several incidents of high-cycle fatigue mainly in T-junctions were observed [2] [3]. When hot and cold streams meet and mix in a junction, significant temperature fluctuations can be created close to the pipe walls [4].

Cyclical thermal stresses can occur due to these temperature fluctuations near the pipe walls, which may induce fatigue cracking in the structure. Thermal fatigue problem in the1980’s in context of Liquid-Metal Fast Breeder Reactors were initially studied when it was considered a significant problem due to the high thermal conductivity of the liquid-metal sodium coolant [1]. The upper core structure and the plenum region were areas of major concern.

The Civaux-1 failure and other related incidents showed that piping system T-junction connections are exposed to thermal fatigue that arises from low and high cycle temperature turbulences [5]. In-service experiences show that thermal fatigue cracks may occur arbitrarily in different locations, example; welds, elbows, base material, straight pipes subjected to diverse loading conditions. Cracks that occur according to Jhung [5] are normally attributed to temperature mixing effects and thermal stratification caused by the different mass flows in “run” and “branch” pipes at the T-junction connection.

Experiments on thermal mixing in T-junctions are being carried out in several countries including Germany, Japan, France, Sweden and Switzerland [1]. In particular, experiments have been performed at the Älvkarleby Laboratory of Vattenfall Research and Development in Sweden since 2006, aimed at providing high quality validation data for CFD calculations (OECD/NEA-Vattenfall T-junction Benchmark) [1].

The European Commission also funded a 3-year project “thermal fatigue evaluation of piping system ‘Tee’-connections” with the primary aim of advancing the accuracy and reliability of thermal fatigue load determination and to formulate research oriented approaches and methodologies in managing risks of thermal fatigue [6].

Failure of materials in T-junction piping system has been associated with variation in flow rate of fluid occurring at different temperatures [7]. This fluctuation in temperature causes deformation in the structural material which in turn causes changes in the boundary conditions of the fluid flow [8]. To predict this phenomenon, models available in software application such as STAR-CCM+ (models for predicting phenomena relating to flow of fluid) are evaluated in the present research. The study adopted STAR-CCM+ Computational Fluid Dynamic (CFD) code to predict the effect of varying branch pipe angle of inclination on flow parameters that affect thermal fatigue. It was focused on determining the thermal and velocity distribution downstream the mixing -junction and the possible rate of acceleration of structural deformation that will result from varying the angle of inclination of branch pipe to the main pipe and also varying the temperature difference at the main and the branch pipe flow inlets. A sensitivity analysis of turbulence models was performed for the problem considered and the validated model was used to characterise the temperature fluctuations, velocity fields and also ascertain the trends of other mean and turbulent flow parameters downstream the mixing-junction. The study was limited to the application of suitable models in STAR-CCM+ to investigate the distribution of mean and turbulent flow fields at and downstream the mixing-junction of the geometry. Thermal fatigue which could occur as a result of mixing behavior of fluid flow and heat transfer in a T-junction pipe as well as turbulence modelling approaches such as RANS and URANS which are potentially applied in the simulation of these behaviors are briefly discussed in subsequent sessions.

1.1. Thermal Fatigue

Thermal fatigue has been a topic of great interest for many years and researchers have been working for decades with regards to understanding and solving problems in several spheres of thermal hydraulics and reactor management.

Thermal fatigue is a phenomenon that occurs frequently in thermal hydraulics systems such as reheat systems, turbines, emergency core cooling systems (ECCS) of nuclear power plants (NPP) and as such ought to be studied to better understand the mechanisms behind the phenomenon. Thermal fatigue related failures occurred in several nuclear power plants including; Genkail (Japan), Tihange (Belgium), Farley (USA), Lovilsa (Finland), PFR (UK), Forsmark (Sweden), Tsuruga (Japan), Tomari (Japan), Civaux (France) [4] [9].

The understanding of these phenomena and the development of evaluation methods of thermal fatigue are important from the viewpoint of design, operation and safety of the plants. It is an important factor in ageing management of nuclear power [10]. Thermal fatigue mechanisms need to be monitored to ensure safety and continuous operation of nuclear power systems [11]. Roos et al. [12] considered thermal fatigue as an important safety issue in primary piping system of nuclear power plants. The degradation mechanism of thermal fatigue is induced by temperature fluctuations that result from mixing hot and cold flows. Ayhan & Sökmen [13] strongly observed that these fluctuations occur when a fluid meeting at different temperatures arrives at the pipe wall before reaching thermal equilibrium.

Although a possible way of reducing the risk of such problems requires the installation of static mixers in order to enhance mixing process [13]. Chapuliot et al. [14] argue that turbulent mixing in nuclear reactor cooling systems can potentially lead to appearance of the thermal fatigue phenomena. Static mixers according to Ndombo and Howard [15] have been developed at Vattenfall Utveckling AB since the early 1980s and are installed in nuclear power plants. However, these static mixing devices are expensive to install. Accurate characterization of temperature fluctuations is therefore important in order to estimate the lifetime of pipe material used in the design of nuclear power plants.

1.2. Thermal Fatigue Mechanism

Thermal fatigue is one of the major degradation mechanisms that must be considered in nuclear power plant piping system. The phenomenon is predominant in flow through T-Junction pipes. Thermal fatigue vis-à-vis ageing and life-management of Light Water Reactors (LWRs) is of serious safety concern and hence ought to be studied. Temperature fluctuation caused by fluid mixing propagates in the pipe wall, and the temperature distribution generates thermal stress [7]. According to Nakamura et al. [7], the pipe cracking may be caused by this stress if it is bigger than the fatigue limit.

Thermal loads and cracking failure mechanism at mixing zone of hot and cold fluids can be decomposed into elemental processes as indicated in Figure 1. The present study is focused on and limited to elements A and B as shown in Figure 1 which involves temperature fluctuation analysis in the main flow and also at the boundary layer using CFD code.

Figure 1. Thermal fatigue initiation and progression [7].

Beyond the scope of the present study, future work which will involve thermal stress analysis, fatigue crack initiation and crack propagation analysis will be carried out using suitable codes.

1.3. Thermal Fatigue Prediction

Jhung [5] pointed out the need to study thermal fatigue evaluation of piping system’s t-junction connections using CFD models. Jhung stated that, although common fatigue issues are well understood and controlled by plant instrumentation at fatigue susceptible locations, incidents that indicate that certain t-junction piping system connections are susceptible to temperature mixing effects are not well predicted by common thermocouple instrumentations. Hence the need to use numerical analysis and algorithms in analyzing and computing problems associated with fluid flow in a component and further predicting the thermal load.

A typical strategy applied to thermal fatigue prediction involves the use of Computational Fluid Dynamics simulations to determine the temperature fluctuations, which serves as an input for the structural mechanics analyses [16]. Due to cost and safety considerations, computational fluid dynamic (CFD) methods such as; Reynolds Averaged Navier Stokes (RANS) equations, Large Eddy Simulation (LES), Scale-Adaptive Simulation (SAS) can in principle be used to compute the flow in the component and thus predict the thermal load [17]. Codes available for performing these simulations include; Fluent, STAR-CCM+, CFX, CABARET, OpenFOAM, NEK5000, and TransAT.

A coupled CFD-FEM strategy to predict thermal fatigue in mixing tees of nuclear reactor has been reported by Hannink et al. [18]. In this approach, temperature fluctuations determined from the application of a CFD code are imposed as thermal loads in the FEM (Finite Element Method) model of the structure; the thermal stresses are then determined by means of mechanical analysis. Based on the determined thermal stresses, the fatigue lifetime of the structure is predicted using a fatigue curve from a design code.

Figure 2 shows CFD and FEM code application in process chart for analyzing thermal stripping.

Figure 2. Application of codes in thermal fatigue analysis (JSME Guideline) [18].

1.4. RANS and URANS Simulation

Navier-Stokes equations are based on the conservation law of physical properties of fluid such as mass, momentum and energy. These equations are inherently nonlinear, time-dependent, three-dimensional PDEs [19]. Turbulent flow instabilities originate from interactions between non-linear inertial terms and viscous terms in Navier-Stokes equation. These interactions are rotational, fully time-dependent and fully three-dimensional [19].

The Reynolds Averaged Navier Stokes (RANS) equations are time averaged of motion for fluid flow. These equations can be used with approximations based on the knowledge of the properties of flow turbulence to give approximate averaged solutions to the Navier stokes equations [20]. The basic requirement for the derivation of the RANS equation from the instantaneous Navier Stokes equations is the Reynolds decomposition. Reynolds decomposition refers to separation of the flow variable into mean and fluctuating component.

All variables describing flow, fluid’s density (ρ), velocity components (v), pressure (p) and components of viscous stress tensor ( τ ij ) are disintegrated into their mean and fluctuating components and integration over time (i.e. time-averaging) is performed [19].

The RANS equation is:

u ¯ i x i =0 (1)

u ¯ j u ¯ i x j = 1 ρ p ¯ x i +υ 2 u ¯ i x j 2 u i u j ¯ x j (2)

This equation describes the effects of turbulence on mean flow characteristics. The instantaneous velocity and pressure is expressed in Equations (1) and (2) respectively as;

u= u ¯ i + u i (3)

p= p ¯ i + p i (4)

u ¯ i = u ¯ i ( x,t ) (5)

p ¯ i = p ¯ i ( x,t ) (6)

u i u j ¯ = u i u j ¯ ( x,t ) (7)

where, u is the instantaneous velocity, u ¯ i is the mean component velocity, u i is the fluctuating component velocity, p is the instantaneous pressure, p ¯ i is the mean component pressure and p i is the fluctuating component pressure. The dependent variables are function of space and time. x=( x,y,z ) , where x is the position vector.

The last term in Equation (1) represents the correlation between fluctuating velocities and is known as Reynolds stress tensor. All the effects of turbulent fluid motion on the mean flow is lumped into this single term by the process of averaging, this enables a great savings in terms of computational requirements [21].

The difference between RANS and URANS is that an additional unsteady term is present in the URANS momentum equation [22].

The URANS equation is given as;

u ¯ i x i =0 (8)

u ¯ i t + u ¯ j u ¯ i x j = 1 ρ p ¯ x i +υ 2 u ¯ i x j 2 u i u j ¯ x j (9)

It is known as Unsteady-RANS since the transient term is retained during computation. Results from the URANS are therefore unsteady [21]. The time-averaged velocity is denoted as; u ¯ i which means that the results from URANS can be decomposed as a time averaged part u ¯ i , a resolved fluctuation u i , and the modelled turbulent fluctuation u i . Equation (3) therefore becomes;

u= u ¯ i + u i = u ¯ i + u i + u i (10)

2. Methodology

2.1. The Vattenfall Experiment

The basis of this study is the OECD/NEA-Vattenfall T-junction Benchmark which was initiated to test the ability of state-of-the-art Computational Fluid Dynamics (CFD) codes to predict the important parameters affecting high-cycle thermal fatigue in mixing T-junctions [23]. Figure 3 shows a side view of the Vattenfall test rig.

Figure 3. Side view of vattenfall test rig (OECD/NEA-Vattenfall T-junction Benchmark) [23].

The temperature fluctuations were recorded using thermocouples (TCs) located 1 mm from the wall at seven positions downstream of the T-junction as shown in Figure 4.

From the experimental data obtained, the normalized temperature was determined as

T * = T T cf ΔT (11)

Figure 4. Measurement positions in the Vattenfall experiment [23].

ΔT= T hf T cf (12)

where, T is the temperature at any defined point downstream the t-junction, T cf is the temperature of the relatively cold fluid in the main pipe and T hf is the temperature of the relatively hot fluid in the branch pipe.

The working fluid employed in the Vattenfall test is de-ionized tap water at cold temperature of 19˚C and hot temperature of 36˚C and at volumetric flow rates of 9.0 l/s and 6.0 l/s for the main and branch pipe respectively.

2.2. STAR-CCM+ Simulation

In the present study, the numerical solution of the research problem was conducted using the computational fluid dynamic code STAR-CCM+. The 3-Dimensional Computer Aided Design (3D-CAD) tool which is part of the STAR-CCM+ package was used to design the t-junction computational domains. After discretization of the domains, physics models were applied and the model executed and steered to convergence.

In order to ensure a fully developed flow conditions in both hot and cold legs prior to mixing, separate simulations were conducted for the flow of water in a vertical and horizontal tubes having boundary conditions as that of the hot and the cold legs respectively. Results from the exit of the separately simulated vertical and horizontal tubes were extracted and used as initial conditions and imposed at inlets boundaries of the t-junction pipes for varying angles of inclination of the branch to the main pipe.

2.2.1. Geometry Model

Four different models consisting of branch pipe inclined at 0, 15, 30 and 45 degrees to the main pip were designed. The dimensions of the computational flow domain considered are shown in Figure 5 and the 3 dimensional view of the model geometry as used in the Vattenfall experiment is also shown in Figure 6.

Figure 5. Geometry model at varying branch pipe inclination angles.

Figure 6. 3D computational domain.

As reported in Agbodemegbe et al. [24], after sketching and converting the sketch into solid, the fluid domain was extracted and well defined. The resulting fluid part was then assigned to region and the boundaries of the new region formed were part surfaces such as the branch pipe, the branch pipe inlet, the main pipe, the main pipe inlet and the outlet. Physics models were defined at these boundaries.

2.2.2. Discretization of the Domain

The 3-dimensional geometry models were discretized using surface, polyhedral and prism layer meshing model. The discretized domain views are as shown in Figure 7.

Figure 7. Discretized domain.

The polyhedral mesh type was selected considering such factors as, the turn-around time for building the mesh, the desired solution accuracy and convergence rate, the computational resource that was available to the present study and the quality of solution expected. As performed in Agbodemegbe et al. [24], the prism layer mesh model was used in conjunction with the core polyhedral mesh to generate orthogonal prismatic cells next to the wall boundaries so as to appropriately resolve turbulence in the boundary layer. Some mesh parameters that were used for the domain discretization in the present study are shown in Table 1.

Table 1. Mesh parameters.

Parameter

Value

Core Mesh Type

Polyhedral

Total Number of Cells

2,073,284

Number of Prism Layers

25

Prism Layer Stretching

Geometric Progression

Prism Layer Thickness

0.005 m

Wall y+

Wall Treatment

2.3. Setting Up Physics Models

Appropriate models selected from a list of models available in STAR-CCM+ were used to numerically solve the flow equations. Table 2 shows the physics continuum that was applied in the present study.

In the work of Hannink et al. [18], LES simulation approach was employed in FLUENT to predict thermal fatigue in mixing tees of nuclear reactor. In their case, the simulation was performed for 6 s physical time at 0.001 s time step. It has been reported by Tawade & Suryavanshi that turbulence model is an important factor that influences the reproduction of the temperature fluctuation caused by vortices

Table 2. Physics models.

Model

Model Specification

Space Model

3 Dimensional

Time Model

Implicit Unsteady

Material Model

Liquid (Single Phase Water)

Flow Model

Segregated Flow

Energy Model

Segregated Fluid Temperature

Viscous Regime Model

Turbulent

Turbulence Model

k-Omega

k-Omega Model

SST

Wall Treatment

All y+

Convection Scheme

2nd Order Upwind

downstream the t-junction [25]. Although large eddy simulation (LES) as reported in literature [7]; Hannink et al. [18] was very much suitable for thermal striping; the approach requires high computational resource which was hardly available to this study. Thermal striping is intrinsically unsteady and hence in the present work, unsteady RANS (URANS) approached was employed. Implicit unsteady state equations were used at a time step of 0.003 s for 10 s physical time step. The URANS simulation which was employed is also an approach that is recommended by Nakamura et al. [7] for predicting thermal striping.

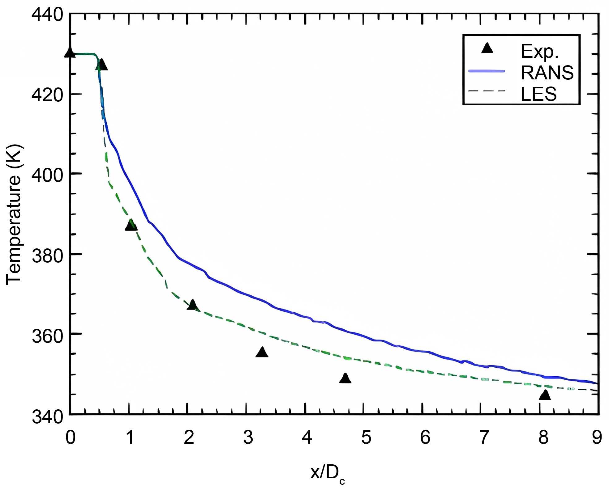
Numerical simulations of thermal fatigue in a mixing Tee has been studied by Aulery et al. [26] where the Phoenix Tee configuration has been evaluated through thermal hydraulic simulations using both RANS and LES methodology. The simulation was performed with the commercial software FLUENT which was coupled between liquid and solid heat equation on mesh with 4.8 million tetrahedral prism cells. The behavior of the hot jet within the main branch was well captured by both RANS and LES simulations. The mean temperature profiles at the wall past the hot injection pipe was well represented by the calculations with a very close agreement with the LES calculations as shown in Figure 8.

The standard k-epsilon, SST k-Omega and the V2F turbulence models were considered for turbulence model sensitivity analysis. The turbulence sensitivity analysis was conducted to arrive at an appropriate turbulence model among the models selected, that most accurately predicted the experimental data and also satisfied the computational capability available to the present study.

At the inlets to the main and the branch pipes, mass flow rate and fluid inlet temperatures were specified and a pressure boundary condition specified at the system outlet. Adiabatic condition was imposed on the wall surfaces and a no-slip condition was adopted for all the walls. At all the angles of inclination of the branch to the main pipe considered in this study, the temperature difference between the cold and hot inlet was kept at 17˚C with the turbulent intensity

Figure 8. Comparison of prediction by RANS and LES models [26].

specification at the hot inlet and cold inlet set at the average values obtained from the Vattenfall experiments, thus, 0.0207 and 0.0185 respectively (Figure 9).

Figure 9. Domain boundary conditions.

3. Results and Discussions

3.1. Downstream Measurements

Simulation data were measured at various positions downstream of mixing-Junction. Figure 10 shows line probe locations where data were extracted for analysis. It also shows the division of the domain into four quadrants to aid discussion of results. Dcold as used in Figure 10 refers to the diameter of the main pipe.

3.2. Sensitivity Analysis of Turbulence Models

The turbulence models considered for the present study are the SST k-omega turbulence model, the standard k-epsilon (k-ε) turbulence model and the V2F

Figure 10. Positions at which data was extracted.

turbulence model. High y+ wall treatment model was adopted for standard k-ε turbulence model, and All y+ wall treatment model was also adopted for V2F and SST k-omega turbulence models. In order to arrive at a suitable turbulence model that better predicts the experimental results, a sensitivity analysis was conducted for these models. Results, from the sensitivity analysis as presented in Figure 11 show a comparison of x-component velocity distribution obtained at location 2.6 Dcold as shown in Figure 10 for both experimental and simulation data.

Figure 11. Plots of velocity distribution at 2.6 Dcold for different turbulence models.

An overall good agreement of the x-component velocity profile for the experimental data and STAR-CCM+ predictions as shown in Figure 11 was observed. From the plot in Figure 11, k-ε turbulence model curve showed a close prediction of the experimental data at 2.6 Dcold. The k-ε turbulence model prediction of the experimental data is very appreciable for points below the centerline of the main pipe than close to the wall boundary of the main pipe in quadrant 1. The k-ε turbulence prediction was in agreement with the experimental observation until it started to deviate for most points located in quadrant 2 and especially, at a position 0.01 m above the center line of the main pipe. Relative to the prediction of the experimental data by the other turbulence models considered, the k-ε turbulence model was observed to poorly predict the experimental results at the wall region in quadrant 1. The V2F turbulence model prediction also agrees well with the prediction by the k-ε turbulence model. As was observed for the prediction by the standard k-ε turbulence model in quadrant 4, the V2F model also appreciably predicted the experimental data than the k-ω model. However, nearer the wall boundary in quadrant 1, the V2F turbulence model prediction deviated significantly from the experimental data than the k-ω model.

In the main flow, the k-ω turbulence model prediction at the 2.6 Dcold position deviated from the experimental data more especially from position, −0.025 m to 0.03 m when compared to predictions by the V2F and k-ε turbulence models. The k-ω turbulence model prediction in the neighborhood of the pipe wall boundary in quadrant 1 however agrees much more appreciably with the experimental observation than the prediction by the other models considered. Hence prediction by k-ω turbulence model at both wall boundaries in quadrant 1 and quadrant 4 satisfy the experimental prediction much more appreciably than the other models considered. As indicated in Figure 1, temperature fluctuation in boundary layer results in subsequent temperature fluctuation on structural surface and hence lead to stress fluctuation inside the structure which results in fatigue crack initiation and propagation. It is therefore imperative to predict temperature fluctuation at the wall boundaries in fatigue analysis. This objective has been greatly satisfied by a far more appreciable prediction of the experimental data at the wall boundary by the k-ω turbulence model than other models considered in this study. Therefore, the k-ω turbulent model was employed as the most suitable model in relation to the k-ε and V2F models considered for the solution of the problem in this study.

3.3. Effect of Angle of Inclination

The study of the impact of angle of inclination on flow parameters that contribute to thermal fatigue at the mixing junction was achieved by inclining the branch pipe at various angles to the vertical axis. Thus, 0, 15, 30 and 45 degrees anticlockwise to the vertical as shown in Figure 12.

3.3.1. Effect on Temperature Distribution

The temperature results are shown in Figures 13-16. The dimensionless temperatures plotted are defined by Equation (11). Relative to Figure 14 and Figure 15 higher temperatures were observed at the pipe wall boundary in quadrant 1 of Figure 13. The temperatures decreased as the flow propagates downstream as was similarly observed and reported by Antti [27].

Figure 12. Angle of inclination of the branch pipe to the vertical considered.

Figure 13. Dimensionless temperature distribution at 0.6 Dcold.

It was observed that, the extent of inclination of the branch pipe significantly affect the flow parameter distribution. The variation observed could be attributed to higher turbulence at the point of mixing resulting from the obstruction of flow from the main pipe by that of the branch pipe at all the inclinations. The point of effective thermal mixing as observed was determined in relation to the angle of

Figure 14. Dimensionless temperature distribution at 1.6 Dcold.

Figure 15. Dimensionless temperature distribution at 2.6 Dcold.

inclination. With increase in the angle of inclination of the branch pipe to the vertical, the area of effective mixing generated after the hot and cold streams meet increases.

Due to the high flow rate in the main pipe and also the lower density of the flow in the branch pipe than that in the main pipe, thermal mixing in all cases occurred in the neighborhood of the pipe wall in quadrant 1. As the low-density fluid in the

Figure 16. Dimensionless temperature distribution at 3.5 Dcold.

branch pipe flows downward the pipe, it hardly touches the pipe wall in quadrant 4 since it is easily swept away upward and downstream the pipe resulting in a form of thermal stratification. This phenomenon kept the pipe wall in quadrant 4 continuously cooled while that in quadrant 1 continuously susceptible to thermal fatigue. The degree of this failure however decreases downstream. Temperature distribution as the flow progresses downstream also become more improved from the pipe centerline towards the pipe wall in quadrant 4 especially at branch pipe inclination of 00 and 150. This could be seen generally in the steeper gradient in Figure 13 than Figures 14-16 and also in Figure 14 than Figure 15 and Figure 16 and finally in Figure 15 than Figure 16.

It could also be observed that, higher wall temperature distribution in quadrant 1 are recorded for branch pipe inclination at 300 and 450 although further away from the t-junction. Susceptibility to thermal fatigue as observed at 2.6 Dcold is more appreciable at 450 inclination than 300 inclination. This is because temperature distribution becomes more effective downstream from the point of effective mixing of the cold and hot fluid which is determined by the angle of inclination. Thus as effective temperature distribution begins for the case of branch pipe at an inclination of 300 the temperatures at the pipe wall in quadrant 1 begins to decrease whiles that of the case of the branch pipe at an inclination of 450 reaches its peak just to start decreasing at a position further downstream.

For all axial positions downstream, it could be observed from the Figures 13-16 that in the neighborhood of the pipe wall in quadrant 1, relatively lower temperatures were observed at zero (0) degrees inclination of the branch pipe. This suggests a lower susceptibility to thermal fatigue of the pipe wall in quadrant 1 at zero (0) degrees than at any other angles of inclination of the branch pipe considered in the present study.

From Figure 17, it could be observed in the neighborhood of the pipe wall in quadrant 1 that, thermal equilibrium at an axial position of 0.6 Dcold could not be established within the length of the pipe considered in the present study. It is, however, possible further downstream the pipe.

Figure 17. Comparison of dimensionless temperature distribution downstream at fixed angle of inclination.

For the other 3 cases of branch pipe inclination at 150, 300 and 450, thermal equilibrium at the pipe wall boundary could be said to be approached or established. These were however possible at various axial lengths within the length of pipe considered for the present study. Table 3 shows the dependence of angle of inclination on axial length at which thermal equilibrium is established and also on dimensionless temperature.

Table 3. Dependence of angle of inclination on dimensionless temperature at thermal equilibrium.

Angle of Branch Pipe Inclination

Axial Position at which

Thermal Equilibrium is Established

Dimensionless Temperature

0 Degree

>>3.5 Dcold

<<0.700

15 Degree

3.5 Dcold

0.725

30 Degree

3.5 Dcold

0.875

45 Degree

3.5 Dcold

0.925

In thermal mixing, both the magnitude of thermal load and length required to reach thermal equilibrium are significant. Information about thermal fatigue related failure can be obtained from the magnitude and intensity of thermal load [13]. With increase in the angle of inclination of the branch pipe to the vertical from 0 degree to 45 degrees anticlockwise, the axial length at which thermal equilibrium is reached decreases with corresponding increase in intensity of thermal load or magnitude of temperature field at thermal equilibrium.

3.3.2. Effect on Turbulent Intensity

Figure 18 and Figure 19 respectively show contours of turbulent intensity and turbulent intensity profile at varying angles of inclination. It could be observed from Figure 20 that, for every angle of inclination of the branch pipe to the vertical, the radial span of effective missing area within the bulk flow widens downstream with corresponding decay in turbulent intensity. The peak value of turbulent intensity is also observed to decrease as the branch pipe angle of inclination to the vertical increases (Figure 18 and Figure 19). Table 4 shows the position and value of peak turbulent intensity at 1.6 Dcold.

Figure 18. Contours of turbulent intensity at varying angles of inclination.

Table 4 shows that, the position of peak turbulent intensity shifts from the centerline position in the main pipe for every increase in the branch angle of

Figure 19. Turbulent intensity profile at varying angles of inclination.

Table 4. Dependence of angle of inclination on turbulent intensity.

Angle of Branch Pipe Inclination

Radial Position at which

Turbulent Intensity Peaks

Turbulent Intensity Peak Value

0 Degree

0

0.40

15 Degree

0.0125

0.35

30 Degree

0.0225

0.34

45 Degree

0.0350

0.28

inclination towards the wall in quadrant 1. The intensity of turbulence however decreases towards the wall. This implies that, at higher angles of inclination of the branch pipe to the vertical, lower mixing of the flow is realized at the wall than in the bulk flow and hence relatively poor flow parameter distribution which may result in temperature build up at the wall. This thermal load at the wall will therefore lead to thermal fatigue.

For the case of 450 angle of inclination of the branch pipe to the vertical, the lowest turbulent intensity and the corresponding highest temperature field are realized relatively closer to the wall than any of the other cases studied at an axial position of 1.6 Dcold. Downstream this axial location, the thermal loading decreases with corresponding decrease in turbulent intensity. This trend could be observed for every specific case of branch angle inclination.

Increase in turbulent intensity leads to an increase in the value of Nusselt Number and hence an increase in heat transfer [28]. The highest turbulent intensity recorded at the centerline of the main pipe at 00 branch pipe inclination to the vertical is expected to therefore result in effective heat distribution leading to the attainment of thermal equilibrium farther away from the pipe wall in quadrant 1 and hence low possibility of temperature build up to any appreciable extent that could result in thermal fatigue at the wall.

Figure A1 in Appendix A shows the radial profile of turbulent intensity at axial positions of 0.6 Dcold, 1.6 Dcold and 2.6 Dcold for all angles of inclination considered in the present study.

3.3.3. Pressure Distribution

As reported by Kockmann [29], pressure loss in a mixing channel is the effort required to achieve effective mixing. To better appreciate the contribution of pressure on thermal fatigue, the distributions of absolute pressure downstream the mixing junction at the different inclination of the branch to the vertical were studied. Data was taken on a line probe along the centerline of the main pipe from the mixing junction to the pipe outlet. Figure 20 shows the location of the line probe and Figure 21 shows the pressure distribution downstream.

Figure 20. Line probe on which absolute pressure was recorded.

The profile indicates that the pressure at all the various inclinations of the branch pipe dropped at the mixing junction and further downstream at an axial length of 0.15 m. The zero (0) degree inclination recorded the highest pressure drop with 45 degrees inclination recording the least pressure drop. The pressure drop in the mixing process are as a result of momentum exchange, friction and heat exchange. The quality of mixing reflects the interaction intensity between the two flows and is related to the pressure drop, the better the mixing effect, the higher the pressure drop because more energy is consumed in the process. It can be deduced that, the variation in the inclination angles caused differences in pressure and energy loss because the liquid velocities entering the main channel was constant for all inclinations and pressure drop decreases as the angle of inclination is increased hence less effective mixing [30].

Figure 21. Pressure distribution downstream the mixing junction for varying angle.

The intensity of mixing decreases as the liquid flows downstream and the pressure along the centerline begins to stabilize.

3.3.4. Velocity Distribution

The fluid velocity distribution as visualized at position 0.6 Dcold downstream the mixing junctions for all angles of inclination considered are shown in Figure 22. The velocities are of a much higher magnitude compared to velocity values observed at positions further downstream the mixing junction. Increasing the angle of inclination of the branch pipe to the vertical from 0 degree to 45 degrees anticlockwise at axial position 0.6 Dcold reduces the area of low velocity flows in the neighborhood of the pipe wall in quadrant 1 while increasing comparatively the velocity of flows in the same area. Consequently, the velocity of flows in quadrant 4 decreases. Higher flow velocities at the wall boundary indicate an increase in the heat transfer at the wall boundary. The highest velocity magnitude in the main flow was recorded when the branch pipe was inclined at 0 degree to the vertical. The branch pipe inclination at 45 degrees recorded the lowest flow velocity.

Rapid flow mixing takes place in the main flow and heat transfer from the hot fluid to the cold fluid is effective and as a result thermal equilibrium is attained and thus leading to reduced temperature at the pipe wall boundary [30].

Figure B1 in Appendix B shows the radial velocity profile at axial positions of 0.6 Dcold, 1.6 Dcold and 2.6 Dcold for all angles of inclination considered in the present study.

The study results show that with the decreased of inclination angles, 45, 30, 15, 0 degrees from vertical, mixing intensity, pressure drop and velocity increased which lead to decrease in temperature. Thus favorable heat transfer from the hot to the cold fluid is obtained when the injection pipe orientation is 0 degree from

Figure 22. Velocity distribution at axial position 0.6 Dcold.

the vertical (is 90 degrees inclination from the main horizontal pipe). These results also show that structural and mechanical degradation problems such as thermal fatigue, thermal stripping, thermal stratification, creep, corrosion and oxidation in a T-junction pipe could reduce when the injection pipe orientation is 0 degree from the vertical.

Several CFD turbulence modelling methods have been applied in capturing and predicting fluid flow and heat transfer in T-Junction pipes [7] [15]. These methods include Steady RANS, Unsteady RANS, LES (Large Eddy Simulation), DES (Detached Eddy Simulation), DNS (direct numerical simulation) and SAS (scale-adaptive simulation); and LES and Unsteady RANS have been recommended to be better in capturing and predicting fluid flow and heat transfer in T-Junction pipes. These methods have been applied mostly using CFD codes such as ANSYS CFX and FLUENT in only one inclination angle of 90 degrees from the horizontal or zero (0) degrees from the vertical [7] [15]. Applying Unsteady RANS method taking into consideration of the computational resources available for this work, this study used a different CFD code STAR-CCM+ code adopting varying T-Junction inclination angles of zero (0), 15, 30 and 45 degrees from the vertical to capture fluid flow and heat transfer characteristics in the T-Junction pipes. This study would be used as a basis of comparing other similar studies in future.

4. Conclusions

Numerical simulations of flow through a T-junction pipe was conducted in the present research work using k-omega turbulence model in STAR CCM+ to study flow parameters contributing to thermal fatigue in the mixing junction at varying angles of inclination of the branch pipe to the main flow.

Comparative analysis of the parameters studied showed that, when the branch pipe is attached perpendicularly to the main flow pipe, low-temperature values in the neighborhood of the wall boundary in quadrant 1 are observed relative to that realized at 15, 30 and 45 degree inclinations of the branch pipe to the main flow pipe at the same boundary conditions. This implies that, effective mixing of cold and hot fluid which leads to reduced and uniform temperature field at the pipe wall boundary, is achieved at 0 degree inclination of branch pipe; hence comparatively lower stress levels propagate through the structural material of the pipe.

At zero (0) degree inclination, peak turbulent intensity value within the domain and also at the wall boundary were observed relative to what was present for the other angles of inclination of the branch pipe considered in this study. Thus indicating effective mixing and heat transfer from the hot to the cold fluid, enhancing the attainment of thermal equilibrium and preventing the buildup of temperature at the wall boundary as compared to what was observed for the other angles of inclination. Increasing the angle of inclination of the branch pipe to the vertical from 0 degree (perpendicular) to 45 degrees anticlockwise decreases the turbulent intensity and consequently decreases the effectiveness of heat transfer from the hot fluid to the cold fluid. This may result in considerable accumulation of heat in the neighborhood of the wall boundary of the pipe and hence the propagation of relatively high stress that may support the likelihood of thermal fatigue in the structural material.

The pressure drop observed along the axial length of the main pipe at zero (0) degree inclination is much higher than that observed for 15, 30 and 45 degrees inclination of branched pipe at the same boundary conditions. This confirms the prevalence of effective mixing at zero (0) degree inclination. The least mixing intensity is observed at 45 degrees inclination which corresponds to low pressure drop within the domain. The intensity of mixing reflects the extent of interaction between the two flows and is related to the pressure drop, the better the mixing effect, the higher the pressure drop because more energy is consumed in the process.

The orientation of injection pipes for flow through industrial branched pipes is a critical factor in determining the susceptibility of these systems to damage that results from high temperature operations. Damage resulting from fatigue propagation through structural material, which occurs as a result of temperature fluctuations (thermal stresses) as can be deduced from the results of the present study is lowest when the branched pipe is inclined perpendicularly to the main (horizontal) pipe. To conclude, the study results show that high mixing/turbulent intensity, large pressure drop, high velocity fields and low temperature fields are obtained when injection pipe orientation is 90 degrees inclination from the horizontal also known as 90 degrees T-junction pipe (or zero degrees inclination from the vertical). Further studies, which consider different coolants flowing through pipes of different orientations, are needed to understand the behavior of different coolants with respect to the specific subject areas considered in this study.

Acknowledgements

The license for the software used in this project was provided by CD-adapco through the Department of Nuclear Engineering, School of Nuclear and Allied Sciences (SNAS), University of Ghana (UG). These institutions are therefore duly acknowledged.

Nomenclature

D1, Dcold

Diameter of cold inlet, m;

D2, Dhot

Diameter of hot inlet, m;

Vb

Branch Fluid Velocity, m/s;

Vm

Main Pipe Fluid Velocity, m/s;

InCo

Inlet Cold;

InHo

Inlet Hot;

T *

Dimensionless Temperature;

TI

Turbulent Intensity;

Thot

Temperature of hot water, K;

Tcold

Temperature of cold water, K;

Q1, Qhot

Flow rate in branch pipe (hot water), l/s;

Q2, Qcold

Flow rate in main pipe (cold water), l/s;

T rms *

Root Mean Square Temperature.

Greek Letters

ρ

Density, kg/m3;

β

Coefficient of Thermal Expansion, K−1;

ε

Turbulence dissipation, m2/s3;

k

Turbulence Kinetic Energy, m2/s2;

ω

Specific Dissipation, s1.

Appendix A

Appendix A-Turbulent Intensity Profile

Figure A1. Radial profile of turbulent intensity at axial positions of 0.6 Dcold, 1.6 Dcold and 2.6 Dcold.

Appendix B

Appendix B-Velocity Distribution

Figure B1. Radial velocity profile at axial positions of 0.6 Dcold, 1.6 Dcold and 2.6 Dcold.

Conflicts of Interest

The authors declare no conflicts of interest regarding the publication of this paper.

References

[1] NEA/CSNI/R (2011) Report of the OECD/NEA—Vattenfall T-Junction Benchmark Exercise.
[2] Shah, V.N. (1999) Assessment of Field Experience Related to Pressurized Water Reactor Primary System Leaks. 1999 ASME Pressure Vessels and Piping Conference, Boston, 1-5 August 1999, 1-5.
[3] Jungclaus, D. (1998) Common IPSN/GRS Safety Assessment of Primary Coolants Unisolable Leak Incidents Caused by Stress Cycling. NEA/CSNI Specialist Meeting on Experience with Thermal Fatigue in LWR Piping Caused by Mixing and Stratification, Paris, 8-10 June 1998, 7-12.
[4] Jayaraju, S.T., Komen, E.M.J. and Baglietto, E. (2010) Suitability of Wall-Functions in Large Eddy Simulation for Thermal Fatigue in a T-junction. Nuclear Engineering and Design, 240, 2544-2554.[CrossRef
[5] Jhung, M.J. (2013) Assessment of Thermal Fatigue in Mixing Tee by FSI Analysis. Nuclear Engineering and Technology, 45, 99-106.[CrossRef
[6] Metzner, K.J. and Wilke, U. (2005) European THERFAT Project—Thermal Fatigue Evaluation of Piping System “Tee”-Connections. Nuclear Engineering and Design, 235, 473-484.[CrossRef
[7] Nakamura, A., Utanohara, Y., Miyoshi, K. and Kasahara, N. (2015) A Review of Evaluation Methods Developed for Numerical Simulation of the Temperature Fluctuation Contributing to Thermal Fatigue of a T-Junction Pipe. E-Journal of Advanced Maintenance, 6, 118-130.
[8] Velusamy, K., Natesan, K., Selvaraj, P., Chellapandi, P., Chetal, S.C., Sundararajan, T. and Suyambazhahan, S. (2006) CFD Studies in the Prediction of Thermal Striping in an LMFBR. Proceedings of CFD4NRS Conference, Garching, 10-12 September 2006, 1-12.
[9] Qian, S., Frith, J. and Kasahara, N. (2010) Classification of Flow Patterns in Angled T-Junctions for the Evaluation of High Cycle Thermal Fatigue. Journal of Pressure Vessel Technology, Transactions of the ASME, 137, 1-10.[CrossRef
[10] Tipping, P. (1996) Lifetime and Ageing Management of Nuclear Power Plants: A Brief Overview of Some Light Water Reactor Component Ageing Degradation Problems and Ways of Mitigation. International Journal of Pressure Vessels and Piping, 66, 17-25.[CrossRef
[11] Saito, M. and Sawada, T. (2002) Advanced Nuclear Energy Systems toward Zero Release of Radioactive Wastes. Gulf Professional Publishing.
[12] Roos, E., Herter, K.H. and Schuler, X. (2006) Lifetime Management for Mechanical Systems, Structures and Components in Nuclear Power Plants. International Journal of Pressure Vessels and Piping, 83, 756-766.[CrossRef
[13] Ayhan, H. and Sökmen, C.N. (2013) CFD Modeling of Thermal Mixing in T-Junction: Effect of Branch Pipe Diameter Ratio. The 15th International Topical Meeting on Nuclear Reactor Thermal Hydraulics, NURETH-15, Pisa, 12-17 May 2013, 1-13.
[14] Chapuliot, S., Faidy, C. and Mathet, F. (2005) Thermal Fatigue of Reactor Components in OECD-NEA Member Countries: A Threefold Programme to Enhance Cooperation. Proceedings of 18th International Conference on Structural Mechanics in Reactor Technology, Beijing, 7-12 August 2005, 1-12.
[15] Ndombo, J. and Howard, R.J.A. (2011) Large Eddy Simulation and the Effect of the Turbulent Inlet Conditions in the Mixing Tee. Nuclear Engineering and Design, 241, 2172-2183.[CrossRef
[16] Kuczaj, A.K., Komen, E.M.J. and Loginov, M.S. (2010) Large-eddy Simulation Study of Turbulent Mixing in a T-Junction. Nuclear Engineering and Design, 240, 2116-2122.[CrossRef
[17] Egorov, Y., Menter, F.R., Lechner, R. and Cokljat, D. (2010) The Scale-Adaptive Simulation Method for Unsteady Turbulent Flow Predictions. Part 2: Application to Complex Flows. Flow, Turbulence and Combustion, 85, 139-165.[CrossRef
[18] Hannink, M.H.C., Kuczaj, A.K., Blom, F.J., Church, J.M. and Komen, E.M.J. (2008) A Coupled CFD-FEM Strategy to Predict Thermal Fatigue in Mixing Tees of Nuclear Reactors. Proceeding of EUROSAFE Forum, Paris, 10-12 September 2008, 1-13.
[19] Sodja, J. (2007) Turbulence Models in CFD. Master’s Thesis, University of Ljubljana.
[20] Pope, S.B. (2000) Turbulent Flows. Cambridge University Press.[CrossRef
[21] Narasimhamurthy, V.D. (2004) Unsteady-RANS Simulation of Turbulent Trailing Edge Flow. Master’s Thesis, Chalmers University.
[22] Salim, S.M., Ong, K.C. and Cheah, S.C. (2011) Comparison of RANS, URANS and LES in the Prediction of Airflow and Pollutant Dispersion. Proceedings of the World Congress on Engineering and Computer Science 2011, San Francisco, 19-21 October 2011, 1-6.
[23] Westin, J. (2007) Thermal Mixing in a T-Junction. Model Tests at Vattenfall Research and Development AB. Boundary Conditions and List of Available Data for CFD Validation. Report Memo U 07-26, Vattenfall Research & Development AB, 1-17.
[24] Agbodemegbe, V.Y., Cheng, X., Akaho, E.H.K. and Allotey, F.K.A. (2015) Correlation for Cross-Flow Resistance Coefficient Using STAR-CCM+ Simulation Data for Flow of Water through Rod Bundle Supported by Spacer Grid with Split-Type Mixing Vane. Nuclear Engineering and Design, 285, 134-149.[CrossRef
[25] Akash Suryavanshi, S.T. (2015) A Review on Thermal Stress in Mixing Tee Junction Using Fsi. International Journal of Innovative Research in Science, Engineering and Technology, 4, 2420-2427.[CrossRef
[26] Aulery, F., Toutant, A., Monot, R., Brillant, G. and Bataille, F. (2010) Numerical Simulations of Thermal Fatigue Due to Turbulent Fluctuations in a Mixing Tee. Proceedings 16th International Solar Paces Concentrating Solar Power Symposium, Perpignan, 21-24 September 2010, 21-24.
[27] Timperi, A. (2014) Conjugate Heat Transfer LES of Thermal Mixing in a T-Junction. Nuclear Engineering and Design, 273, 483-496.[CrossRef
[28] Crowe, C.T. (2005) Multiphase Flow Handbook. CRC Press, 1-64.
[29] Kockmann, N. (2007) Transport Phenomena in Micro Process Engineering. Springer.
[30] Boatemaa, A. (2016) Effects of Injection Pipe Orientation on Mixing Behavior in Contributing to Thermal Fatigue in a T-Junction of a Pipe. Master’s Thesis, University of Ghana.

Copyright © 2026 by authors and Scientific Research Publishing Inc.

Creative Commons License

This work and the related PDF file are licensed under a Creative Commons Attribution 4.0 International License.