Investigating the Mechanical and Thermal Properties of PDMS-Toughened Epoxy Resins for Advanced Adhesive Solutions

Abstract

This study investigates the enhancement of mechanical and thermal properties in epoxy resins modified with polydimethylsiloxane (PDMS) for advanced adhesive applications. The research focuses on evaluating the tensile strength, thermal stability, and glass transition temperature (Tg) of PDMS-toughened epoxy resins. The primary objective of this study was to explore the use of polydimethylsiloxane (PDMS) as an impact modifier for epoxy resin. We successfully synthesized a grafting copolymer of diglycidyl ether bisphenol-A (DGEBA) and hydroxyl-terminated polydimethylsiloxane (HTPDMS) through the condensation of hydroxyl groups. Triethylene tetraamine (TETA) was employed as the curing agent to cross-link both DGEBA and the HTPDMS copolymer. The chemical structure of the DGEBA-HTPDMS grafting copolymer was confirmed using fourier transform infrared (FT-IR) spectroscopy and 1H nuclear magnetic resonance (NMR) spectroscopy. Tensile testing of the cured materials indicated that the elongation at break increased upon addition of PDMS. Thermogravimetric analysis (TGA) and differential scanning calorimetry (DSC) revealed improved thermal stability for the DGEBA system with the incorporation of HTPDMS. These findings suggest that the Si-O-Si segments within the PDMS contribute to the improved mechanical and thermal properties of the DGEBA-based resin.

Share and Cite:

Singh, S. , Kandpal, S. , Rajpoot, M. and Chandra, P. (2024) Investigating the Mechanical and Thermal Properties of PDMS-Toughened Epoxy Resins for Advanced Adhesive Solutions. Journal of Materials Science and Chemical Engineering, 12, 18-29. doi: 10.4236/msce.2024.1210003.

1. Introduction

Epoxy resins are among the most significant thermosetting polymers due to their exceptional properties, which include excellent heat and solvent resistance, impressive adhesive strength, and ease of curing and processing [1]-[5]. These characteristics make them widely used in coatings and adhesive applications.

One notable example is diglycidyl ether bisphenol A (DGEBA), a high-performance thermosetting resin that exhibits a unique combination of thermal and mechanical properties. DGEBA epoxy resins are known for their chain rigidity, toughness, excellent thermal stability, chemical resistance, and flexibility [6]-[8]. The presence of hydroxyl and epoxy groups enhances the resin’s adhesiveness and chemical reactivity, allowing for improved bonding and stability. Upon curing, DGEBA forms highly cross-linked networks, resulting in a material with high stiffness and a high glass transition temperature (Tg) [9] [10]. This cross-linking contributes to the resin’s durability and performance in various applications.

However, a significant drawback of epoxy resins is their brittleness in the cured state [11]. This brittleness limits their performance in applications requiring high flexibility and impact resistance. To address this issue, various modifications have been explored to enhance the toughness of epoxy resins. Despite these efforts, modified resins often face challenges such as inferior weathering resistance, low fracture energy, reduced hydrophobicity, and limited impact resistance, which constrain their use in high-performance coatings [3] [12]-[14].

Numerous strategies have been employed to overcome these limitations, including the incorporation of inorganic fillers [15], liquid rubbers [16], graphene [17] [18], natural fillers [19] [20], nanofillers [21] [22] into epoxy resins. One promising approach is the use of polydimethylsiloxane (PDMS) as a modifier for the epoxy matrix. PDMS can potentially improve the mechanical properties, hydrophobicity, and flame retardancy of epoxy resins [23]-[25]. However, it is important to note that PDMS is not inherently compatible with epoxy resins. This incompatibility can lead to phase separation and bleeding of the PDMS component, which may affect the overall performance of the modified epoxy resin [26]. To prevent macro-phase separation in epoxy and PDMS blends, it is essential to address their initial immiscibility at room temperature. Although PDMS and epoxy are inherently incompatible, partial compatibilization can be achieved through chemical bonding between the reactive groups of each component, such as hydroxyl (OH) [23] [27], oxirane [28] [29], and amine groups [30] [31]. This chemical interaction facilitates the integration of PDMS into the epoxy matrix, resulting in modified epoxy resins with improved compatibility. Despite this, the resulting material remains heterogeneous, with PDMS-rich domains dispersed irregularly within the epoxy-rich matrix.

Diglycidyl ether of bisphenol A (DGEBA) epoxy was modified with hydroxyl-terminated polydimethylsiloxane (HTPDMS) using ring-opening polymerization by Ahmad et al. [32]. Both DGEBA and ESR were used to create paints with TiO2, Fe2O3, and lemon chrome pigments, cured at room temperature with polyamide (PA) as the curing agent. These paints were applied to mild steel strips and they showed enhanced thermal and corrosion resistance. Recently Elzaabalawy et al. presented a straightforward, cost-effective, and scalable spray-coating method for fabricating robust and durable superhydrophobic coatings using an epoxy-silica nanocomposite. The coated samples exhibited exceptional durability and resilience, successfully withstanding peeling, abrasion, corrosion across a wide pH range (1 to 13), and exposure to high temperatures (up to 150˚C) [33]. A siloxane-type epoxy resin (SG copolymer), featuring pendant epoxide rings along the side chain of the polysiloxane backbone, was synthesized by Hou et al. through the hydrosilylation reaction of polymethylhydrosiloxane with allyl glycidyl ether. This SG resin was subsequently blended with a commercial epoxy resin, diglycidyl ether of bisphenol-A (DGEBA), at different ratios. Dicyandiamide (DICY) was used as the curing agent for the blending process [34].

In this study, PDMS was integrated into a solid epoxy resin, utilizing PDMS with hydroxyl (OH) end groups that can react with the OH groups of the epoxy resin. This process achieved a stable dispersion of hydroxyl-terminated PDMS (HTPDMS) particles within the epoxy matrix through the reaction between the epoxy’s OH groups and the silanol groups of HTPDMS where triethylene tetraamine (TETA) was used as the curing agent to cross-link both DGEBA and the DGEBA-HTPDMS copolymer. The chemical structures of the PDMS-modified epoxy resins were confirmed using Fourier Transform Infrared (FTIR) and 1H-NMR spectroscopy. Tensile tests were used to determine the mechanical attributes while thermogravimetric analysis (TGA) and differential scanning calorimetry (DSC) were used to study the thermal stability for the DGEBA system with the incorporation of HTPDMS.

2. Materials and Methods

2.1. Materials

The epoxy resin used was diglycidyl ether of bisphenol-A (DGEBA), the epoxy modifier used was hydroxyl-terminated polydimethylsiloxane (HTPDMS) and triethylene tetraamine (TETA) served as the curing agent, were sourced from Sigma-Aldrich (St. Louis, MO, USA; https://www.sigmaaldrich.cn/CN/zh). Tetraisopropyltitanate (TPT) was obtained from Aldrich and was used as catalyst. Solvents including DMSO, toluene used were of AR grade.

2.2. Synthesis of DGEBA-HTPDMS

DGEBA was first degassed under vacuum for 45 minutes to remove any air bubbles. HTPDMS was then added, and the mixture was transferred to a polypropylene container. The ratio of DGEBA to HTPDMS was 40:1, and 3 ml of acetone was added as a solvent and dispersing agent. The mixture was stirred using a mechanical stirrer for several minutes and TPT was added as a catalyst. PDMS has OH end groups which can react directly with OH groups of the epoxy resin in the presence of tetraisopropyltitanate (TPT) in a fusion process. It was then subjected to vacuum for an additional hour to remove residual air bubbles. Triethylene tetraamine (TETA) was added to the above mixture and stirred for several minutes. The mixture was then placed under vacuum for 5 minutes before being cured at room temperature for 24 hours.

2.3. Characterizations

Structural study was performed using a PerkinElmer Spectrum One FT-IR spectrometer (Shimadzu, Japan). The Fourier transform infrared spectrum was recorded in the range of 4000 to 400 cm1. 1H nuclear magnetic resonance spectra were measured with the Bruker AV400 where DMSO (dimethyl sulfoxide) was used as the solvent with tetramethylsilane as the internal standard of chemical shift. The thermal behaviour of the as-synthesised silicone based adhesive was analyzed by thermogravimetric analysis (TGA; Q-500, TA Instruments). The analysis was conducted at a heating rate of 20˚C/min, ranging from room temperature to 800˚C, under a nitrogen atmosphere. The Perkin Elmer Sapphire Differential Scanning Calorimeter was utilized to perform DSC analyses, monitoring temperature changes from 25˚C to 250˚C under a nitrogen atmosphere. The measurements were conducted at a heating rate of 10˚C per minute. The tensile strength was measured using a universal Instron testing machine (model 5967).

3. Results and Discussions

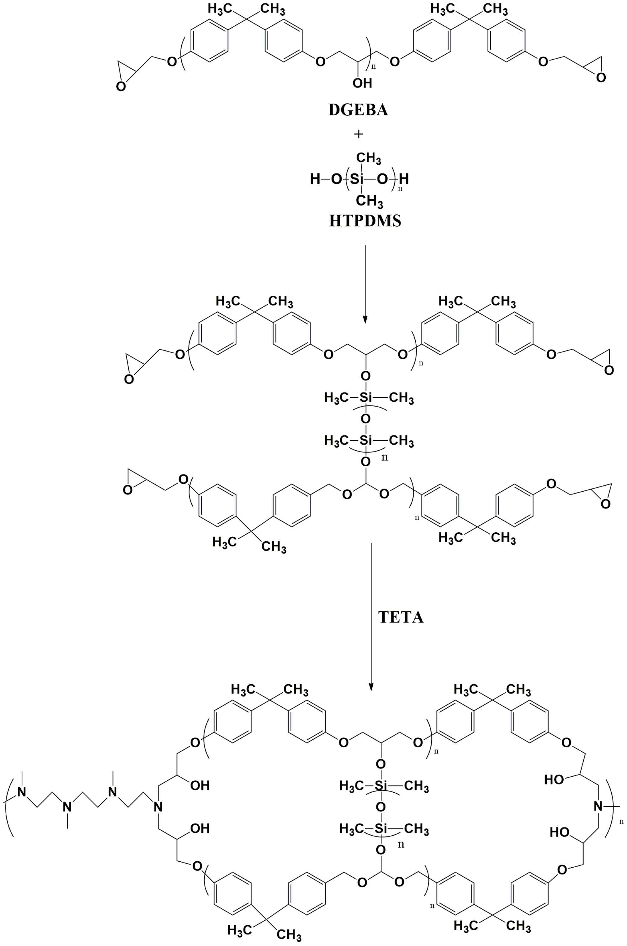
DGEBA and DGEBA/HTPDMS are viscous liquid resins that contain significant amounts of entrapped air bubbles, necessitating a degassing process to remove these bubbles. The DGEBA/HTPDMS resin is created by blending DGEBA with HTPDMS. During this process, DGEBA and HTPDMS undergo condensation to form an intermediate liquid product. The subsequent reaction between the amine groups of DETA and the epoxy groups results in a cross-linked network structure.

HTPDMS-modified epoxy resins are synthesized through the condensation reaction between the hydroxyl (OH) groups of the epoxy resin and the silanol groups of HTPDMS. Tetraisopropyltitanate (TPT), a known condensation catalyst, is employed to facilitate the reaction between the OH groups of the resins. Scheme 1 illustrates the proposed reaction mechanism.

The FTIR spectra of DGEBA and DGEBA/HTPDMS before curing and after curing with TETA are shown in Figure 1. The peak at 3612 cm−1 in spectrum A corresponds to the OH group present in the neat DGEBA epoxy resin. The peaks around 3339, 3281, 3216 cm−1 corresponds to CH3 group. The peaks around 2800, 2617, 2454 cm−1 are ascribed to CH2 groups. The peak around 1432 belongs to (CH3)2C, 2021, 1888, 1827, 1605 cm−1 belong to the substituted aromatic group and the peak around 1223 cm−1 corresponds to C-O-C group [26]. Upon modification with HTPDMS, this peak slightly diminishes, indicating that condensation between the OH end-groups of HTPDMS and the hydroxyl groups of DGEBA occurs, with the release of water molecules. The absorption peaks for Si–CH3 at 817 cm−1 and Si-O-Si at 1011 cm−1 confirm the successful incorporation of silicon units of HTPDMS into the epoxy structure.

Scheme 1. Schematic illustration of the proposed reaction mechanism.

Figure 1. FTIR spectra of DGEBA, DGEBA/HTPDMS and DGEBA/HTPDMS/TETA cured adhesive.

With the addition of TETA to the HTPDMS-modified DGEBA epoxy resin the peak at 914 cm−1 significantly decreases, confirming the opening of the oxirane ring by DETA, which impacts the curing process. The oxirane group in DGEBA shows no significant reduction in peak intensity at 992 cm−1 indicating that ring opening was primarily influenced by DETA. The appearance of a weak band at 1112 cm−1 suggests the formation of aliphatic C-N bonds due to the reaction between oxirane groups and DETA. In the DGEBA/HTPDMS/DETA cured adhesive, a noticeable increase in the peak around 3648 cm−1 is observed, reflecting the formation of new hydroxyl groups from the ring opening of the oxirane rings. All the observed peaks align with those reported in the literature [35].

The 1H-NMR spectra of the HTPDMS-modified epoxy is illustrated in Figure 2. The peak assignments for the protons are detailed in the inset of the NMR spectra. The chemical shift of 2.8 - 3 ppm arises from the presence of aliphatic CH and CH2 group designated as H1 - H2. The chemical shift at 4.1, H3 is assigned to the proton associated to the epoxide group and H4, H5 correspond to the protons of CH2 group attached to the epoxide part of the compound. Chemical shift of 1.8 and 6.9 correspond to the H6, H7 aromatic hydrogen bond. The chemical shift around 7.2 of H8 proton is ascribed to the sp3 hybridized C-H bonds. The chemical shift around 4.3 of H9, 4.5 of H9 and 0.1 of H11 proton corresponds to the CH of the polymeric chain, whereas H12 is ascribed to the sp3 hybridized C-H bonds attached to Si and H13 corresponds to the proton of the hydroxyl O-H group of the compound.

Figure 2. 1H-NMR spectra of DGEBA/HTPDMS/TETA cured adhesive.

The Differential Scanning Calorimetry (DSC) thermogram of the DGEBA/HTPDMS/TETA cured adhesive, obtained with a heating rate of 10˚C∙min−1 under nitrogen, is shown in Figure 3. In cases of incompatible polymer blends, two distinct glass transition temperatures (Tg) are often observed due to phase separation [12]. However, the thermogram for the DGEBA/HTPDMS reveals a single Tg at 112˚C. This indicates that the cured blend of DGEBA and HTPDMS forms a homogeneous phase. The presence of only one Tg in our results confirms that the hydroxyl-terminated polydimethylsiloxane has been effectively integrated into the DGEBA epoxy resin, achieving a uniform phase. Previous research has reported Tg values for polydimethylsiloxane (PDMS) in the range of ~123˚C to ~51˚C [36].

Figure 3. DSC thermogram of DGEBA/HTPDMS/TETA cured adhesive.

Figure 4 shows the thermogravimetric analysis (TGA) of both the DGEBA and the PDMS modified DGEBA. The onset degradation temperature for the PDMS modified DGEBA is higher than that of the neat epoxy resin. The degradation of neat epoxy starts around 193˚C while for DGEBA/HTPDMS it is 252˚C. Additionally, the DGEBA/HTPDMS exhibits a delay in the charring process, which starts at 510˚C compared to the unmodified epoxy system. This improved thermal stability is attributed to the presence of the siloxane moiety, its partial ionic nature, and the high bond energy of the Si-O-Si linkage. These findings are consistent with those reported in related studies [29] [37].

Figure 4. TGA curves of neat DGEBA (epoxy) and DGEBA/HTPDMS/TETA cured adhesive.

The incorporation of HTPDMS into the epoxy resin modified its tensile behavior based on its concentration. The stress–strain curves for both the unmodified and modified epoxy resins are presented in the Figure 5. Neat epoxy undergoes elongation at break at around 4.2% while the DGEBA/HTPDMS/TETA cured adhesive undergoes a break at around 6.5% strain. These findings indicate that adding HTPDMS to the epoxy resin enhances the fracture energy compared to the cured neat epoxy.

Figure 5. Tensile stress-strain curves of neat DGEBA (epoxy) and DGEBA/HTPDMS/TETA cured adhesive.

4. Conclusion

PDMS was incorporated into a solid epoxy resin, using its hydroxyl (OH) end groups to react with the OH groups of the epoxy resin. This method facilitated the uniform distribution of hydroxyl-terminated PDMS (HTPDMS) particles within the epoxy matrix through the interaction between the epoxy’s OH groups and the silanol groups of HTPDMS. Triethylene tetraamine (TETA) was employed as the curing agent to cross-link both DGEBA and the DGEBA-HTPDMS copolymer. The successful integration of HTPDMS into the DGEBA epoxy resin was achieved through the condensation of hydroxyl groups. The structure of the synthesized adhesive was confirmed by FTIR and NMR analyses. DSC and TGA results indicated that the HTPDMS/DGEBA system exhibited improved thermal stability compared to the unmodified epoxy resin. PDMS served as an effective modifier, enhancing both the thermal stability and flexibility of the epoxy resin. The findings suggest that the Si-O-Si bonds within the PDMS significantly contribute to the improved mechanical and thermal properties observed in the DGEBA-based resin. These bonds enhance the resin’s overall performance by providing greater stability and durability. Consequently, the incorporation of PDMS with its Si-O-Si linkages results in a resin that not only exhibits superior mechanical strength and thermal resistance but also shows promise as an effective adhesive. This makes the modified DGEBA resin suitable for applications requiring strong and reliable adhesive properties.

Conflicts of Interest

The authors declare no conflicts of interest regarding the publication of this paper.

References

[1] LeMay, J.D. and Kelley, F.N. (n.d.) Structure and Ultimate Properties of Epoxy Resins. In: Dušek, K., Ed., Epoxy Resins and Composites III, Springer-Verlag, 115-148.[CrossRef
[2] Shundo, A., Yamamoto, S. and Tanaka, K. (2022) Network Formation and Physical Properties of Epoxy Resins for Future Practical Applications. JACS Au, 2, 1522-1542.[CrossRef] [PubMed]
[3] Mohan, P. (2013) A Critical Review: The Modification, Properties, and Applications of Epoxy Resins. Polymer-Plastics Technology and Engineering, 52, 107-125.[CrossRef
[4] de Bruyne, N.A. (1956) The Adhesive Properties of Epoxy Resins. Journal of Applied Chemistry, 6, 303-310.[CrossRef
[5] Kaelble, D.H. (1965) Dynamic and Tensile Properties of Epoxy Resins. Journal of Applied Polymer Science, 9, 1213-1225.[CrossRef
[6] Oral, I., Guzel, H. and Ahmetli, G. (2012) Determining the Mechanical Properties of Epoxy Resin (DGEBA) Composites by Ultrasonic Velocity Measurement. Journal of Applied Polymer Science, 127, 1667-1675.[CrossRef
[7] Vignoud, L., David, L., Sixou, B. and Vigier, G. (2001) Influence of Electron Irradiation on the Mobility and on the Mechanical Properties of DGEBA/TETA Epoxy Resins. Polymer, 42, 4657-4665.[CrossRef
[8] Mustafa, R., Othman, M.B.H., Ismail, H. and Ahmad, Z. (2009) Synthesis and Characterization of Rigid Aromatic-Based Epoxy Resin. Malaysian Polymer Journal, 4, 68-75.
[9] Ramli, M.R., Othman, M.B.H., Arifin, A. and Ahmad, Z. (2011) Cross-Link Network of Polydimethylsiloxane via Addition and Condensation (RTV) Mechanisms. Part I: Synthesis and Thermal Properties. Polymer Degradation and Stability, 96, 2064-2070.[CrossRef
[10] Ozturk, A., Kaynak, C. and Tincer, T. (2001) Effects of Liquid Rubber Modification on the Behaviour of Epoxy Resin. European Polymer Journal, 37, 2353-2363.[CrossRef
[11] Barcia, F.L., Amaral, T.P. and Soares, B.G. (2003) Synthesis and Properties of Epoxy Resin Modified with Epoxy-Terminated Liquid Polybutadiene. Polymer, 44, 5811-5819.[CrossRef
[12] Thanikai Velan, T.V. and Mohammed Bilal, I. (2000) Aliphatic Amine Cured PDMS-Epoxy Interpenetrating Network System for High Performance Engineering Applications—Development and Characterization. Bulletin of Materials Science, 23, 425-429.[CrossRef
[13] Verchere, D., Pascault, J.P., Sautereau, H., Moschiar, S.M., Riccardi, C.C. and Williams, R.J.J. (1991) Rubber-Modified Epoxies. II. Influence of the Cure Schedule and Rubber Concentration on the Generated Morphology. Journal of Applied Polymer Science, 42, 701-716.[CrossRef
[14] Feng, Y., Zhang, Z., Yue, D., Belko, V.O., Maksimenko, S.A., Deng, J., et al. (2024) Recent Progress in Degradation and Recycling of Epoxy Resin. Journal of Materials Research and Technology, 32, 2891-2912.[CrossRef
[15] Shree, V., Sen, A.K., Basu, S. and Ratna, D. (2022) Use of a Combination of Phosphorous-Containing Epoxy Resin and Silica Fillers for Development of Flame Retardant Thermoset Polymer Composites. Journal of Vinyl and Additive Technology, 29, 130-143.[CrossRef
[16] Vertuccio, L., Guadagno, L., Barra, G., Arconati, V. and Catauro, M. (2023) Effect of Functionalized Liquid Rubber on Mechanical Properties of an Epoxy Resin. Macromolecular Symposia, 411, Article ID: 2200139.[CrossRef
[17] Lodh, F.P. and Gadhave, R.V.I. (2024) Reinforcing Effect of Graphene in Epoxy Adhesives: Review. Open Journal of Composite Materials, 14, 60-70.[CrossRef
[18] Venugopal, A. and Sudhagar P, E. (2023) Enhancing Shear and Flexural Strength of Single Lap Composite Joints with a Graphene Nanoparticle-Reinforced Adhesive through a Co-Curing Technique. Polymer Composites, 45, 4202-4220.[CrossRef
[19] Kopparthi, N.R., Schuster, J. and Shaik, Y.P. (2024) Fabrication and Characterization of Bamboo—Epoxy Reinforced Composite for Thermal Insulation. Open Journal of Composite Materials, 14, 15-32.[CrossRef
[20] Sienkiewicz, A. and Czub, P. (2023) Modification of Epoxy Compositions by the Application of Various Fillers of Natural Origin. Materials, 16, Article No. 3149.[CrossRef] [PubMed]
[21] Sharma, P., Thakor, S., Yadav, S.J., Shaikh, I.A., Shah, D.V., Rana, V.A., et al. (2024) Hybrid Nanofillers Loaded Epoxy Resin; Synthesis, Characterizations, and Dielectric Spectroscopy. Journal of Crystal Growth, 628, Article ID: 127551.[CrossRef
[22] Kausar, A. (2020) Fullerene Nanofiller Reinforced Epoxy Nanocomposites—Developments, Progress and Challenges. Materials Research Innovations, 25, 175-185.[CrossRef
[23] Zhao, F., Sun, Q., Fang, D.P. and Yao, K.D. (2000) Preparation and Properties of Polydimethylsiloxane-Modified Epoxy Resins. Journal of Applied Polymer Science, 76, 1683-1690.[CrossRef
[24] Wang, Y., Ling, Y., Zhou, S., Chen, Y., Liang, M. and Zou, H. (2021) Enhanced Mechanical and Adhesive Properties of PDMS Based on Novel PDMS-Epoxy IPN Structure. Journal of Polymer Research, 28, Article No. 171.[CrossRef
[25] Xie, Y., Du, X., Tian, Q., Dong, Y. and Zhou, Q. (2024) Investigation of Hydroxyl-Terminated Polydimethylsiloxane-Modified Epoxy Resin. Materials Chemistry and Physics, 313, Article ID: 128822.[CrossRef
[26] Sobhani, S., Jannesari, A. and Bastani, S. (2011) Effect of Molecular Weight and Content of PDMS on Morphology and Properties of Silicone-Modified Epoxy Resin. Journal of Applied Polymer Science, 123, 162-178.[CrossRef
[27] Lin, S. and Huang, S.K. (1996) Study of Curing Kinetics of Siloxane-Modified DGEBA Epoxy Resins. Journal of Applied Polymer Science, 62, 1641-1649.[CrossRef
[28] Wang, Y., Wu, H., Chen, Z., Zhou, S., Chen, Y., Liang, M., et al. (2020) Silicone-Epoxy Block Hybrid Network to Achieve High-Performance and Transparent Polydimethylsiloxane Materials. Reactive and Functional Polymers, 150, Article ID: 104537.[CrossRef
[29] Ahmad, S., Ashraf, S.M., Sharmin, E., Mohomad, A. and Alam, M. (2006) Synthesis, Formulation, and Characterization of Siloxane-Modified Epoxy-Based Anticorrosive Paints. Journal of Applied Polymer Science, 100, 4981-4991.[CrossRef
[30] Cabanelas, J.C., Serrano, B., González-Benito, J., Bravo, J. and Baselga, J. (2001) Morphology of Epoxy/Polyorganosiloxane Reactive Blends. Macromolecular Rapid Communications, 22, 694-699.[CrossRef
[31] Prolongo, S.G., Cabanelas, J.C. and Baselga, J. (2003) Reactive Compatibilization of Epoxy/Polyorganosiloxane Blends. Macromolecular Symposia, 198, 283-294.[CrossRef
[32] Ahmad, S., Gupta, A.P., Sharmin, E., Alam, M. and Pandey, S.K. (2005) Synthesis, Characterization and Development of High Performance Siloxane-Modified Epoxy Paints. Progress in Organic Coatings, 54, 248-255.[CrossRef
[33] Elzaabalawy, A. and Meguid, S.A. (2020) Development of Novel Superhydrophobic Coatings Using Siloxane-Modified Epoxy Nanocomposites. Chemical Engineering Journal, 398, Article ID: 125403.[CrossRef
[34] Hou, S., Chung, Y., Chan, C. and Kuo, P. (2000) Function and Performance of Silicone Copolymer. Part IV. Curing Behavior and Characterization of Epoxy-Siloxane Copolymers Blended with Diglycidyl Ether of Bisphenol-a. Polymer, 41, 3263-3272.[CrossRef
[35] Othman, M.B.H., Ahmad, Z., Kua, H.S., Looi, Y.T. and Abdulkudus, M.H. (2016) Incorporation of Hydroxyl Terminated Polydimethylsiloxane into DGEBA Epoxy Resins via Condensation of Hydroxyl Groups: Preliminary Approach. Walailak Journal of Science and Technology (WJST), 13, 923-930.
[36] Yorkgitis, E.M., Eiss, N.S., Tran, C., Wilkes, G.L. and McGrath, J.E. (1985) Siloxane-Modified Epoxy Resins. In: Dusek, K., Ed., Epoxy Resins and Composites I, Springer, 79-109.[CrossRef
[37] Selvaganapathi, A., Alagar, M., Gnanasundaram, P. and Gedanken, A. (2009) Preparation of Siloxane-Modified Tetraglycidyl Epoxy-Clay Nanocomposites—Its Thermal and Morphological Properties. Journal of Composite Materials, 44, 543-557.[CrossRef

Copyright © 2025 by authors and Scientific Research Publishing Inc.

Creative Commons License

This work and the related PDF file are licensed under a Creative Commons Attribution 4.0 International License.