Synthesis and Structure of a Host-Guest Inclusion System between C-propyl-o-toluidine-methyl-resorcin[4]arene and Ethanol Solvate

Abstract

Tetra-bromo-methyl-resorcin[4]arene cavitands were synthesized and C-2 position amine functionalized to obtain C-propyl-o-toluidine-methyl-resorcin[4]arene cavitand 4, and the crystal containing one solvate molecule of ethanol was obtained in a dichloromethane-ethanol solvent system, its structure crystallized in the monoclinic space group P21/n, with a = 12.521(3) Å, b = 21.738(6) Å, c = 25.353(6) Å, α = 90˚, β = 102.372(4)˚, γ = 90˚, and Z = 4. The compound was determined by single-crystal X-ray diffraction and characterized by 1H NMR, FT-IR and elemental analyses.

Share and Cite:

Chen, L. , Jiang, R. , Shi, H. , Jia, A. and Zhang, Q. (2023) Synthesis and Structure of a Host-Guest Inclusion System between C-propyl-o-toluidine-methyl-resorcin[4]arene and Ethanol Solvate. Journal of Materials Science and Chemical Engineering, 11, 22-33. doi: 10.4236/msce.2023.1112003.

1. Introduction

As a new generation of supramolecules, calixarenes are particularly active in the field of preparation of cavitands by chemists. The application of resorcin[4]arene in host-guest chemistry is becoming more and more extensive, and the exploration of the synthesis and modification of supramolecular compounds of resorcin[4]arene supramolecular compounds has attracted the keen interest of chemical synthesis workers. With the exploration of resorcin[4]arenes and their derivatives, resorcin[4]arene derivatives have been used to synthesize nanoparticles [1] , catalysis [2] , affinity materials [3] , sensing [4] , and molecular capsules [5] [6] , which were due to the dominant conformation of resorcin[4]arene that is easy to modify various groups. For example, functionalized groups such as oxygen-containing groups [7] [8] , nitrogenous groups [9] [10] , sulfur-containing groups [11] [12] , and phosphorus-containing groups [13] [14] can be introduced into Tetra-bromo-methyl-resorcin[4]arene by simple electrophilic reaction.

At present, there have been many reports on the introduction of nitrogen-containing groups at the C-2 position of resorcin[4]arene [15] [16] , among which, halogen-modified resorcin[4]arenes are often obtained by nucleophilic substitution reaction to obtain organic amine-modified resorcin[4]arenes, and Mannich condensation reaction with formaldehyde can also be used to synthesize resorcin[4]arenes with oxazine structure, which indicates that the research on nitrogen-containing group modification is still relatively popular, and can functionalize calix[4]arenes to improve their utilization. Kashapov et al. [17] [18] have explored three different methods to enhance the solubility of resorcin[4]arenes in water. The first method is to ionize the hydroxyl group of resorcin[4]arenes hydrocarbons under the action of alkali. The second is a supramolecular approach, which takes advantage of the high water solubility of N-methylglucosamine. The third method is solubilization in surfactant solution, which modifies the C-2 position of the cavity with amino acid groups to enhance the water solubility of resorcin[4]arenes hydrocarbons.

Liu et al. [19] synthesized diisobutylamine methyl-modified resorcin[4]arene compounds. The aromatic hydrocarbon molecule of the hydroquinone resorcin[4]arenes in the middle of the compound is bowl-shaped, the longer N-diisobutyl substituent can enlarge the macrocyclic cavity, so that the cup aromatic can wrap the solvent molecule, and the longer alkyl chain increases the stereo obstruction of the upper edge of resorcinol and forms a closed space through free folding, which can not only stabilize the guest molecule in the cavity, but also improve the kinetic stability of the whole resorcinol molecule.

Fox [20] [21] research group used amine to replace bromo-methyl-cavitands, and reacted with CS2 in a solvent with THF/H2O = 2:1 to synthesize dithiocarbamate functionalized cavitands. This compound can be stabilized by adding potassium hydroxide to obtain potassium salt. Herein, amine-modified resorcicalix[4]arene has a good research prospect, and our research group is also full of strong interest in it and has done corresponding research. In this paper, o-methylaniline resorcin[4]arene cavitand 4 was synthesized, and the crystal structure of the amine-modified compound was obtained in the mixed solvent of dichloromethane and ethanol. It can be seen that the o-methylaniline resorcin[4]arene cavitand selectively encapsulates a molecule of ethanol in the structure (Scheme 1).

2. Experimental Section

2.1. Materials

All reagents, unless otherwise stated, were purchased as analysis grade and used without further purification. All synthesis reactions were carried out under nitrogen protection. Compounds 1 - 3 were synthesized by referring to the methods in

Scheme 1. Synthetic route of compounds 1, 2, 3 and tetramethylene amine cavitand 4.

the literature [22] . 1H nuclear magnetic resonance (NMR) spectra were recorded on a Bruker ALX 400 MHz using tetramethylsilane as internal standard. Fourier transform infrared (FT-IR) spectra were recorded on a Nicolet 6700 spectrophotometer in the 400 - 4000 cm−1 region using KBr pellets. Elemental analyses were carried out using a Perkin-Elmer 2400 CHN analyzer.

2.2. Preparation of Complex 4

The synthesis of compounds 1, 2 and 3 was synthesized according to the literature [22] method, and tetramethylene toluidine cavitand 4 was prepared by treating compound 3 with excess amines (Scheme 1).

Take 20 mL of o-toluidine (50%) in a 50 mL flask at room temperature, weigh 3 (0.235 g, 0.28 mmol) and add it to ethylamine in a small amount and multiple times within 15 minutes, stir until 3 is completely dissolved, stir for 1 h, remove excess o-toluidine under reduced pressure, dissolve it with dichloromethane, wash it with deionized water, add an appropriate amount of anhydrous magnesium sulfate to dry, and remove the solvent product under reduced pressure as a white powdery solid. Chemical formula: C76H84O8N4, Yield: 0.30 g, 85%.1H NMR (400 MHz, CDCl3, ppm, ppm) δ 7.08 - 7.18 (m, 8H, Ar-H), 7.03 (d, J = 7.1 Hz, 4H, Ar-H), 6.81 (d, J = 8.0 Hz, 4H, Ar-H), 6.67 (t, J = 7.2 Hz, 4H, Ar-H), 5.99 (d, J = 6.9 Hz, 4H, OCH2), 4.80 (t, J = 8.1 Hz, 4H, Ar2CHCH2), 4.40 (d, J = 6.9 Hz, 4H, OCH2), 4.10 (s, 8H, ArCH2), 2.20 (dd, J = 15.1, 7.9 Hz, 8H, CHCH2CH2), 2.10 (s, 12H, ArCH3), 1.38 (dd, J = 14.7, 7.3 Hz, 8H, CH2CH2CH3), 1.01 (t, J = 7.3 Hz, 12H, CH2CH3). Anal. Calc. for (C76H84O8N4): C 77.26; H 7.17; N 4.74%. found: C 77.23; H 7.19; N 4.76%.

2.3. X-Ray Crystallography

Single crystal data for compound 4-EtOH obtained from the tetramethylene amine cavitand 4 encapsulated with ethanol were determined on the Bruker SMART APEX 2000 CCD surface detection X-single crystal diffractometer. Moderately sized, regular-shaped, transparent and crack-free crystals were selected and fixed at the tip of the glass capillary, and single crystal data were collected at a monochromatic Mo- ray with a diffractive light source of λ = 0.71073 Å at 296(2) K. The collected data was restored [23] by the SSAINT software and then integrated by the SADABS [24] program, and the structure was solved by direct methods using SHELXS-97 and refined by least squares on F2 (SHELXL-97) [25] [26] . Non-hydrogen atoms were corrected by various anisotropic modifications, and the position of hydrogen atoms were determined by theoretical hydrogenation (Csp2-H = 0.93 Å, Csp3-H = 0.96 Å). The crystallographic data and structure refinement are given in Table 1.

3. Results and Discussion

3.1. Syntheses and Characterizations

Methods in the synthesis of tetramethylene toluidine cavitands [19] [27] , Bromo-treated tetramethylene toluidine cavitands were prone to occur nucleophilic substitution reaction, and the synthesis method was relatively simple and the reaction speed was relatively fast. In this reaction, tetramethylene bromide cavitand can be dissolved in primary amine, no additional solvent was required, dissolved with dichloromethane, washed with deionized water, dried and removed solvent to obtain tetramethylenetoluidine cavitand. The cavitand 4 has a polyhydrophobic group, and the single crystal of compound 4-EtOH was volatilized by using dichloromethane and ethanol mixed solvent as the crystallization system. FT-IR spectrum of complex 4 showed the existence of both contractive vibration peak of N-H in the range of 3318 - 3438 cm1 and a strong absorption peak of C-N at around 1164 cm1 as shown in Figure 1. In the 1H NMR spectrum of complex 4 as shown in Figure 2, the chemical shift of ArH protons exhibited as a singlet at 7.13 ppm, indicating of the C4v isomer. The bridging Ar2CHCH2 protons exhibited as a triplet at around 4.80 ppm. The chemical shift of ArH on methylaniline exhibited as multiple peaks between 6.67 - 7.18 ppm. The bridging Ar2CH2NH protons exhibited as a singlet at approximately 4.10 ppm.

3.2. Crystal Structures

Complex 4-EtOH crystallizes in the monoclinic space group P21/n, Table 1

Figure 1. Infrared spectra of 2,8,14,20-tetramethylo-toluidine-5,11,17,23-tetrapropyl-cavitand.

Figure 2. Nuclear magnetic hydrogen spectrum of 2,8,14,20-tetramethylo-toluidine-5,11,17,23-tetrapropyl-cavitand.

shows the specific data. The multi-component complex 4-EtOH consists of a 2,8,14,20-tetra-n-propyl-5,11,17,23-tetramethylene o-toluidine cavitand molecule and an ethanol molecule, as shown in Figure 3. The arrangement structure

Table 1. Crystallographic data for compound 4-EtOH.

Note: a R 1 = Σ | | F o | | F c | | / Σ | F o | ; b w R 2 = [ Σ w ( | F o 2 | | F c 2 | ) 2 / Σ w | F o 2 | 2 ] 1 / 2 ; c GoF = [ Σ w ( | F o | | F c | ) 2 / ( N obs N param ) ] 1 / 2 .

of o-toluidine at the upper edge of the cavitand can have a variety of isomers, which were caused by the different orientation of C-N-C and the torsionable benzene ring, Table 2 shows the partial bond length and bond angle of compound 4-EtOH. It can be seen that the plane of the benzene ring containing N(1) and N(3) is perpendicular to the plane of the upper edge of the cavity, with the N atom facing towards the interior of the cavity, where the bond length of N(1)-C(46) is 1.390(8) Å, the bond length of N(1)-C(45) is 1.469(7) Å, slightly longer than the bond length of N(1)-C(46), and the bond angle C(46)-N(1)-C(45)

Figure 3. The asymmetric unit of multi-component complex 4-EtOH.

is 120.3(5)˚, and the bond length of N(3)-C(62) is 1.401(8) Å and the bond length of N(3)-C(61) is 1.446(7) Å. Neither the bond angle nor N(1)-N is quite the same, while the bond angle C(62)-N(3)-C(61) is 121.7(5)˚, which is slightly larger than that of C(46)-N(1)-C(45); The plane of the benzene ring containing N(2) is perpendicular to the plane of the upper edge of the cavity, with the N atom facing towards the outside of the cavity, and the bond lengths of N(2)-C(54) are 1.379(7) Å and N(2)-C(53) are 1.456(7), the bond lengths being the same as those of N(1)-C. The bond angle C(54)-N(2)-C(53) is 120.8(5)˚, which is also the same as that of C-N(1)-C The plane of the benzene ring containing N(4) is roughly parallel to the plane of the upper edge of the cavity, with the N atom facing the outside of the cavity, and the bond length of N(4)-C(70) is 1.381(9) Å. The bond length of N(4)-C(69) is 1.455(9) Å, and the bond angle of C(70)-N(4)-C(69) is 126.6(7)˚, which is greater than that of the previous three. The bond angle of the ethanol molecule O(1S)-C(2S)-C(1S) is 110.1(10)˚.

Four o-tolubenzenes were connected to resorcicalix[4]arene by nitrogen atoms, and two phenolic hydroxyl groups were connected with methylene groups, which makes the amine-modified methyl cavitand have different properties than resorcicalix[4]arene. From the crystal structure of compound 4-EtOH, it can be seen that the upper edge C-2 position was connected to the hydrophobic aromatic group, the hydrophilic phenolic hydroxyl group at the upper edge were bridged by methylene, the lower edge was a hydrophobic hydrocarbon group, thereby changing the properties of resorcicalix[4]arene. The methylene bridged o-toluidine

Table 2. Partial bond length (Å) and bond angle (˚) of compound 4-EtOH.

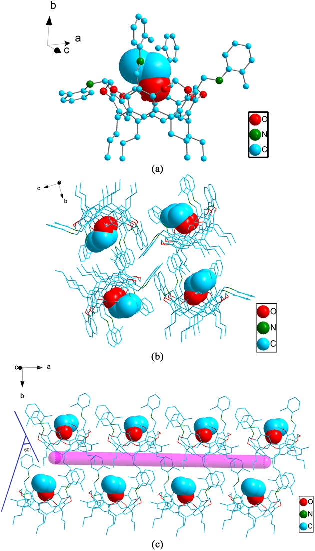
deepens the internal cavity of the resorcicalix[4]arene, and the larger space opens up the possibility of housing guest molecules, as shown in Figure 4(a), compound 4-EtOH contains an ethanol molecule can be clearly seen.

As shown in Figure 4(b), the upper edge of the resorcicalix[4]arene was connected to four o-toluaniline, and the steric resistance of the upper edge is very large, so that the adjacent resorcicalix[4]arene units can only be arranged in the opposite direction of the cup mouth to reduce the steric hindrance. The two layers of resorcicalix[4]arenes were also arranged by the cup mouth to the bottom of the cup due to the influence of steric hindrance. The upper and lower layers of

Figure 4. (a) Molecular structure of multi-component complex 4-EtOH in stick presentations from side view. (b) Crystal structure stacking diagram of compound 4-EtOH along the a-axis. (c) Alternate permutation structures of multi-component complex 4-EtOH in stick and filling presentations from side view.

resorcicalix[4]arene units between the one-dimensional chain were not parallel in Figure 4(c), there was an angle of about 60˚, the crystal arrangement adopts this dislocation arrangement because the upper edge of the resorcicalix[4]arene has an aromatic group, the lower edge has a chain hydrocarbon group, and the dislocation arrangement ensures the crystallographic stability of the structure.

4. Conclusion

In summary, o-methylaniline resorcicalix[4]arene cavitand 4 was synthesized with high yield by reacting tetrabromomethyl cavitand with o-toluidine in this paper, and characterized by IR spectra, 1H NMR and elemental analysis. Compound 4 crystallized in a mixed solvent of dichloromethane and ethanol, the cavity of the cavitand was encapsulated with an ethanol molecule, and the crystal structure of 4-EtOH was determined by X-ray single crystal diffractometry. The adjacent cavitand objects were arranged in the opposite direction of the cup mouth, the cup-in-line arrangement between the two layers of cavitand objects was arranged by the cup mouth to the bottom of the cup, the resorcicalix[4]arene units between the one-dimensional chain of the upper and lower layers of acupuncture objects were not parallel, and the dislocation arrangement of about 60˚ angle was adopted.

Conflicts of Interest

The authors declare no conflicts of interest regarding the publication of this paper.

References

[1] Shalaeva, Y.V., Morozova, J.E., Gubaidullin, A.T., Saifina, A.F., Syakaev, V.V., Ermakova, A.M. and Konovalov, A.I. (2018) Gold Nanoparticles, Capped by Carboxy-Calix[4]resorcinarenes: Effect of Structure and Concentration of Macrocycles on the Nanoparticles Size and Aggregation. Journal of Inclusion Phenomena and Macrocyclic Chemistry, 92, 211-221.
[CrossRef
[2] Shebitha, A.M., Shaibuna, M., Hiba, K. and Sreekumar, K. (2022) Synthesis, Characterization and DFT-D Studies of 2-Aminoethoxycalix[4]resorcinarenes: A Novel Heterogeneous Organocatalyst. Catalysis Letters, 152, 3017-3030.
[CrossRef
[3] Ryvlin, D., Dumele, O., Linke, A., Fankhauser, D., Schweizer, W. B., Diederich, F. and Waldvogel, S. R. (2017) Systematic Investigation of Resorcin[4]arene-Based Cavitands as Affinity Materials on Quartz Crystal Microbalances. ChemPlusChem, 82, 493-497.
[CrossRef] [PubMed]
[4] Pinalli, R., Pedrini, A. and Dalcanale, E. (2018) Environmental Gas Sensing with Cavitands. Chemistry—A European Journal, 24, 1010-1019.
[CrossRef] [PubMed]
[5] Guo, T.T., Cheng, D.M., Yang, J., Xu, X. and Ma, J.F. (2019) Calix[4]resorcinarene-Based [Co16] Coordination Cages Mediated by Isomorphous Auxiliary Ligands for Enhanced Proton Conduction. Chemical Communications, 55, 6277-6280.
[CrossRef
[6] Pei, W.Y., Xu, G., Yang, J., Wu, H., Chen, B., Zhou, W. and Ma, J.F. (2017) Versatile Assembly of Metal-Coordinated Calix[4]resorcinarene Cavitands and Cages through Ancillary Linker Tuning. Journal of the American Chemical Society, 139, 7648-7656.
[CrossRef] [PubMed]
[7] Kobayashi, K. and Yamanaka, M. (2015) Self-Assembled Capsules Based on Tetrafunctionalized Calix[4]resorcinarene Cavitands. Chemical Society Reviews, 44, 449-466.
[CrossRef
[8] Furer, V.L., Vandyukov, A.E., Ahkmetzyanova, Z.V., Burilov, V.A., Solovieva, S.E., Antipin, I.S. and Kovalenko, V.I. (2021) Comparative Study of the Vibrational Spectra of Carboxylate Azocalix[4]arenes and Azothiacalix[4]arenes. Journal of Molecular Structure, 1241, Article ID: 130662.
[CrossRef
[9] Gropp, C., Quigley, B.L. and Diederich, F. (2018) Molecular Recognition with Resorcin[4]arene Cavitands: Switching, Halogen-Bonded Capsules, and Enantioselective Complexation. Journal of the American Chemical Society, 140, 2705-2717.
[CrossRef] [PubMed]
[10] Wang, Y.Y., Kong, Y., Zheng, Z., Geng, W.C., Zhao, Z.Y., Sun, H. and Guo, D.S. (2019) Complexation of a Guanidinium-Modified Calixarene with Diverse Dyes and Investigation of the Corresponding Photophysical Response. Beilstein Journal of Organic Chemistry, 15, 1394-1406.
[CrossRef] [PubMed]
[11] Ovsyannikov, A., Solovieva, S., Antipin, I. and Ferlay, S. (2017) Coordination Polymers Based on Calixarene Derivatives: Structures and Properties. Coordination Chemistry Reviews, 352, 151-186.
[CrossRef
[12] Banerjee, B., Kaur, G. and Kaur, N. (2021) p-Sulfonic Acid Calix[n]arene Catalyzed Synthesis of Bioactive Heterocycles: A Review. Current Organic Chemistry, 25, 209-222.
[CrossRef
[13] Karpus, A., Yesypenko, O., Cherenok, S., Boiko, V., Kalchenko, O., Voitenko, Z. and Kalchenko, V. (2019) Chiral Phosphorus-Containing Calixarenes. Phosphorus, Sulfur, and Silicon and the Related Elements, 194, 471-475.
[CrossRef
[14] Monnereau, L., El Moll, H., Sémeril, D., Matt, D. and Toupet, L. (2014) Resorcinarenyl-Phosphines in Suzuki-Miyaura Cross-Coupling Reactions of Aryl Chlorides. European Journal of Inorganic Chemistry, 2014, 1364-1372.
[CrossRef
[15] Beyeh, N.K., Valkonen, A. and Rissanen, K. (2010) Piperazine Bridged Resorcinarene Cages. Organic Letters, 12, 1392-1395.
[CrossRef] [PubMed]
[16] Beyeh, N.K., Cetina, M. and Rissanen, K. (2012) Binding Modes of Nonspherical Anions to N-Alkylammonium Resorcinarenes in the Solid State. Crystal Growth & Design, 12, 4919-4926.
[CrossRef
[17] Kashapov, R.R., Zakharova, L.Y., Saifutdinova, M.N., Gavrilova, E.L. and Sinyashin, O.G. (2015) Self-Assembly Strategies for Improving the Water Solubility of New Amino Acid Calix[4]resorcinarenes. Tetrahedron Letters, 56, 2508-2511.
[CrossRef
[18] Kashapov, R.R., Zakharova, L.Y., Saifutdinova, M.N., Kochergin, Y.S., Gavrilova, E.L. and Sinyashin, O.G. (2015) Construction of a Water-Soluble Form of Amino Acid C-Methylcalix[4]resorcinarene. Journal of Molecular Liquids, 208, 58-62.
[CrossRef
[19] Liu, J.L., Liu, X.L., Jia, A.Q., Shi, H.T. and Zhang, Q.F. (2020) Supramolecular Structures and Crystal Stability of Diisobutylaminomethylated Calix[4]resorcinarenes. Journal of Inclusion Phenomena and Macrocyclic Chemistry, 98, 49-56.
[CrossRef
[20] Fox, O.D., Cookson, J., Wilkinson, E.J., Drew, M.G., MacLean, E.J., Teat, S.J. and Beer, P.D. (2006) Nanosized Polymetallic Resorcinarene-Based Host Assemblies That Strongly Bind Fullerenes. Journal of the American Chemical Society, 128, 6990-7002.
[CrossRef] [PubMed]
[21] Fox, O.D., Drew, M.G. and Beer, P.D. (2000) Resorcarene-Based Nanoarchitectures: Metal-Directed Assembly of a Molecular Loop and Tetrahedron. Angewandte Chemie International Edition, 39, 135-140.
[CrossRef
[22] Boerrigter, H., Verboom, W. and Reinhoudt, D.N. (1997) Novel Resorcinarene Cavitand-Based CMP(O) Cation Ligands: Synthesis and Extraction Properties. The Journal of Organic Chemistry, 62, 7148-7155.
[CrossRef] [PubMed]
[23] Smart, S. (1998) For Windows NT (Version 6.02a). Bruker Analytical X-Ray Instruments Inc., Madison.
[24] Sheldrick, G.M. (1996) SADABS. University of Göttingen, Göttingen.
[25] Sheldrick, G.M. (2008) A Short History of SHELX. Acta Crystallographica Section A, 64, 112-122.
[26] Sheldrick, G.M. (1997) SHELXTL Software Reference Manual. Version 5.1. Bruker AXS Inc., Madison.
[27] Boerrigter, H., Verboom, W., van Hummel, G.J., Harkema, S. and Reinhoudt, D.N. (1996) Selective Functionalization of Resorcinarene Cavitands; Single Crystal X-Ray Structure of a Distally Functionalized Cavitand. Tetrahedron Letters, 37, 5167-5170.
[CrossRef

Copyright © 2025 by authors and Scientific Research Publishing Inc.

Creative Commons License

This work and the related PDF file are licensed under a Creative Commons Attribution 4.0 International License.