Derivations of Vector Area and Volume Elements in Curved Coordinate Systems for Flux Vector Fields Helping Eye Disease

Abstract

Our aim in this paper is to interest retinal eye specialists in preventing dry macula degeneration by a special flurry vector field through open or closed curved surfaces. The flux of vector fields through surfaces is based on vector element area and volume element. Therefore, we explain a few geometrical derivations of area and volume elements in curved orthogonal coordinate systems. We hope that by derivation of a spatial vector field flurry against drusen through open or closed surfaces due to the Gauss theorem might select drusen under eye retina cells without destroying the cells and prevent macula degeneration. A changed flurry of a magnetic or electric vector field through a closed line causes an electric or magnetic vector field on the surface closed by the line. We also hope that derivation by Stokes’ and Greens’ theorems, with the help of iron, might help eye cells to get in life.

Share and Cite:

Ruchvarger, H. (2022) Derivations of Vector Area and Volume Elements in Curved Coordinate Systems for Flux Vector Fields Helping Eye Disease. Journal of Applied Mathematics and Physics, 10, 2906-2922. doi: 10.4236/jamp.2022.1010195.

1. Introduction

Macula degeneration is an eye disease that causes loss of central vision. There are two sorts of this disease, dry macula degeneration and wet macula degeneration. There are some treatments for wet macular degeneration, but very little research has been done on treatments for dry macular degeneration, which might also cause loss of vision. In dry disease, there are proteins called drusen under the eyes’ retina cells preventing light and blood vessels from entering the cell, which might also cause the growth of un-normal blood vessels on the retina cells, causing the wet disease and the loss of central vision.

To prevent the loss of central vision, an intraocular telescope lens implant was suggested [1]. This implant increases the central object’s image but hides the peripheral vision that might interrupt the central object’s image. In order to improve it, we suggested an intraocular lens implant with two mirrors [2].

Also, we suggested Intraocular Lens Implant with Mirrors and Intraocular Three Lenses Implant with a Changed Curvature Radius [3].

At last, Inhibitor Vaccinated Pegol for Geographic Atrophy [4] Inhibitor Pegcetacoplan for Geographic Atrophy [5].

Low vision has been mainly extraocular [6]. Medical experiments have been done with implant mirror telescopic lenses [7] and also medical experiments with intraocular lenses, with an entire telescope in its center have been tested [8].

More medical experiments have been done with telescopic implant lenses [9] [10] [11] that improved the vision of patients with AMD, but in all these telescopic plans only one eye sees near and hides the peripheral vision. For a lens implant with two mirrors the macula needs light in the eyes.

In this paper, we explain in details, a few geometrical derivations of vector area elements and volume elements in curved orthogonal coordinate systems that are used for the derivation of vector field flurry through open and closed area adding new graphical explanations and derivations.

We hope that by derivation of a spatial vector field flurry against drusen through open or closed surfaces might select drusen under eye retina cells without destroying the cells and prevent macula degeneration. We also hope that the derivation of electric or magnetic changed vector fields around a closed line by Stokes’ theorem, with the help of iron, might help eye cells to get in life.

The whole paper is organized as follows: Four geometrical derivations of vector area elements and volume elements will be presented in the first section.

The flux of vector fields through the outside of an open and a closed surface with a full geometrical Proof of Gauss theorem will be presented in the second section.

Green and Gauss Theorems with full proofs will be presented in the third section and the conclusions will be presented in the last section.

2. Derivations of vector Area Element d S and Volume Element d V

2.1. Volume Element in Curved Orthogonal Coordinates by Jacobian Theorem

Curved orthogonal coordinates are curved lines with the parameters u , v , w (Figure 1).

The coordinates of each point are x = x ( u , v , w ) , y = y ( u , v , w ) , z = z ( u , v , w ) , and the place vector of each point is a vector display, where i x ^ , j y ^ , k z ^ ,

r ( x , y , z ) = x i + y j + z k = x ( u , v , w ) i + y ( u , v , w ) j + z ( u , v , w ) k = r ( u , v , w )

Figure 1. Curved orthogonal lines with the parameters u , v , w .

d r = lim T * T T T * = lim Δ r 0 Δ r = r u d u + r v d v + r w d w = d r v + d r u + d r w

Thus, the vector d r is tangent to a line in space and consists of three vectors where each vector is tangent to one of the lines u , v , w .

Volume element by mixed multiplication of vectors:

d V = ( d r v × d r u ) d r w = ( r v d v × r u d u ) r w d w = ( r v × r u ) r w d v d u d w = | x w y w z w x v y v z v x u y u z u | d v d u d w

Volume element by cylindrical coordinates ρ , φ , z (Figure 2):

r ( ρ , φ , z ) = ρ cos ( φ ) i + ρ sin ( φ ) j + z k d r = r ρ d ρ + r φ d φ + r z d z = r ρ d ρ + r φ d φ + k d z

d V = ( r ρ × r φ ) r z d φ d ρ d z = | 0 0 1 cos ( φ ) sin ( φ ) 0 ρ sin ( φ ) ρ cos ( φ ) 0 | d φ d ρ d z = ρ d φ d ρ d z = J C d φ d ρ d z

Volume element by spherical coordinates θ , φ , r (Figure 3):

r ( φ , θ , r ) = r sin ( θ ) cos ( φ ) i + r sin ( θ ) sin ( φ ) j + r cos ( θ ) k d r = r θ d θ + r φ d φ + r r d r

d V = ( r θ × r φ ) r r d φ d θ d r = | sin ( θ ) cos ( φ ) sin ( θ ) sin ( φ ) cos ( θ ) r cos ( θ ) cos ( φ ) r cos ( θ ) sin ( φ ) r sin ( θ ) r sin ( θ ) sin ( φ ) r sin ( θ ) cos ( φ ) 0 | d φ d θ d r

d V = r 2 sin ( θ ) d φ d θ d r = J S d φ d θ d r

2.2. Area Element and Volume Element in Cylindrical and Spherical Coordinates by Drawings and by Vector Multiplications

2.2.1. Horizontal Area Element and Volume Element by Orthogonal Cylindrical Coordinates ρ , φ , z by Drawings and by Vector Multiplications (Figure 4)

Vector area element and volume element by vector multiplications:

d S = d ρ ρ ^ × ρ d φ φ ^ = ρ d φ d ρ ( ρ ^ × φ ^ ) = ρ d φ d ρ k

Figure 2. Curved orthogonal cylinder coordinates.

Figure 3. Curved orthogonal spherical coordinates.

Figure 4. Horizontal area and volume elements by cylindrical coordinates.

d S = | d S | = ρ d φ d ρ | k | = ρ d φ d ρ

d V = ( d ρ ρ ^ × ρ d φ φ ^ ) d z k = ρ d φ d ρ d z ( ρ ^ × φ ^ ) k = ρ d φ d ρ d z k k = ρ d φ d ρ d z (1)

2.2.2. Element of Space on the Surface of a Sphere and a Volume Element Inside a Sphere by Orthogonal Spherical Coordinates θ , φ , r by Drawings and by Vector Multiplications (Figure 5)

Vector area element and volume element by vector multiplications:

d S = r d θ θ ^ × r sin ( θ ) d φ φ ^ = r 2 d θ sin ( θ ) d φ ( θ ^ × φ ^ ) = r 2 sin ( θ ) d φ d θ r ^ (2)

d S = | d S | = r 2 sin ( θ ) d φ d θ | r ^ | = r 2 sin ( θ ) d φ d θ (3)

d V = ( r d θ θ ^ × r sin ( θ ) d φ φ ^ ) d r r ^ = r 2 sin ( θ ) d φ d θ d r ( θ ^ × φ ^ ) r ^ = r 2 sin ( θ ) d φ d θ d r (4)

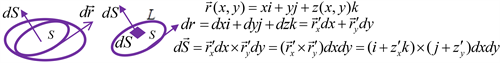
2.3. Vector and Scalar Area Elements According to Any Point Vector as Shown by the Vector: r ( x , y ) = x i + y j + z ( x , y ) k Where: z = z ( x , y )

2.3.1. By Cartesian Coordinates

r ( x , y ) = x i + y j + z ( x , y ) k d r = r x d x + r y d y { r x d x = ( i + z x k ) d x r y d y = ( j + z y k ) d y

d S = r x d x × r y d y = ( r x × r y ) d x d y = | i j k 1 0 z x 0 1 z y | d x d y = ( z x i z y j + k ) d x d y (5)

Figure 5. Element of space on the surface of a sphere and a volume element.

d S = | d S | = | r x × r y | d x d y = | z x i z y j + k | d x d y = ( z x ) 2 + ( z y ) 2 + 1 d x d y

2.3.2. By Cylindrical Coordinates

r ( ρ , φ ) = ρ cos ( φ ) i + ρ sin ( φ ) j + z ( ρ , φ ) k d r = r ρ d ρ + r φ d φ

r ρ = cos ( φ ) i + sin ( φ ) j + z ρ k , r φ = ρ sin ( φ ) i + ρ cos ( φ ) j + z φ k

d S = r ρ d ρ × r φ d φ = ( r ρ × r φ ) d ρ d φ = | i j k cos ( φ ) sin ( φ ) z ρ ρ sin ( φ ) ρ cos ( φ ) z φ | d ρ d φ = ( ( z φ sin ( φ ) z ρ ρ cos ( φ ) ) i ( z φ cos ( φ ) + z ρ ρ sin ( φ ) ) j + ρ k ) d ρ d φ

d S = | d S | = | r ρ × r φ | d ρ d φ = ( z φ ) 2 + ( z ρ ) 2 ρ 2 + ρ 2 d ρ d φ (6)

2.3.3. By Spherical Coordinates

x 2 + y 2 + z 2 = R 2 z = ± R 2 ( x 2 + y 2 ) r ( x , y ) = x i + y j ± R 2 ( x 2 + y 2 ) k

d r = r x d x + r y d y ( r x d x = ( i + z x k ) d x = ( i x z k ) d x r y d y = ( j + z y k ) d y = ( j y z k ) d y

d S = r x d x × r y d y = ( r x × r y ) d x d y = | i j k 1 0 x z 0 1 y z | d x d y

= | i j k 1 0 tan ( θ ) cos ( φ ) 0 1 tan ( θ ) sin ( φ ) | ρ d ρ d φ = | i j k 1 0 tan ( θ ) cos ( φ ) 0 1 tan ( θ ) sin ( φ ) | R sin ( θ ) d ( R sin ( θ ) ) d φ = | i j k 1 0 tan ( θ ) cos ( φ ) 0 1 tan ( θ ) sin ( φ ) | R 2 sin ( θ ) cos ( θ ) d θ d φ

d S = 1 2 | i j k 1 0 tan ( θ ) cos ( φ ) 0 1 tan ( θ ) sin ( φ ) | R 2 sin ( 2 θ ) d θ d φ (7)

d S = ( tan ( θ ) cos ( φ ) i + tan ( θ ) sin ( φ ) j + k ) R 2 sin ( θ ) cos ( θ ) d θ d φ

d S = | d S | = tan 2 ( θ ) + 1 R 2 sin ( θ ) cos ( θ ) d θ d φ = 1 cos ( θ ) R 2 sin ( θ ) cos ( θ ) d θ d φ = R 2 sin ( θ ) d θ d φ

2.4. Area Element and Volume Element in Curved Coordinates by unit Vectors e u , e v , e w and Lame Coefficients h u , h v , h w

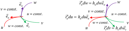
2.4.1. Curved Coordinates u , v , w (Figure 6)

Figure 6. Curved coordinates with its unit vectors e u , e v , e w .

2.4.2. The Place Vector of Any Point in Space r ( u , v , w ) and the Vector d r Tangential to Some Line in Space

r ( u , v , w ) = x i + y j + z k = x ( u , v , w ) i + y ( u , v , w ) j + z ( u , v , w ) k d r = r u d u + r v d v + r w d w r u = x u i + y u j + z u k , r v = x v i + y v j + z v k , r w = x w i + y w j + z w k

The vector d r consists of vectors: r u d u , r v d v , r w d w that are tangential to the respective lines u , v , w .

2.4.3. e u , e v , e w Are Unit Vectors Tangential to the Lines u , v , w Where

e u = r ^ u r u = | r u | e u = h u e u , e v = r ^ v r v = | r v | e v = h v e v , e w = r ^ w r w = | r w | e w = h w e w

and

h u = | r u | = ( x u ) 2 + ( y u ) 2 + ( z u ) 2 , h v = | r v | = ( x v ) 2 + ( y v ) 2 + ( z v ) 2 , h w = | r w | = ( x w ) 2 + ( y w ) 2 + ( z w ) 2

Are Lame coefficients.

According to the unit vectors and to Lame coefficients:

d r = r u d u + r v d v + r w d w = h u e u d u + h v e v d v + h w e w d w = h u d u e u + h v d v e v + h w d w e w

2.4.4. Area Element and Volume Element in Curved and Orthogonal Coordinates u , v , w Where the Unit Vectors Are Perpendicular to Each Other

e u e v e w e u , e u × e v = e w , e w × e u = e v , e v × e w = e u

w = c o n s t . d S = h u d u e u × h v d v e v = ( e u × e v ) h u h v d u d v = h u h v d u d v e w d S = h u h v d u d v

v = c o n s t . d S = h u d u e u × h w d w e w = ( e w × e u ) h w h u d w d u = h w h u d w d u e v d S = h w h u d w d u

u = c o n s t . d S = h v d v e v × h w d w e w = ( e v × e w ) h v h w d v d w = h v h w d v d w e u d S = h v h w d v d w

d V = ( h u d u e u × h v d v e v ) h w d w e w = ( ( e u × e v ) e w ) h u h v h w d u d v d w = h u h v h w d u d v d w

2.4.5. Unit Vectors, Lame Coefficients, Vector Area Element, Scalar Area Element and Volume Element in Spherical and Cylinder Coordinates

1) Vector and scalar area elements on the sphere surface and the volume element by spherical coordinates r , θ , φ u , v , w (Figure 7):

r ( r , θ , φ ) = x i + y j + z k = r sin ( θ ) cos ( φ ) i + r sin ( θ ) sin ( φ ) j + r cos ( θ ) k

d r = r r d r + r θ d θ + r φ d φ = h r d r e r + h θ d θ e θ + h φ d φ e φ

where:

h r = | r r | r r = sin ( θ ) cos ( φ ) i + sin ( θ ) sin ( φ ) j + cos ( θ ) k h r = | r r | = 1

h θ = | r θ | r θ = r cos ( θ ) cos ( φ ) i + r cos ( θ ) sin ( φ ) j r sin ( θ ) k | r θ | = h θ = r

h φ = | r φ | r φ = r sin ( θ ) sin ( φ ) i + r sin ( θ ) cos ( φ ) j h φ = | r φ | = r sin ( θ )

Figure 7. Vector area element in spherical coordinates.

( h r , h θ , h φ ) = ( 1 , r , r sin ( θ ) ) d r = d r e r + r d θ e θ + r sin ( θ ) d φ e φ

e r e θ e φ e r e r × e θ = e φ , e θ × e φ = e r , e φ × e r = e θ

r = c o n s t . d r = 0 d S = r d θ e θ × r sin ( θ ) d φ e φ = r 2 sin ( θ ) d θ d φ e r = h θ h φ d θ d φ e r

d S = | d S | = r 2 sin ( θ ) d θ d φ = h θ h φ d θ d φ

r c o n s t . d V = d r e r ( r d θ e θ × r sin ( θ ) d φ e φ ) = r 2 sin ( θ ) d r d θ d φ = h r h θ h φ d r d θ d φ

2) Vector and scalar area elements, on three kind surfaces due to the following Figure 8 and volume element for all surfaces by cylinder coordinates p , φ , z u , v , w .

r ( ρ , φ , z ) = x i + y j + z k = ρ cos ( φ ) i + ρ sin ( φ ) j + z k

d r = r ρ d ρ + r φ d φ + r z d z = h ρ d ρ e ρ + h φ d φ e φ + h z d z e z

h ρ = | r ρ | r ρ = cos ( φ ) i + sin ( φ ) j h ρ = | r ρ | = 1

h φ = | r φ | r φ = ρ sin ( φ ) i + ρ cos ( φ ) j h φ = | r φ | = ρ

h z = | r z | r z = k h z = | r z | = 1

( h ρ , h φ , h z ) = ( 1 , ρ , 1 ) d r = d ρ e ρ + ρ d φ e φ + d z e z (8)

e ρ e φ e z e ρ e ρ × e φ = e z , e φ × e z = e ρ , e z × e ρ = e φ

1. z = c o n s t . d z = 0 d S = d ρ e ρ × ρ d φ e φ = ρ d ρ d φ e z = h ρ h φ d ρ d φ e z d S = ρ d ρ d φ

2. ρ = c o n s t . d ρ = 0 d S = ρ d φ e φ × d z e z = ρ d φ d z e ρ = h φ h z d φ d z e ρ d S = ρ d φ d z

3. z = z ( ρ ) r ( ρ , φ ) = x i + y j + z k = ρ cos ( φ ) i + ρ sin ( φ ) j + z ( ρ ) k d r = r ρ d ρ + r φ d φ

h ρ = | r ρ | r ρ = cos ( φ ) i + sin ( φ ) j + z ρ k h ρ = | r ρ | = 1 + ( z ρ ) 2

h φ = | r φ | r φ = ρ sin ( φ ) i + ρ cos ( φ ) j h φ = | r φ | = ρ

d r = r ρ d ρ + r φ d φ = | r ρ | e ρ d ρ + | r φ | e φ d φ = h ρ d ρ e ρ + h φ d φ e φ = 1 + ( z ρ ) 2 d ρ e ρ + ρ d φ e φ

Figure 8. Vector and scalar area elements, on three kind surfaces.

d S = 1 + ( z ρ ) d ρ e ρ × ρ d φ e φ = 1 + ( z ρ ) d ρ ρ d φ e z d S = 1 + ( z ρ ) 2 d ρ ρ d φ = h ρ h φ d ρ d φ

For all surfaces according to (8):

d V = ( d ρ e ρ × ρ d φ e φ ) d z e z = ρ d ρ d φ e z d z e z = ρ d ρ d φ d z = h ρ h φ h z d ρ d φ d z

3. The Flux of Vector Fields

The flux of a vector field through a vector area element of the surface (Figure 9):

The flux of the vector field all over the surface:

S F d S = S | d S | | F | cos ( α ) = S | F | cos ( α ) d S

The flux of the vector field: F = P i + Q j + R k in the vector display of a pallet according to the lines with the parameters u , v where: P ( u , v ) , Q ( u , v ) , R ( u , v )

r ( u , v ) = x ( u , v ) i + y ( u , v ) j + z ( u , v ) k d r = r v d v + r u d u d S = r v d v × r u d u = ( r v × r u ) d v d u

{ r v = x v i + y v j + z v k r u = x u i + y u j + z u k S F d S = S F ( r v × r u ) d v d u = S | P Q R x v y v z v x u y u z u | d v d u

The flux of the vector field: F = P i + Q j + R k in the vector display of a pallet where: z ( x , y ) P ( x , y ) , Q ( x , y ) , R ( x , y ) according to Equation (5).

r ( x , y ) = x i + y j + z ( x , y ) k d r = r x d x + r y d y { r x = i + z x k r y = j + z y k

d S = r x d x × r y d y = ( r x × r y ) d x d y = ( ( i + z x k ) × ( j + z y k ) ) d x d y

S F d S = S F ( r x × r y ) d x d y = S | P Q R 1 0 z x 0 1 z y | d x d y = S | P Q R 1 0 z x 0 1 z y | d S

The flux of vector field F = P i + Q j + R k through the outside of a part of an open parabolic surface by cylinder coordinates.

z = x 2 + y 2 r ( x , y ) = x i + y j + ( x 2 + y 2 ) k = ρ cos ( φ ) i + ρ sin ( φ ) j + ρ 2 k = r ( ρ , φ )

Figure 9. The flux of a vector field through a vector area element.

d r = r ρ d ρ + r φ d φ , r ρ = cos ( φ ) i + sin ( φ ) j + 2 ρ k , r φ = ρ sin ( φ ) i + ρ cos ( φ ) j or : d r = r x d x + r y d y , r x = i + 2 x k , r y = j + 2 y k , d S = r x d x × r y d y = ( r x × r y ) d x d y

d S = r ρ d ρ × r φ d φ = ( r ρ × r φ ) d ρ d φ = | i j k cos ( φ ) sin ( φ ) 2 ρ ρ sin ( φ ) ρ cos ( φ ) 0 | d ρ d φ = or | i j k 1 0 2 x 0 1 2 y | d x d y

S F d S = S F ( r ρ × r φ ) d ρ d φ = S | P ( ρ , φ ) Q ( ρ , φ ) R ( ρ , φ ) cos ( φ ) sin ( φ ) 2 ρ ρ sin ( φ ) ρ cos ( φ ) 0 | d ρ d φ = or S | P Q R 1 0 2 x 0 1 2 y | d x d y

The flux of vector field F = P i + Q j + R k through the outside of a part of an open sphere surface according to Equation (7).

x 2 + y 2 + z 2 = R 2 z = ± R 2 x 2 y 2 r ( x , y ) = x i + y j ± R 2 x 2 y 2 k

d r = r x d x + r y d y d S = r x d x × r y d y = ( r x × r y ) d x d y , r x = i x z k , r y = j y z k

d S = | i j k 1 0 x / z 0 1 y / z | d x d y = 1 2 | i j k 1 0 tan ( θ ) cos ( φ ) 0 1 tan ( θ ) sin ( φ ) | R 2 sin ( 2 θ ) d θ d φ

S F d S = | P Q R 1 0 x / z 0 1 y / z | = 1 2 S | P ( θ , φ ) Q ( θ , φ ) R ( θ , φ ) 1 0 tan ( θ ) cos ( φ ) 0 1 tan ( θ ) sin ( φ ) | R 2 sin ( 2 θ ) d θ d φ (9)

An additional way for calculating the flux of a vector field F = P i + Q j + R k .

The element vector area d S = n ^ d S where: n ^ = cos ( α ) i + cos ( β ) j + cos ( γ ) k = A unit vector that creates angles α , β , γ with the axes (Figure 10).

Figure 10. A unit vector that creates angles α , β , γ with the axes.

Thus:

S F d S = S F n ^ d S = S F ( d S cos ( α ) i + d S cos ( β ) j + d S cos ( γ ) k ) = S ( P i + Q j + R k ) ( d y d z i + d x d z j + d x d y k ) = S ( P d y d z + Q d x d z + R d x d y ) (10)

where: d S cos ( α ) = d y d z i , d S cos ( β ) = d x d z j , d S cos ( γ ) = d x d y k .

According to Figure 11.

Gauss theorem S F d S = V F d V .

The flux of a vector field: F = P i + Q j + R k through the outside of a closed surface is equals to the field’s action F = d i v F on the entire volume closed by the surface, provided that components P , Q , R of the vector field F are continuous functions.

Full Proof of Gauss theorem by Equation (10) and by drawings in Figures 12-14 where: S is the outside of a closed surface and V is the volume closed by the surface.

Figure 12 explains the flux vector field through z-axis in cartesian system. Figure 13 explains the flux vector field through y-axis in cartesian system.

S F d S = S ( P i + Q j + R k ) d S n ^ = S ( P i + Q j + R k ) ( d y d z i + d x d z j + d x d y k ) = S ( P d y d z + Q d x d z + R d x d y ) = S P i d y d z i + S Q j d x d z j + S R k d x d y k = 3 + 2 + 1

1. S R ( x , y , z ) k d x d y k = z = f 2 ( x , y ) R ( x , y , f 2 ( x , y ) ) k d x d y k + z = f 1 ( x , y ) R ( x , y , f 1 ( x , y ) ) k d x d y ( k ) = S d x d y ( R ( x , y , f 2 ( x , y ) ) R ( x , y , f 1 ( x , y ) ) ) = S d x d y [ R ( x , y , z ) ] z = f 1 ( x , y ) z = f 2 ( x , y ) = S d x d y f 1 ( x , y ) f 2 ( x , y ) R z d z = V R z d x d y d z = V R z d V (Figure 12)

Figure 11. Projections of area element d S by the angles α , β , γ on the axis planes.

Figure 12. Vector field flux through z-axis.

Figure 13. Vector field flux through y-axis.

Figure 14. Vector field flux through x-axis.

2. S Q ( x , y , z ) j d x d z j = y = g 2 ( x , z ) Q ( x , g 2 ( x , z ) , z ) j d x d z j + y = g 1 ( x , z ) Q ( x , g 1 ( x , z ) , z ) j d x d z ( j ) = S d x d z ( Q ( x , g 2 ( x , z ) , z ) Q ( x , g 1 ( x , z ) , z ) ) = S d x d z [ Q ( x , y , z ) ] y = g 1 ( x , z ) y = g 2 ( x , z ) = S d x d z g 1 ( x , z ) g 2 ( x , z ) Q y d y = V Q y d x d y d z = V Q y d V (Figure 13)

3. S P ( x , y , z ) i d y d z i = x = h 2 ( y , z ) P ( h 2 ( y , z ) , y , z ) i d y d z i + x = h 1 ( y , z ) P ( h 1 ( y , z ) , y , z ) i d y d z ( i ) = S d y d z ( P ( h 2 ( y , z ) , y , z ) P ( h 1 ( y , z ) , y , z ) ) = S d y d z [ P ( x , y , z ) ] x = h 1 ( y , z ) x = h 2 ( y , z ) = S d y d z h 1 ( y , z ) h 2 ( y , z ) P x d x = V P x d x d y d z = V P x d V (Figure 14)

S F d S = 3 + 2 + 1 = V P x d V + V Q y d V + V R z d V = V ( P x + Q y + R z ) d V = V ( x i + y j + z k ) ( P i + Q j + R k ) d V = V F d V = V d i v ( F ) d V

S F d S = V F d V = V d i v ( F ) d V

Gauss Theorem according to the Orthogonal Curve Coordinates system that is represented by Figure 6.

Divergent F of the field F = F u e u + F v e v + F w e w in orthogonal curve coordinates: D i v F = F = 1 h u h v h w ( ( F u h v h w ) u + ( F v h u h w ) v + ( F w h u h v ) w )

By cylindrical coordinates: ρ , φ , z u , v , w

F = F ρ e ρ + F φ e φ + F z e z , h ρ = h z = 1 , h φ = ρ , d V = ρ d ρ d φ d z

D i v F = F = 1 ρ ( ( F ρ ρ ) ρ + F φ φ + ( F z ρ ) z )

S F d S = V F d V = V ( ( F ρ ρ ) ρ + F φ φ + ( F z ρ ) z ) d ρ d φ d z

By spherical coordinates: r , θ , φ u , v , w

F = F r e r + F θ e θ + F φ e φ , h r = 1 , h θ = r , h φ = r sin ( θ ) , d V = r 2 sin ( θ ) d θ d φ d r

D i v F = F = 1 r 2 sin ( θ ) ( ( F r r 2 sin ( θ ) ) r + ( F θ r sin ( θ ) ) θ + ( F φ r ) φ )

S F d S = V F d V = V ( ( F r r 2 sin ( θ ) ) r + ( F θ r sin ( θ ) ) θ + ( F φ r ) φ ) d θ d φ d r

Example: If F = F r e r then the vector flux throw closed and open spherical areas in spherical coordinates are:

S F d S = V ( ( F r r 2 sin ( θ ) ) r ) d θ d φ d r = V ( ( F r r 2 ) r ) sin ( θ ) d θ d φ d r

S F d S = S F r e r r 2 sin ( θ ) d θ d φ e r = r 2 S F r sin ( θ ) d θ d φ

4. Green theorem and Gauss Theorem

Green theorem: the work of a vector field F along a closed line L on a horizontal plane is equal to the work of a vector field that is perpendicular to the plane on all elements of the vector area closed by the line.

4.1. Full Mathematical Proof of Green Theorem According to Figure 15

W = L d W = L F d r = L P ( x , y ) d x + Q ( x , y ) d y

Figure 15. The surface S closed by the line L on a horizontal plane.

= L P ( x , y ) d x + L Q ( x , y ) d y = 1 + 2

1. L P ( x , y ) d x = a b P ( x , y ) d x + b a P ( x , y ) d x = a b P ( x , f 1 ( x ) ) d x + b a P ( x , f 2 ( x ) ) d x = a b P ( x , f 1 ( x ) ) d x a b P ( x , f 2 ( x ) ) d x = a b ( P ( x , f 1 ( x ) ) P ( x , f 2 ( x ) ) ) d x = a b ( P ( x , f 2 ( x ) ) P ( x , f 1 ( x ) ) ) d x = a b d x [ P ( x , y ) ] y = f 1 ( x ) y = f 2 ( x ) = a b d x y = f 1 ( x ) y = f 2 ( x ) P ( x , y ) y d y

2. L Q ( x , y ) d y = c e Q ( x , y ) d y + e c Q ( x , y ) d y = c e Q ( g 2 ( y ) , y ) d y + e c Q ( g 1 ( y ) , y ) d y = c e Q ( g 2 ( y ) , y ) d y c e Q ( g 1 ( y ) , y ) d y = c e ( Q ( g 2 ( y ) , y ) Q ( g 1 ( y ) , y ) ) d y = c e d y [ Q ( x , y ) ] x = g 1 ( y ) x = g 2 ( y ) = c e d y x = g 1 ( y ) x = g 2 ( y ) Q ( x , y ) x d x

2 + 1 = L Q ( x , y ) d y + L P ( x , y ) d x = c e d y x = g 1 ( y ) x = g 2 ( y ) Q ( x , y ) x d x a b d x y = f 1 ( x ) y = f 2 ( x ) P ( x , y ) y d y = S Q ( x , y ) x d x d y S P ( x , y ) y d x d y = S ( Q ( x , y ) x P ( x , y ) y ) d x d y

L F d r = L P ( x , y ) d x + Q ( x , y ) d y = S ( Q x P y ) d x d y

= S ( Q x P y ) d S = S ( Q x P y ) ρ d φ d ρ

4.2. Proof by Vector Action Due to Hamilton Operator on a Vector Field (Figure 16)

× F = ( x i + y j + z k ) × ( P ( x , y ) i + Q ( x , y ) j ) = | i j k x y z P ( x , y ) Q ( x , y ) 0 | = ( Q x P y ) k

S ( × F ) d S = S ( Q x P y ) k d S k = S ( Q x P y ) d S = S ( Q x P y ) d x d y = S ( Q x P y ) ρ d φ d ρ

4.3. Stokes’ Theorem Expanding Green’s Theorem to 3D Space (Figure 17)

W = L d W = L F d r = S ( × F ) d S = S r o t ( F ) d S = S ( × F ) n ^ d S

where: × F = ( x i + y j + z k ) × ( P i + Q j + R k ) × F F .

4.4. Stokes Trial Main Proof

F = P i + Q j + R k , r = x i + y j + z k d r = d x i + d y j + d z k W = L F d r = L P d x + Q d y + R d z

z = z ( x , y ) r ( x , y ) = x i + y j + z ( x , y ) k d r = r x d x + r y d y , r x = i + z x k , r y = j + z y k

d S = r x d x × r y d y = ( r x × r y ) d x d y = ( i + z x k ) × ( j + z y k ) d x d y = | i j k 1 0 z x 0 1 z y | d x d y = | i j k 1 0 z x 0 1 z y | d S

Figure 16. A vector field around a closed line in 2D space turns into a vector field on the area closed by the line perpendicular to the first vector field.

Figure 17. A vector field around a closed line in 3D space turns into a vector field on the area closed by the line perpendicular to the first vector field.

L F d r = L F ( r x d x + r y d y ) = L ( F r x ) d x + ( F r y ) d y = Green S ( ( F r y ) x ( F r x ) y ) d x d y = S ( ( Q + R z y ) x ( P + R z x ) y ) d x d y = S ( ( R y Q z ) ( z x ) ( R x P z ) ( z y ) + ( Q x P y ) ) d x d y = S ( ( R y Q z ) i ( R x P z ) j + ( Q x P y ) k ) ( z x i z y j + k ) d x d y = S × F d S

L F d r = S | i j k x y z P Q R | | i j k 1 0 z x 0 1 z y | d x d y = S × F d S

5. Conclusions

Vector area elements and volume elements in curved coordinates are very important for calculating the flux of vector field through an open surface and a closed surface according to the Gauss theorem and around a closed line according to Stokes’ and Greens’ theorems.

The flux of spatial vector field through an open surface or a closed surface might select drusen under eyes retina cells, clean the sells from drusen without destroying the retina cells, and prevent macula degeneration in eyes or even brain cells degeneration.

Stokes’ and Greens’ theorems explain the magnetic field on a close flat area by the change in time of the electric field around a closed line or the electric field on a close flat area by the change in time of the magnetic field around a closed line. Therefore, we hope with the help of iron, to help dead retina cells and brain cells get to life.

Conflicts of Interest

The author declares no conflicts of interest regarding the publication of this paper.

References

[1] Isaac, L. and Yosef, G. (2002) Intraocular Lens Implant. Canadian Patent No. 2241635.
[2] Haya, R. and Isaac, L. (2005) Intraocular Lens Implant with Mirrorors. US Patent No. 6902577.
[3] Ruchvarger, H. (2012) Intraocular Lens Implant with Mirrors and Intraocular Three Lenses Implant with a Changed Curvature Radius. Applied Physics Research, 4, 135-140.
[CrossRef
[4] Jaffe, G.J., Westby, K., Csaky, K.G., et al. (2021) C5 Inhibitor Avacincaptad Pegol for Geographic Atrophy Due to Age-Related Macular Degeneration: A Randomized Pivotal Phase 2/3 Trial. Ophthalmology, 128, 576-586.
[5] Liao, D.S., Grossi, F.V., El Mehdi, D., et al. (2020) Complement C3 Inhibitor Pegcetacoplan for Geographic Atrophy Secondary to Age-Related Macular Degeneration: A Randomized Phase 2 Trial. Ophthalmology, 127, 186-195.
[6] Singer, M.A., Amir, N. and Herro, A. (2012) Improving Quality of Life Patients with Age-related Macular Degeneration Focus on Miniature Ocular Implants. Clinical Ophthalmology, 6, 33-40.
[7] Agarwal, A., Lipshitz, I., Jacob, S. et al. (2008) Mirror Telescopic Intraocular Lens for Age-Related Macular Degeneration: Design and Preliminary Clinical Results of the Lipshitz Macular Implant. Journal of Cataract and Refractive Surgery, 34, 87-94.
[CrossRef] [PubMed]
[8] Agarwal, A. (2004) Intraocular Telescopic Lens Evaluated for Patients with Age-related Macular Degeneration. Journal of Cataract and Refractive Surgery, 30, 1177-1189.
[9] Lans, H.L., Heier, J.S., et al. (2006) Implantable Miniature Telescopes for the Treatment of Visual Acuuity Loss Resulting from End-Stage Age-Related Macular Degeneration: 1-Year Results. Ophthalmology, 113, 1987-2001.
[CrossRef] [PubMed]
[10] Orzalest, N., Pierrottet, C.O., Zenoni, S. and Savaresi, C. (2007) The IOL-Vip System: A Double Intraocular Lens Implant for Visual Rehabilitation of Patients with Macular Disease. Ophthalmology, 114, 860-865.
[CrossRef] [PubMed]
[11] Singer, M.A., Amir, N. and Herro, A., Porbandarwalla, S.S. and Pollard, J. (2011) Improving Quality of Life in Patients with End-Stage Age-Related Macular Degeneration: Focus on Miniature Ocular Implants. Clinical Ophthalmology, 2012, 33-39.
[CrossRef

Copyright © 2026 by authors and Scientific Research Publishing Inc.

Creative Commons License

This work and the related PDF file are licensed under a Creative Commons Attribution 4.0 International License.